Strong flavor baijiu (SFB), a traditional Chinese distilled liquor, contains more than 1,300 different flavor compounds (Ji et al. 2017; Zou et al. 2018). Among these compounds, ethyl hexanoate is the primary flavoring substance of SFB, and its content can directly affect the quality of SFB (Hong et al. 2020). Caproic acid, also known as hexanoic acid, is a common carboxylic acid that can be used as a precursor for producing liquid fuels and synthetic chemicals such as food and animal feed additives (Van Immerseel et al. 2004; Nabi et al. 2006; Serhan et al. 2016). Caproic acid-producing bacteria (CPB) are generally considered the most critical functional microorganisms in an SFB ecosystem (Liu and Sun 2018). The isolation, screening, identification, and culture of CPB are important to improve the quantity and quality of CPB in pit mud (Wang et al. 2019; Zhao et al. 2019; Tian et al. 2020). In addition to the SFB ecosystem, CPB have been isolated from different ecological niches such as anaerobic digestion sludge (Kim et al. 2015), the rumen of cattle and sheep (Weimer and Stevenson 2012), and silt (Gildemyn et al. 2017). The oxygen demands of different strains of CPB during the production of caproic acid are not consistent. Most of the reported CPBs are anaerobic species, including members of Clostridium (Weimer and Stevenson 2012), Bacillus (Zhao et al. 2012), Ruminococcaceae (Zhu et al. 2015), and Megasphaera (Kim et al. 2018). They can accumulate caproic acid by using ethanol, lactic acid, glucose, and D-galactitol as the main carbon source (Wang et al. 2020).
In the present study, a new strain of Enterococcus casseliflavus (strain BF-1) with high caproic acid yield was isolated from the pit mud of an SFB ecosystem. E. casseliflavus has potential probiotic effects on growth performance, immunity, and disease resistance (Akbari et al. 2021). In this study, the whole genome of E. casseliflavus BF-1 was sequenced and annotated. The safety of the strain at the genetic level and the caproic acid biosynthesis pathway were analyzed. We verified the essential nutrients of E. casseliflavus BF-1 synthesis defect through single-omission growth experiments and added essential nutrients to the fermentation medium to improve the yield of caproic acid. The results showed that this strain could be further used as a reinforced inoculum in the SFB production process.
Isolation and screening of caproic acid-producing bacteria. A five-point sampling method was used to collect pit mud samples from an SFB factory in Anhui, China. Next, 5 g of pit mud was put into a 150 ml triangular flask containing 45 ml of sterile water. After adequate mud dispersion, the pit mud extract was shaken well, and 10% of the extract was inoculated into an enrichment medium (EM). The composition of the EM was as follows (per 1,000 ml): sodium acetate 15 g, yeast extract 10 g, MgSO4 · 7H2O 0.2 g, KH2PO4 7 g, K2HPO4 7 g, (NH4)2SO4 0.5 g, L-cysteine 0.5 g, ethanol 20 ml, pH 7.0. The extract was cultured at 35°C for four days. Then, 200 μl of the pit mud culture solution was pipetted and spread on a solid agar plate. The plates were incubated under anaerobic conditions at 35°C until the colonies grew. A single colony on the agar plate was selected and subcultured three times on the solid medium.
The single colony was inoculated into 100 ml EM, incubated anaerobically at 35°C for 12 h, and cultured for two generations to obtain a seed liquid. The seed liquid was inoculated into the fermentation medium with 5% inoculation volume, and the fermentation was performed under an anaerobic static culture condition at 35°C for 10 days. The caproic acid yield of each experimental batch was estimated by the CuSO4 staining method. The yield was higher when the color was darker (Zhong and Xie 2004). The strain with the highest caproic acid yield was used for further analysis.
