India ranks number one in world's milk production, accounting for 22% of the world's total milk production with an annual output of 186 million tons during the year 2019 (FAO, 2019). In spite of this, India ranks only eighth in the world's meat production, which vibes well with dairy industry, accounting for 4.9 million tons (Government of India, 2001; APEDA, 2008; FAO, 2016). An improvement in meat production in tune with the achieved milk production may serve to improve the economic conditions of the farming community, since 20.5 million people depend on livestock for their livelihood (Tamizhkumaran and Radhakrishnan, 2016).
The major key issues of concern in the Indian meat sector are the unhygienic conditions coupled with contamination/deterioration of meat (Government of India, 2001). In most of the underdeveloped and developing countries, including India, after slaughter meat is transferred to local retailers, it is held at an ambient temperature of 25 °C ± 2 °C for about 18–20 h and offered for sale in the retail shops (Kumudavally et al., 2008). This worsens the condition of meat, since holding of carcasses at ambient temperature for long hours results in microbial spoilage leading to undesirable changes in textural, physical, chemical, and microbiological parameters (Rao and Sreenivasamurthy, 1985).
Consumers’ dissatisfaction over chemical additives in meat and meat products has led the food industry to seek for other alternatives that could minimize microbial spoilages and thereby extend the shelf life of fresh meat. Joe et al. (2012a) reported nanoemulsions as an alternative to antibiotics in enhancing the shelf life of fish stored at 20°C. These nanoemulsions are thermodynamically stable, transparent oil and water dispersions stabilized by an interfacial film of surfactant and co-surfactant molecules having a droplet size of less than 100 nm (Shafiq et al., 2007).
The constituents of nanoemulsions include emulsifiers and surfactants that are generally recognized as safe (GRAS) substances (Azmi et al., 2019). Nanoemulsions are used in the food industry for nutraceutical delivery, to impart food color and flavor, and as antimicrobials (Aswanthanarayan and Vittal, 2019).
Coconut oil is obtained from copra by a drying process, in which it is exposed to high temperature/sunlight until most of the moisture is removed (Nevin and Rajamohan, 2004). Coconut oil is preferred for cooking in the southern parts of India as frying oil due to its ability to withstand oxidation at higher temperatures (Prabhu, 2000).
Psychrotrophic Aeromonas sp. has been characterized as gram-negative, facultative anaerobes, which are rod-shaped and motile with polar flagella, and have been associated with the spoilage microflora of meat held at temperatures ranging from 10 °C to 20 °C (Ingram and Simonsen, 1980). These organisms predominantly cause spoilage if the temperature is not controlled well (Kraft, 1992). Moreover, Aeromonas sp., pathogens from fish and meat, are considered to be a major source of transmission of intestinal infections in humans (Praveen et al., 2016).
Studies pertaining to the control of Aeromonas sp. are of importance in the context of Indian sub-continent, where maintenance of cold chain is difficult due to power shortages, a routine affair since the demand for electricity is always more when compared to the supply.
Taking this into account in this study, we have studied the influence of coconut oil–based nanoemulsion on the adhesion of Aeromonas sp. to meat and contact surfaces of meat, followed by the evaluation on influence of nanoemulsion treatment on the bacterial counts in meat and contact surfaces.
Coconut oil nanoemulsion (AUSN3) used in the study was prepared according to the methods of Hamouda et al. (1999) along with the required modifications that included the use of biosurfactant, instead of chemical surfactant (Joe et al., 2012b).
Aeromonas sp. was isolated from spoiled fish sample using Ryan's Aeromonas isolation base medium (Himedia, Mumbai, India), and the preliminary biochemical identification of the isolate was made based on Bergey's Manual of Systematic Bacteriology (Garrity et al., 2005). Molecular identification of the sequenced 16s ribosomal RNA was done based on the Ribosomal Database Project (RDP) (Wang et al., 2007). Phylogenetic tree was constructed using MEGA-X, with neighbor-joining (NJ) method having 1000 bootstrap replications, as described earlier (Tamura et al., 2011). The 16S rRNA gene sequence of Aeromonas sp. AUBAS34 was deposited in National Center for Biotechnology Information (NCBI) with the accession number KC253269.1.
