Different processing technologies are available at an industrial scale for grape wine production. These processes have undergone continuous improvements to increase the quality and yield of grape must and wines (Cosme et al., 2018). Pomace contact (maceration) of white grapes prior to pressing has become a common practice in many wineries (Cheynier et al., 1989). Maceration is the stage of wine production (mainly red) in which grape solids, including seeds, skins, or even stems, remain in contact with the must and/or wine (Casassa et al., 2019). Skin contact has been shown to favour the extraction of aromatic compounds, which are localised mostly in the skins (Cheynier et al., 1989). Applying different maceration techniques can also increase the concentration of phenolic compounds and antioxidant activity. During pre-fermentative maceration, phenolic compounds are transferred from berry solids into an alcohol-free environment (Bestulić et al., 2022).
The composition of phenolic compounds changes during the winemaking process. Gallic acid appears from the hydrolysis of gallate esters of hydrolysable tannins and condensed tannins after standing for at least a few months. Its levels in white wines average near 10 mg·L−1. The hydroxycinnamic esters are susceptible to hydrolysis in the aqueous acidic solution of wine, releasing the simple hydroxycinnamic acids which can be found in wine a few weeks old (Waterhouse, 2002).
Phenolic compounds are primary reactants that are oxidised in the presence of oxygen. The relative concentrations of different antioxidants in wine point to phenolic compounds as the primary substrates for oxidation (Waterhouse and Laurie, 2006). Condensed tannins are the result of the condensation of flavanols (flavan-3-ols). Natural condensed tannins can be found at concentration levels from 1.2 to 3.3 g·L−1 (Gutiérrez-Escobar et al., 2021).
The main objective of the present work is the comparison of the influence of pre-fermentation maceration on whole-cluster grape pressing technique. The evolution in polyphenol composition was observed during the winemaking process and the aging of wine. In addition, no antioxidants were used throughout the grape processing for promote the effect of oxygen on phenolic compound composition in the final wines.
The experiment was performed at Mendel University in Brno (Czech Republic). Materials used included ‘Riesling’ grapes grown around the Institute of Viticulture and Oenology’s (Lednice, the Moravian wine region) from the 2020 harvest. The grapes were handpicked during the optimal ripening stage (pH 3.31, total acidity of 9.13 g·L– 1, 23.2 °Brix) following proper sanitary procedures.
Two different methods of grape processing, without the addition of antioxidants, were applied. In the first variant, a whole cluster of grapes was pressed (0-hour maceration variant) using a WOTTLE 1200 (Wottle, Austria) pneumatic pressing program from 0.3 to 1.3 bar. The second part of the grapes was destemmed and crushed. After 24 hours of cold maceration (10 °C), the grape mash was pressed using the same press procedure as for the first variant (24-hour maceration variant). The grape must from both variants was racked from sludges after 24 hours of cold (10 °C) spontaneous sedimentation. It was then inoculated with the active dry wine yeast Saccharomyces cerevisiae (Vitiferm Alba Fria BIO, 2B FermControl Germany). After fermentation, all wines were racked and supplied with 40 mg·L−1 of SO2 as K2S2O7. The free SO2 content was maintained at a level of 25-30 mg·L−1 during the winemaking process. A dose of 100 g per 1 hL of sodium-calcium bentonite was used for clarification.
The first samples were taken after fermentation (day 0); the second sampling was carried out after the first racking and the addition of SO2 (day 1). After the proper amount of time for maturation and sedimentation of the young wines, the third sampling was carried out (day 71), followed by a second racking with the addition of bentonite (day 72). After the appropriate clarification, the last samples were taken (day 92). All samples were collected and analysed from all batches of the wines.
The selected polyphenolic compounds (concretely gallic acid, protocatechuic acid, 4-hydroxybenzoic acid, vanillic acid, syringic acid, caffeic acid, caftaric acid, grape reaction product (GRP), p-coumaric acid, coutaric acid, ferulic acid, fertaric acid, catechin, epicatechin) were determined using high-performance liquid chromatography (HPLC) with ultraviolet visible spectroscopy through the direct sample injection method. The prepared samples were diluted 10 times with 100 mM HClO4 and then used for HPLC analysis.