Morphological identification and 16S rDNA sequence analysis. The isolated strains with the highest caproic acid yield were selected. The physiological and biochemical characteristics of the selected representative strains were studied using Bergey’s Manual of Determinative Bacteriology (Ceddia et al. 1980). First, the bacterial morphological shape and staining pattern was observed under a microscope (Motic MLC-150, Motic China Group Co., Ltd., China). The genomic DNA was extracted from the CPB strains using the bacterial genomic DNA rapid extraction kit (Tiangen Biochemical Technology (Beijing) Co., Ltd., China). The extracted DNA was used as a template for PCR amplification with universal primers 27F (5’‑AGAGTTT-GATCCTGGCTCAG-3’) and 1492R (5’-CTACGGC-TACCTTGTTACGA-3’). The amplified products were sent to Nanjing Parsono Biology Company (China) for sequencing. The sequences were spliced by the basic local alignment search tool (BLAST) program available at the National Centre for Biotechnology Information (NCBI) database and compared with the data available in the NCBI 16S rDNA database to obtain the homologous sequence showing the most remarkable similarity with the sequence of the species to be tested. The phylogenetic tree was constructed by MEGA 5.0 software by using the neighbor-joining (NJ) method (Kumar et al. 2016).
Whole genome sequencing and annotation. The genome of strain BF-1 was sequenced by Shanghai Personal Biotechnology Co., Ltd. (China). A 400-bp insert library was prepared using the TruSeqTM DNA Sample Prep Kit (Illumina Inc., USA). Sequencing was performed on the HiSeqTM 2000 sequencing system (Illumina Inc., USA) with a 200-cycle paired-end configuration at the National Laboratory of Genomics for Biodiversity (LANGEBIO), Irapuato, Guanajuato, Mexico. A5-miseq (Coil et al. 2014) and SPAdes (Bankevich et al. 2012) were used to assemble the sequencing data of the removed joint sequence from scratch to construct the contig and scaffold. The assembly results were evaluated and compared, the SPAdes results were finally selected, and Pilon software was used for base correction (Walker et al. 2014). Libraries with different indices were multiplexed and loaded using an Illumina HiSeq instrument according to the manufacturer’s instructions. GeneMarkS was used to predict the protein-coding genes of the bacterial genome (Blake and Cohen 2001). tRNAscan-SE was used to predict tRNA genes in the whole genome (Lowe and Eddy 1997), and Barrnap was used to predict rRNA genes. The other noncoding RNAs were mainly predicted by comparing them with the rfam database (Kalvari et al. 2018). Genes were annotated by the NCBI Prokaryotic Genome Annotation Pipeline (Tatusova et al. 2016). Metabolic pathways were annotated using the KAAS (Moriya et al. 2007). Clusters of Orthologous Groups of proteins (COG) annotation was performed using eggNOG-mapper for assigning the COG category to the genes (Szklarczyk et al. 2019). Virulence factor prediction was performed using VFanalyzer available in the virulence factor database (VFDB) (Qin et al. 2012).
Culture medium optimization. Selection of carbon source. Sodium acetate, glucose, lactose, galactose, fructose, mannose, and soluble starch were selected as carbon sources, and 2% of each carbon source was added to the fermentation medium. The yield of caproic acid was detected after anaerobic culture at 35°C for 10 days. Based on caproic acid yield, the best carbon source was selected, and it was added at the concentration of 1.0%, 2.0%, 3.0%, 4.0%, and 5.0% to the fermentation medium. The yield of caproic acid was then determined after 10 days of anaerobic culture.
Screening for nitrogen source. Ammonium chloride, sodium nitrate, urea, peptone, beef extract, and yeast extract were selected as nitrogen sources in the fermentation medium. The yield of caproic acid was analyzed after the addition of each nitrogen source under anaerobic culture at 35°C for 10 days. The best nitrogen source was determined and added to the fermentation medium at the concentration of 0.5%, 1.0%, 1.5%, 2.0%, 3.0%, and 4.0%. The yield of caproic acid was estimated after anaerobic culture for 10 days.
Screening for inorganic salts and growth factors. In single-omission experiments, the cell growth was monitored when each vitamin or amino acid was separately left out of the medium. The selected optimal carbon source and nitrogen source were used in the culture medium, and inorganic salts (MgSO4 · 7H2O, KH2PO4, K2HPO4, and (NH4)2SO4) and nutrients (L-cysteine, biotin, and ethanol) were added separately to the medium. The yield of caproic acid was estimated after anaerobic culture for 10 days, and the correlation between various inorganic salts and growth factors for the acid production of E. casseliflavus BF-1 was obtained. Their final concentration was optimized based on the effect of various inorganic salts and growth factors on the caproic acid production of E. casseliflavus BF-1.