Cell surface hydrophobicity was studied by salt aggregation test (SAT) according to Jonsson and Wadström's (1984) protocol with 0.1–1.6 M ammonium sulfate. Biofilm formation was assayed based on a microtiter plate assay with AUBAS3 grown in biofilm-inducing medium comprising yeast peptone (YP) medium plus M63 minimal salt medium (Hossain and Tsyyumu, 2006) and measured based on the optical density (OD) levels of crystal violet present in the de-staining solution according to Djordjevic et al. (2002). Swarming assay was carried out in swarm plate (0.8% nutrient broth, 0.5% glucose, 0.5% agar) as per the protocol of Inoue et al. (2008). For SAT, biofilm formation, and swarming motility, 24-h grown bacterial cultures were centrifuged at 5000 rpm and the pellets were treated with AUSN3 and sodium nitrite at a volume of 10% v/v and at a concentration of 100 mg/L prior to the assays.
Meat samples such as beef, mutton, and pork were obtained from the local slaughterhouses and sliced into equal pieces of 1 cm3 volume. For meat surface disinfection, a combination of heat and mild organic acid treatment, as described earlier by Anderson et al. (1991) and Kumudhavally et al. (2008), was adopted. In brief, meat pieces were dipped in hot water (1:3 w/v) containing lactic and acetic acid (1% concentration each). The excess buffer in meat was drained and the meat was dried for 10 min under aseptic conditions. Thin sections of meat was made and observed under the microscope for any possible modification in the surface properties.
For AUSN3 treatment, meat samples were divided into three treatment groups including control. Group 1 samples were homogenized with a 50 ml solution containing 10% volume per flesh weight (v/w) of nanoemulsion (AUSN3); in group 2 samples, sodium nitrite was used as a preservative (Himedia Lab Private Limited, Mumbai, India) at a concentration of 100 mg/L, and in group 3, sterile distilled water was used as the control. To mimic different contact surfaces of meat used in our daily life, glass, polystyrene, and stainless steel balls of diameter 6 mm were selected for the study. Contact surfaces of meat (1 g) were surface sterilized in 0.2% (w/v) HgCl2 for 3 min, followed by 70% ethanol for 1 min, and the residues were removed by 10 serial washings in sterile distilled water, irradiated for 15 min in a UV chamber, and maintained under strict aseptic conditions. Irradiation was made with two UV-C ultraviolet germicidal lamps of wavelength 254 nm and 40 W, and the specimen (meat and contact surfaces) was kept at a distance less than 30 cm from the UV light source. Surface of meat was sterilized by exposing to irradiation, followed by sterility checking by placing the samples in nutrient agar plates to test the efficiency of sterilization.
For adhesion experiments, Aeromonas sp. (1 × 103 Cfu/ml; initial load) was grown in nutrient broth (Himedia Lab Private Limited, India) comprising peptone 1.0 g per 100 ml, yeast extract 1.0 g per 100 ml, and NaCl 0.5 g per 100 ml for a period of 48 h. The bacterial culture suspension was then centrifuged at 7000 × g for 10 min, washed twice, and resuspended in 0.05 M potassium phosphate buffer at pH 6.1. The bacterial suspension was adjusted to a load of 1 × 107 Cfu/ml. For bacterial inoculation, 100 ml of bacterial suspension was poured into beaker (size 8 × 9 cm) containing different experimental groups as mentioned earlier and maintained at 20 °C. The suspension was decanted after 2 h of static incubation at 20 °C ± 2 °C and the contents were removed aseptically. For measuring the number of adhered bacteria, 1 g of sample was diluted with 10 ml of sterile peptone water (0.1% w/v) and homogenized for 1 min using a Teflon homogenizer (Remi Instruments, Mumbai, India). One milliliter of the sample was then serially diluted in phosphate-buffered saline (PBS) and plated in nutrient agar and the plates were incubated at 20 °C for 3 d.