The following were used in the study: instrumentation – Shimadzu LC-10A binary high-pressure system; controller system – SCL-10Avp; 2 pumps – LC-10ADvp, column thermostat with manual injection valve; rheodyne – CTO-10ACvp; Diode Array Detector – SPD-M10Avp; software – LCsolution. The separation was performed on an Alltech Alltima HP C18 3 μm column: 3 × 150 mm at 50 °C. The injection volume of the sample was 20 μL, and the flow rate of the mobile phase was set at 0.9 mL min−1. The composition of mobile phase A was 15 mM HClO4; mobile phase B was composed of 15 mM HClO4 and 80 % acetonitrile. The gradient program was as follows: 0.00 min – 3 % B, 3.00 min – 6 % B, 15.00 min – 24 % B, 18.00 min – 30 % B, 19.50 min – 36 % B, 21.00 min – 48 % B, 21.50 min – 60 % B, 22.00 min – 60 % B, 22.01 min – 0 % B, 23.99 min – 0 % B and 24.00 min – 3 % B. The total analysis time was 27 min. Data ranging from 200-520 nm was recorded for 24 min. The determination of individual components was performed based on calibration standards (Sochorova et al., 2020).
Statistical analysis and graphs were created using MS Excel 2010 (Microsoft Office, USA) and Statistica 10 (Copyright © StatSoft). A one-way analysis of variance (ANOVA) and a Fisher’s Least Significant Difference (LSD) test were used to compare the means (n = 3) at the level of significance of p < 0.05.
The term phenols or polyphenols describes the compounds that possess a benzenic ring substituted by one or several hydroxyl groups (OH) (Monagas et al., 2005). Grapes contain nonflavonoid phenolic compounds mainly in the pulp and flavonoid compounds in the skins, seeds and stems. Polymeric flavan-3-ols, also known as tannins, located in seeds, skins and stems, are responsible for the tactile sensation of astringency (Casassa et al., 2019).
The main non-flavonoid compounds present in grapes and in wine are phenolic acids (hydroxybenzoic and hydroxycinnamic acids). The hydroxycinnamic acids are located in the vacuoles of the skin and pulp cells in the form of tartaric esters (Monagas et al., 2005). The nonflavonoids of grape origin are initially synthesised from phenylalanine, whereas those of yeast origin are derived from acetic acid (Jackson, 2008). These are the major phenols in grape juice and the major class of phenolics in white wine. These materials are also the first to be oxidised and to subsequently initiate browning, causing a problem in white wines (Waterhouse, 2002).
In general, the highest concentrations of flavan-3-ol in grapes are found at veraison, after which they decline slowly until the time near maturity when they remain relatively constant. Flavan-3-ols are released from both grape skins and seeds during winemaking (González-Manzano et al., 2004).
In this experiment, 14 specific phenolic compounds from three different groups were investigated using HPLC. Their concentrations are shown, using the figures 1-3 below, from the end of fermentation to the final wine phase.

Hydroxybenzoic acid concentration during the winemaking process: (A) protocatechuic acid, (B) 4-hydroxybenzoic acid, (C) vanillic acid, (D) syringic acid, (E) gallic acid. The red line represents the whole-cluster pressing (0-hour) variant, and the green line represents the 24-hour maceration (the 24-hour) variant. Data are presented as means ± the sd of three replicates. Data were analysed using oneway ANOVA (each time point separately). The average values (n = 3) were combined by contribution to homogeneous groups according to Fisher’s Least Significant Difference test, where * indicates significant differences between variants (p = 0.05).

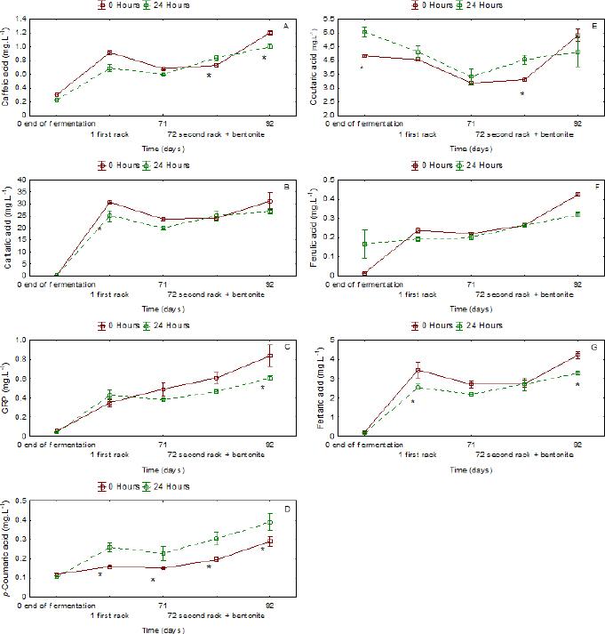
Hydroxycinnamic acid concentrations during the winemaking process: (A) caffeic acid, (B) caftaric acid, (C) GRP, (D) p-coumaric acid, (E) coutaric acid, (F) ferulic acid, (G) fertaric acid. The red line represents the whole-cluster pressing (0-hour) variant, and the green line represents the 24-hour maceration (24-hour) variant. Data are presented as means ± the sd of three replicates. Data were analysed using one-way analysis of variance (each time point separately). The average values (n = 3) were combined by contribution to homogeneous groups according to Fisher’s Least Significant Difference test, where * indicates significant differences between variants (p = 0.05).