Orthogonal experiment. Four-level orthogonal experiments (Table I) were conducted on four factors (glucose, yeast extract, sodium acetate, and alcohol) with a strong influence on caproic acid production by single-factor optimization fermentation. The results of some single-factor optimization trials showed little difference in the yield of caproic acid between the four levels; hence, a 4-factor 4-level orthogonal experiment was considered to estimate the optimal fermentation conditions of the strain more efficiently. Under the optimum conditions obtained from the single factor optimization results, the strain was fermented and cultured, and the optimal acid production conditions of the strain were determined based on the yield of caproic acid as the investigation index.
Orthogonal experiment of four factors and four levels.
| Level | Factor A (glucose g/l) | Factor B (yeast extract g/l) | Factor C (sodium acetate g/l) | Factor D (ethanol %) |
|---|---|---|---|---|
| 1 | 10 | 10 | 2 | 1 |
| 2 | 20 | 20 | 4 | 2 |
| 3 | 30 | 30 | 6 | 3 |
| 4 | 40 | 40 | 8 | 4 |
Qualitative and quantitative analysis of caproic acid. The caproic acid content in the fermentation broth was determined by gas chromatography-mass spectrometry (GC-MS). The fermented broth was centrifuged at 10,000 × g for 20 min, and the supernatant was passed through a 0.22-μm organic phase filter membrane and collected in an electropolished (EP) pipe. One milliliter of the filtered supernatant was injected into the bottle for testing. In online detection, the sample was first separated in G.C. The separated metabolites were ionized into ion fragments of different sizes through the ion source and then further separated by MS. Finally, the separated ions reached the detector and hit the surface of the detector. Different metabolites formed electrical signals of different intensities. The GC conditions were as follows: column, db-wax UI column (30 m) × 0.25 mm, 0.25 μm; temperature, programmed at 40°C with a holding time for 1 min and increased to 150°C at 20°C/min and then increased to 250°C at 10°C for 2 min; split ratio, 30 : 1; carrier gas, helium; flow rate, 1 ml/min; flow rate for H2, 40 ml/min; flow rate for O2, 300 ml/min; and detector, flame ionization detector (FID). The MS conditions were as follows: electron ionization (EI) source, transmission line temperature 250°C, electron energy 70 EV, photomultiplier tube voltage 350 V, mass scanning range 30–350 amu. For qualitative and quantitative analyses, the MS data obtained by the GC-MS analysis were searched in the 17 standard libraries of the National Institute of Standards and Technology (NIST), and the content of caproic acid in the fermentation broth was determined using the standard external method. The standard external method is a quantitative method that uses the pure components to be measured as the reference material. It compares the response signal of the reference material to the response signal of the components to be measured in the sample. The method is simple and does not require a correction factor. The components can be quantified regardless of whether other components in the sample are peaked or not.
Data processing. Origin was used to process the experimental data and draw graphs. IBM SPSS Statistics (version R24.0.0.0) was used to conduct variance analysis between the experimental groups. A p-value of < 0.05 was considered to be statistically significant.
Screening of caproic acid-producing strains. A total of 41 strains were screened from pit mud, and among these strains, 19 strains showed the ability to produce caproic acid (Fig. 1). Strain BF-1 showed the highest yield of caproic acid (0.88 g/l). Therefore, strain BF-1 was selected for further studies.

The yield of caproic acid of different isolated strains.
Physiological characteristics and phylogenetic classification of strain BF-1. Strain BF-1 grew well on sodium acetate solid medium, with large, smooth, milky white, protuberant, and round colonies; the cells were non-spore-forming Gram-positive cocci (Fig. 2a and 2b). The results for VP test, gelatin hydrolysis, glycerol test, and nitrate reduction test were negative, while those for MR test; starch hydrolysis; and tests of growth using lactose, sucrose, raffinose, mannitol, fructose, stachyose, cellobiose, xylose, galactose, glycerol, and mannose as the sole carbon source were positive (Table II).