For survival of Aeromonas sp. in meat and contact surfaces of meat, the bacteria were grown in nutrient broth for 24 h at 28 °C ± 2 °C. Bacterial cells were centrifuged at 5000 rpm for 10 min and suspended in phosphate buffer (pH 7.2) and adjusted to 1 × 107 Cfu/ml of bacteria. For bacterial inoculation, meat pieces and contact surfaces of meat were dipped in bacteria-containing buffer for 5 min, drained, and dried for 2 min under sterile conditions. All samples were packed in polythene bags which were then sealed airtight using a vacuum sealer. The whole experimental setup was maintained at 20 °C in an incubator in separate plastic boxes. Microbial analysis was done in triplicate at regular intervals up to a time period 60 h.
Statistical analyses were performed between different independent variables such as nanoemulsion, preservative, and control using one-way analysis of variance (ANOVA) with Tukey's honestly significant difference tests at a p value of 0.05. Minimum of three replications were maintained for each experiment, and the experiment was repeated twice to ensure the reproducibility of results.
The strain isolated through Aeromonas isolation medium was tentatively identified as Aeromonas hydrophila based on Bergey's Manual of Systematic Bacteriology. Phylogenic position of the isolated Aeromonas sp. AUBAS34 in comparison with other members of Aeromonas genus is given in Figure 1. Based on the RDP and NCBI Blast analysis of 16S rRNA gene, we propose the assignment of our strain as Aeromonas sp. AUBAS34. Meat can be infected with Aeromonas sp. due to poor hygienic conditions prevailing in the processing unit (Ogu et al., 2017) or due to washing of carcasses with contaminated water (Stratev and Odeyemi, 2016; Elbehiry et al., 2018). Toute and Murphy (1978) reported that A. hydrophila comprises 56% of the total flora associated with the spoiled chicken and it is present in various kitchen accessories and in work area.
Figure 1
Phylogenic analysis of the isolated strain Aeromonas sp. AUBAS34 along with its neighbours with a bootstrap value of 1000
Abbildung 1. Phylogene Analyse des isolierten Stammes Aeromonas sp. AUBAS34 zusammen mit seinen Nachbarn mit einem Bootstrap-Wert von 1000

Coconut oil used in our study did not demonstrate any antibacterial activity against Aeromonas sp. (data not shown). This lack of antibacterial activity of coconut oil against Aeromonas sp. is due to the presence of fatty acids like lauric acid in triglyceride form (Nitbani et al., 2016). Triglycerides and triglycerides do not possess any antibacterial activity, whereas monoglycerides show antimicrobial activity (Loung et al., 2014). Interestingly, when coconut oil was formulated as a nanoemulsion AUSN3, it showed bactericidal activity of 0.8% against Aeromonas sp., in which the bacterial population was completely eradicated at a time period of 20 min (data not shown). These results on the exhibition of antimicrobial activity when reduced to a nanoscale are comparable with the earlier findings of Hamouda et al. (2001), who reported effective bactericidal activity against Bacillus cereus, Bacillus subtilis, Haemophilus influenza, Neisseria gonorrhoea, Streptococcus pneumonia, and Vibrio cholerae by the nanoemulsion 8N8 in 15 min.
Reduction in hydrophobicity, biofilm formation, and swarming motility in AUBAS34 was observed on AUSN3 treatment and the results are given in Table 1. Cell surface hydrophobicity of Aeromonas sp. was measured based on SAT value. AUSN3 treatment recorded a SAT value >1.6, while the preservative and control recorded SAT values of 1.2 and 0.8, respectively. Swarm motility of 17.6%, 29.6%, and 34.9% was observed for AUSN3, preservative, and control, respectively. OD values of 0.54, 0.94, and 1.42 for biofilm formation were observed with AUSN3, preservative, and control, respectively, at 595 nm.
