Fig. 1:

Fig. 2:

Fig. 3:

Fig. 4:

RT-PCR test results of regenerated plants from 2 mm long shoot tips of pre-rooted and RBV-treated shoots_
| Length of RBV treatment (day) | Number of isolated 2 mm long shoot tips from the RBV-treated shoots | Number of PCR-tested plants | Ratio of ArMV negative plants (%) |
|---|---|---|---|
| 14 | 14 | 8 | 12.5 |
| 21 | 11 | 5 | 40 |
| 26 | 25 | 10 | 30 |
| 30 | 32 | 13 | 61.5 |
| 42 | 24 | 18 | 55 |
| 60 | 35 | 26 | 54 |
| 68 | 31 | 22 | 82 |
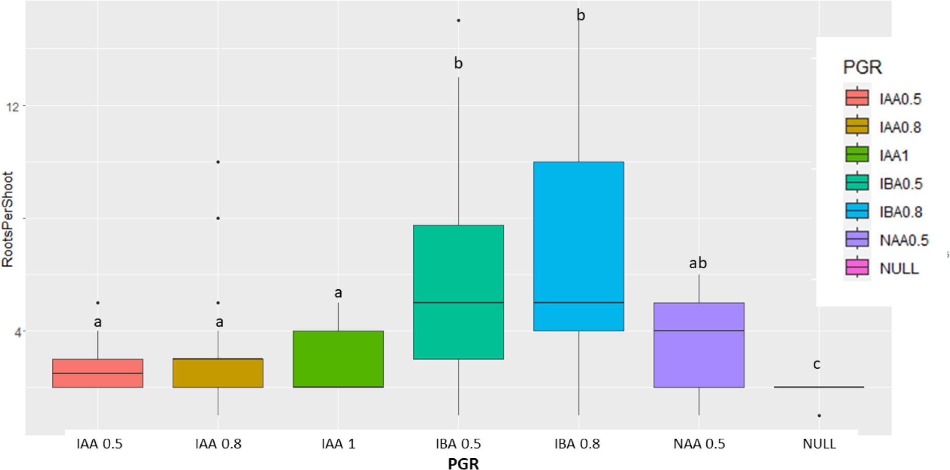
The effect of the applied PGRs and sucrose concentration on rooting of the 1 cm long ‘Csókaszőlő’ shoot segments_ Number of samples: IAA (0_5 mg/l)=28, IAA (0_8 mg/l)=62, IAA (1 mg/l)=15, IBA (0_5 mg/l)=30, IBA (0_8 mg/l)=33, NAA (0_5 mg/l)=5, NULL=30
| PGR | PGR concentration mg/l | Sucrose g/l | Number of shoots on the rooting medium | Average number of days until the appearance of 1 mm long roots | Ratio of rooted shoots % (rooted shoots/all shoots) | Average number of roots/shoot |
|---|---|---|---|---|---|---|
| - | - | 20 | 15 | 34.66 | 78,9 (19/15) | 1.7 |
| - | - | 10 | 15 | 33.73 | 83,3 (15/18) | 1.9 |
| IAA | 0,5 | 20 | 4 | 20 | 100 (4/4) | 2.5 |
| IAA | 0,5 | 10 | 24 | 18 | 100 (24/24) | 2.8 |
| IAA | 0,8 | 10 | 62 | 14.63 | 100 (62/62) | 2.98 |
| IAA | 1 | 20 | 6 | 21.5 | 100 (6/6) | 2 |
| IAA | 1 | 10 | 9 | 13.66 | 100 (9/9) | 3.44 |
| IBA | 0,5 | 20 | 7 | 26.57 | 100 (7/7) | 7.1 |
| IBA | 0,5 | 10 | 23 | 25 | 95,8 (24/23) | 5.1 |
| IBA | 0,8 | 10 | 33 | 22.8 | 91,6 (36/33) | 6.6 |
| NAA | 0,5 | 20 | 5 | 25 | 100 (5/5) | 3.6 |