Flavan-3-ol concentration during the winemaking process: (A) catechin, (B) epicatechin. The red line represents the whole-cluster pressing (0-hour) variant, and the green line represents the 24-hour maceration (24-hour) variant. Data are presented as means ± the sd of three replicates. Data were analysed using one-way analysis of variance (each time point separately). The average values (n = 3) were combined by contribution to homogeneous groups according to Fisher’s Least Significant Difference test, where * indicates significant differences between variants (p = 0.05).
The various acids are differentiated by the substitution of their benzene ring (Ribéreau-Gayon et al., 2006). Hydroxybenzoic acids have a C6-C1 structure derived from benzoic acid. Gallic acid, the level of which can reach 10 mg·L−1 in white wine, is considered the most important phenolic acid. It stands out for being the precursor of all hydrolysable tannins (Gutiérrez-Escobar et al., 2021).
Figure 1 represents the concentration of nonflavonoid phenolic compound from the hydroxybenzoic group. Lower concentrations of hydroxybenzoic acids (1.12 mg·L−1 of gallic acid, 0.50 mg·L−1 of protocatechuic acid, 0.37 mg·L−1 of 4-hydroxybenzoic acid, 1.63 mg·L−1 of vanillic acid, 2.58 mg·L−1 of syringic acid) were observed in the cold maceration variant in contrast to the whole-cluster pressing variant (1.55 mg·L−1 of gallic acid, 0.59 mg·L−1 of protocatechuic acid, 0.44 mg·L−1 of hydroxybenzoic acid, 1.79 mg·L−1 of vanillic acid, 3.08 mg·L−1 syringic acid) at the end of vinification.
In Bestulić et al. (2022), the content of hydroxybenzoic acid increased with extended maceration time. However, several antioxidants were used to protect phenol compounds from enzymatic oxidation. However, Cejudo-Bastante et al. (2011) supplied their grape must from the macerated variant with oxygen, and therefore, they had the opposite results.
After fermentation, the concentrations of these substances were generally low (Figure 1), with no statistical differences in either variant. After the first racking, the concentrations of gallic acid and syringic acid rapidly rose for both variants because supplementation with SO2 after fermentation reduced the quinone product back to a phenol (Rihak et al., 2022).
However, other hydroxybenzoic acids, including 4-hydroxybenzoic, protocatechuic, vanillic and syringic acids, can be found in wines (Monagas et al., 2005). Vanillic acid and protocatechuic acid concentrations decreased in both variants during vinification. The same trend can be seen in the work of Zhang et al. (2018), who were aging red wines in stainless steel tanks.
It can be seen from all the figures that the concentrations of every compound slightly rose after the second racking with bentonite clarification. Bentonite is still the most efficient fining agent in achieving the protein stability of white wines (Horvat et al., 2019).
It can be assumed that the phenolic compounds are some of the main contributors involved in protein haze. Therefore, the concentration of these compounds may decrease with protein clarification due to interaction with the proteins (Esteruelas et al., 2011). Moreover, the adsorption capacity of bentonite against phenols increased with a decrease in the pH (Banat et al., 2000).
However, the concentrations of these compounds may be increased by hydrolysis of other compounds, such as esters or glycosides. Esteruelas et al. (2011) found no statistically significant differences in tyrosol, vanillic acid, protocatechuic acid, ferulic acid, trans-caffeic acid or (+)-catechin concentrations in the wine before and after natural protein precipitation. However, Chagas et al. (2012) removed the greatest proportion of the wine’s total phenolic fraction through bentonite fining.
Hydroxycinnamic acids can be found in small quantities in their free form because they are mainly esterified with tartaric acid. They may also be simple glycosides of glucose. Cinnamic acids combine with anthocyanin monoglucosides to form acylated anthocyanins via the esterification of caffeic acid and p-coumaric acid with the glucose of glycoside (Ribéreau-Gayon et al., 2006). Hydroxycinnamic acids generally have better copigmentation performances than hydroxybenzoic acids (Zhang et al., 2018).