Influence of nanoemulsion treatment on the hydrophobicity and biofilm formation of Aeromonas sp.
Tabelle 1. Veränderungen der Hydrophobizität und Biofilmbildung von Aeromonas sp. durch die Nanoemulsionsbehandlung
| Treatment | Hydrophobicity (SAT) | Swarming motility % surface coverage | Biofilm formation (OD 595 nm) |
|---|---|---|---|
| AUSN3 | >1.6 | 17.5 ± 2.4c | 0.54 ± 0.18c |
| Preservative | 1.2 | 29.6 ±3.2b | 0.94 ± 0.12b |
| Control | 0.8 | 34.9 ± 2.7a | 1.42 ± 0.22a |
Hydrophobicity determined according to SAT (salt aggregation test). Biofilm formation using microtiter plate assay. Swarming motility in the presence of 0.5% agar. Different letters after values indicate that there is a significant difference at p < 0.05.
Results on the reduction of hydrophobicity and motility as influenced by nanoemulsion application are in accordance with our previous finding (Joe et al., 2015) that surfactin-based nanoemulsion is able to reduce the swarming motility and hydrophobicity in Pectobacterium carotovorum strains. Reduction in biofilm formation by nanoemulsion application is in line with the reports of Ramalingam et al. (2012), who reported reduction in biofilm and planktonic forms of Actinomyces viscosus, Candida albicans, Streptococcus mutans, and Lactobacillus casei strains. The reason may be due to the interaction of cationic charged emulsion with the anionic charge of the bacterial cell wall, affecting motility, hydrophobicity, and biofilm formation (Hamouda and Baker, 2000).
Influence of AUSN3 treatment on the adhesion of Aeromonas sp. to meat and contact surfaces of meat was studied and the results are presented in Table 2.
Influence of AUSN3 treatment on the adhesion of Aeromonas sp. to meat and contact surfaces of meat
Tabelle 2. Einfluss der AUSN3-Behandlung auf die Adhäsion von Aeromonas sp. zu Fleisch und Kontaktflächen von Fleisch
| Cultivation media | Treatment | Number of cells adhered (log CFU/g)* | |||||
|---|---|---|---|---|---|---|---|
| Meat surface | Contact surface of meat | ||||||
| Beef | Mutton | Pork | Polystyrene | Glass | Stainless steel | ||
| PCA agar | AUSN3 | 5.8 ± 0.03c | 5.5 ± 0.11b | 5.6 ± 0.04c | 4.3 ± 0.10c | 3.4 ± 0.0b | 3.2 ± 0.1b |
| Preservative | 6.4 ± 0.04b | 5.9 ± 0.08a,b | 6.4 ± 0.10b | 5.2 ± 0.08b | 4.9 ± 0.4a | 5.5 ± 0.1a | |
| Control | 7.2 ± 0.10a | 6.3 ± 0.44a | 7.1 ± 0.12a | 6.1 ± 0.10a | 5.3 ± 0.1a | 5.7 ± 0.0 a | |
No. of bacteria that adhered after a time period of 2 h at 20 °C. Different letters after values indicate that there is a significant difference at p < 0.05.
AUSN3 treatment resulted in 1.4, 0.8, and 1.5 log reduction in Aeromonas population in mutton, beef, and pork samples, respectively, compared to control. Similarly, AUSN3 treatment in mutton, beef, and pork samples recorded 0.6, 0.4, and 0.8 log reduction in Aeromonas population compared to treatment with preservative. So far, there has been no study on the influence of nanoemulsion on the microbial adhesion to meat surfaces. However, the anti-adhesive property of the nanoemulsion could be explained based on the presence of biosurfactant molecules in nanoemulsion formulation. De Araujo et al. (2014) reported the anti-adhesive property in biosurfactants that could enable removal/reduction of bacterial biofilms on food surfaces. Roy (2017) reported that biosurfactants could change the hydrophobicity of surfaces, which in turn can influence the surface bond with microbes.
AUSN3 treatment in polystyrene, glass, and stainless steel surfaces recorded 1.8, 1.9, and 2.5 log reduction in Aeromonas population compared to control, whereas in comparison with the group treated with preservative, AUSN3 recorded 1.1, 1.5, and 2.3 log reduction of Aeromonas population in the contact surface of meat. Previous reports of Ramalingam et al. (2012) reported that adhesion of planktonic S. mutans, L. casei, A. viscosus, C. albicans, and mixed culture of these strains on the glass surface was reduced up to 99.5% in nanoemulsion-treated groups, when compared to controls. Pompilio et al. (2008) reported hydrophobicity as a significant determinant for adhesion and biofilm formation of Stenotrophomonas maltophilia on the polystyrene surfaces, and similar results of reduction in hydrophobicity and biofilm formation due to nanoemulsion treatment were obtained in this study.
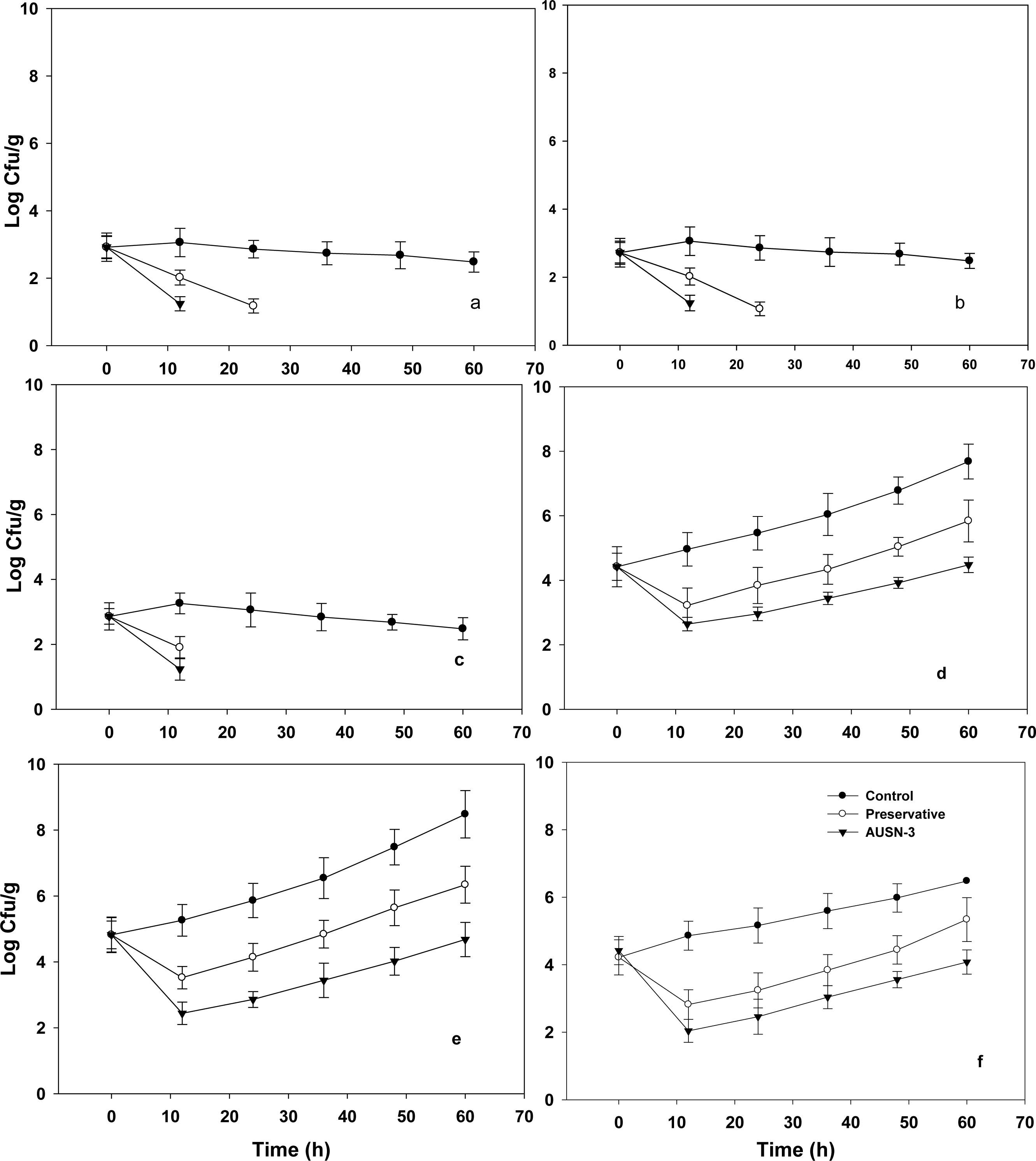
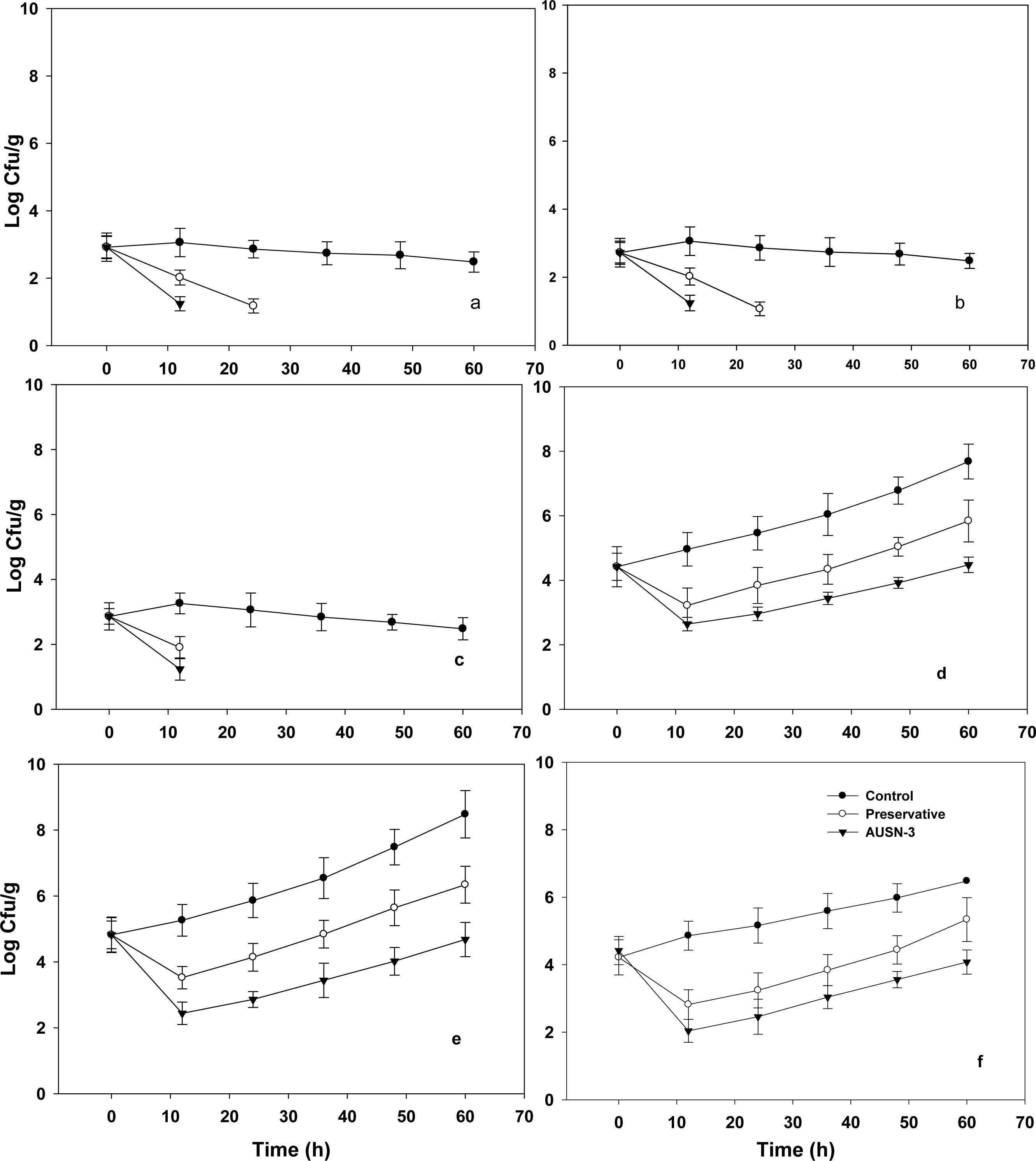
Results on the influence of AUSN3 treatment on the total bacterial population of different meat and contact surfaces of meat are presented as log Cfu/g in Figure 2a–f. No detectable Aeromonas population was observed in the contact surfaces of meat, such as polystyrene, glass, and stainless steel, treated with AUSN3 at