Lower concentrations of hydroxycinnamic acids (1.01 mg·L−1 of caffeic acid, 26.99 mg·L−1 of caftaric acid, 0.61 mg·L−1 of (GRP), 4.32 mg·L−1 of coutaric acid, 0.32 mg·L−1 of ferulic acid, 3.29 mg·L−1 of fertaric acid) were also observed in the cold maceration variant in contrast to the wholecluster pressing variant (1.20 mg·L−1 of caffeic acid, 31.15 mg·L−1 of caftaric acid, 0.84 mg·L−1 of GRP, 4.91 mg·L−1 of coutaric acid, 0.42 mg·L−1 of ferulic acid, 4.23 mg·L−1 of fertaric acid) with the exception of p-coumaric acid (0.39 mg·L−1 in the macerated variant and 0.29 mg·L−1 in the wholecluster pressing variant) at the end of vinification. In whole-cluster pressing, the degree of grape skin disruption is much smaller, and fewer phenols diffuse from the skins into juice (Lukić et al., 2019). In contrast, skin contact provoked the extraction of several phenolic compounds, but the content of almost all of them decreased due to the presence of oxygen (Cejudo-Bastante et al., 2011).
Among the hydroxycinnamic acids, up to 50 % are predominately caftaric acid (Moreno-Arribas and Polo, 2009). In grape must, enzymatic oxidation is largely correlated with the content of hydroxycinnamates, such as caftaric acid and coutaric acid, and is promoted by flavanols. Caftaric acid and coutaric acid are oxidised by polyphenol oxidases to produce o-quinones, which are powerful oxidants that are able to oxidise other compounds (Li et al., 2008).
The caftaric acid concentrations were 30.70 mg·L− 1 for the 0-hours variant and 24.85 mg·L−1 for the 24-hour variant after the first racking operation. All hydroxycinnamic tartaric acid ester concentrations (caftaric, coutaric and fertaric acid) were higher than their free form (caffeic, p – coumaric and ferulic acid). The naturally occurring tartaric esters were susceptible to hydrolysis, liberating the corresponding free hydroxycinnamic acids (Coetzee and Du Toit, 2015), which can be observed in Figure 3.
Only p-coumaric acid concentration was significantly higher in the 24-hour maceration variant during the vinification process. According to Bestulić et al. (2022), p-coumaric acid was found in higher concentrations in wines obtained by maceration than in the wines obtained by other treatments.
Ferulic acid was present at a low concentration that also confirmed in previous studies (Gil-Muñoz et al., 1999, Darias-Martín et al., 2000), and no significant difference was noted in the ferulic acid concentrations between the variants. Only a few statistical differences in hydroxycinnamic acid concentration between the control and cold maceration variants were noted by Korenika et al. (2019).
GRP, otherwise known as 2S-glutathionylcaftaric acid, originates during enzymatic oxidation in the must. GRP concentration was significantly higher at the end of vinification in the 0-hour variant. Significantly higher GRP levels were found in the whole-cluster pressing variant in relation to the grape mash pressing in standard conditions (Lukić et al., 2019). This aligns with Darias-Martín et al. (2000) who report of lower levels of GRP in skin-contact wine.
Epicatechin is the most abundant condensed tannin in grapes and wine, followed by catechin. These tannins increase during the aging of the wine and can form insoluble polymers, increasing astringency with tannin concentration (Gutiérrez-Escobar et al., 2021). increasing astringency with tannin concentration (Gutiérrez-Escobar et al., 2021) increasing astringency with tannin concentration (Gutiérrez-Escobar et al., 2021).
Flavonoids increase slightly with contact time but seem to increase strongly with contact temperature. Below 10 °C, the extraction of flavonoids is limited (Darias-Martín et al., 2000). Gil-Muñoz et al. (1999) state about their work processing grapes at different temperatures that the rate of flavan-3-ol extraction was very similar in both vinifications, with almost no difference due to the effect of temperature. In contrast, in studies by Darias-Martín et al. (2000) 24-hour maceration at 16 °C resulted in multiple concentrations of catechin.
Figure 3 shows that, after the first racking, the concentration of both catechin and epicatechin increased in the 24-hour maceration, with significant differences compared to the wholecluster pressing (0-hour), whereas catechin and GRP were partially regenerated by sulphur dioxide (Cheynier et al., 1991). At the end of the vinification process, the concentrations in both variants were statistically the same.
The results presented in this study show the evolution of phenolic composition during the vinification of white wine from different types of grape processing. Comparison of data showed that cold 24-hour maceration did not necessarily result in higher concentration of phenolic compounds in the final wine.
Without the addition of any antioxidants (SO2) during the grape processing, enzymatic oxidation could reduce the number of phenolic compounds. Also, the low maceration temperature limited the extraction of phenols. In summary, a comparison of the time horizon showed a similar trend in the behaviours of phenolic substances during the vinification process.
Apart from phenolic compounds, there are other important substances the contents of which increase with maceration time, such as aromatic compounds or nitrogenous substances essential for yeast metabolism