a sampling period of 20 min. Whereas in mutton, at the end of the sampling period of 60 h, 3.2 log reduction in Aeromonas population with respect to control and 1.8 log reduction with respect to preservative were observed with AUSN3 treatment. Similar trend was observed with the Aeromonas population of AUSN3-treated beef, which recorded 2.8 log reduction and 1.7 log reduction with respect to control and preservative treatment, respectively. In AUSN3-treated pork, 2.4 log reduction in Aeromonas population in the control and 1.3 log reduction in Aeromonas population in the preservative were observed. Recently, Swathy et al. (2018) reported the use of neem oil–based nanoemulsion against Aeromonas culcicola A. culcicola as an alternative for synthetic antibiotics in fish. Results of the present study on the influence of nanoemulsion treatment on the bacterial population of different meat and contact surfaces of meat are in accordance with the report that oil in water microemulsion was active against food-borne pathogens including Staphylococcus aureus, Escherichia coli, Pseudomonas aeruginosa, Salmonella typhimurium, and Listeria monocytogenes (Teixeira et al., 2007). Reduction in survival of Aeromonas sp. in meat and contact surfaces of meat may be due to the reduction in hydrophobicity, motility, and biofilm parameters observed in this study on AUSN3 treatment and also due to decrease in adhesion of Aeromonas sp. to meat and contact surfaces of meat.
Figure 2
Influence of AUSN3 on the survival of Aeromonas sp. in meat and contact surfaces of meat at 20 ± 2 °C. a) polystyrene, b) glass, c) stainless steel, d) beef, e) pork and f) mutton. Values are a means of three replications ± standard deviations.
Abbildung 2. Einfluss von AUSN3 auf das Überleben von Aeromonas sp. in Fleisch und Kontaktflächen von Fleisch bei 20 ± 2 ° C. a) Polystyrol, b) Glas, c) Edelstahl, d) Rindfleisch, e) Schweinefleisch und f) Hammel. Die Werte sind Mittelwerte aus drei Wiederholungen ± Standardabweichungen.

In the present study, AUSN3 treatment reduced the bacterial hydrophobicity, biofilm formation, and adhesion to meat and contact surfaces of meat. The bacterial populations were found to significantly reduced by AUSN3 treatment when compared to preservative and control treatments. This nanoemulsion could be used as an alternative protective agent in preventing the adhesion of Aeromonas sp. and other related strains to food and contact surfaces of food. This prevention of microbial adhesion to meat may help us to prevent microbial spoilage of meat and meat products.