Morphological and phylogenetic characteristics of the F6 strain.
a) Colony morphology of strain BF-1, b) Gram staining and SEM image showing the coccoid shape of the BF-1 strain, c) phylogenetic analysis of strain BF-1 based on BLAST results.
Results of physiological and biochemical experiments.
| BF-1strain | |||
|---|---|---|---|
| Voges-Proskauer test | – | Mannitol | + |
| MRtest | + | Fructose | + |
| Gelatin hydrolysis | – | Stachyose | + |
| Starch hydrolysis | + | Cellobiose | + |
| Nitrate reduction | – | Xylose | + |
| Lactose | + | Galactose | + |
| Sucrose | + | Glycerin | – |
| Raffinose | + | Mannose | + |
Based on the physiological, biochemical, and 16S rDNA sequence analyses (Fig. 2c), strain BF‑1 was classified as E. casseliflavus. A physiological tree was then constructed based on the alignment of the 16S rDNA of strain BF-1 with other 16S rDNA sequences in the GenBank database. The results revealed that strain BF-1 was closest to E. casseliflavus FDAARGOS 1120 and similarity is 100 %. Therefore, strain BF-1 was designated as E. casseliflavus BF-1. It is the first study to report that E. casseliflavus is a caproic acid producer (Yuan et al. 2022).
Genome properties of E. casseliflavus BF-1. Genome assembly and annotation of E. casseliflavus BF-1. To understand the physiological and metabolic characteristics of E. casseliflavus BF-1, we sequenced and annotated its genome (Table III). The contig total sequence length was 3,383,020 bp, and the contig N50 was 372,495 bp. The scaffold N50 was 570,209 bp. The E. casseliflavus genome is 2,968,377 bp in length, has a GC content of 43.52%, and contains 3,270 coding sequences, three rRNA genes, and 53 tRNA genes. The nucleotide sequence of E. casseliflavus BF-1 is deposited in the NCBI database under the accession number PRJNA759370.
Basic characteristics of the genome of strain BF-1.
| Features | BF-1 |
|---|---|
| Read-Num | 8,697,842 bp |
| HQ reads | 8,663,546 bp |
| Genome size | 2,968,377 bp |
| G + C content | 43.52% |
| ORF number | 3270 |
| ORF density | 0.967 genes per kb |
| ORF average length | 907,76 bp |
| Intergenetic region length | 414,643 bp |
| Coding percentage | 87.74% |
| rRNA | 3 |
| tRNA | 53 |
| ncRNA | 113 |
| Q value | 40 |
| Q20-rate | 98.84 |
| Q30-rate | 95.83 |
| Contig N50 | 372,495 bp |
| Scaffold N50 | 570,209 bp |
| Contig total sequence length | 3,383,020 bp |
| Scaffold total sequence length | 3,383,020 bp |
For the COG annotation (Fig. 3a), a total of 2,819 genes were assigned with COG terms, which account for 85.8% of the total genes in E. casseliflavus BF-1. Function unknown (S) was the largest category (24.76%). Apart from S, carbohydrate transport and metabolism (G) and transcription (K) were the most prominent groups, accounting for 13.4% and 9.5%, respectively. According to the KAAS annotation, a total of 3,155 genes were assigned with KO terms. The largest three metabolic pathway categories in the genome of strain BF-1 were carbohydrate metabolism (428), amino acid metabolism (187), and energy metabolism (124) (Fig. 3b).

Genome annotation of strain BF-1.
A) COG functional gene classification, B) KEGG functional gene classification.
Caproic acid biosynthesis pathway analysis. According to the KAAS annotation, we constructed the metabolic pathway of caproic acid in E. casseliflavus BF-1 according to the KAAS annotation. The process of synthesizing caproic acid from glucose by E. casseliflavus BF-1 is divided into three steps (Fig. 4): (1) E. casseliflavus BF-1 produces acetyl CoA through pyruvic acid by pyruvate ferredoxin oxidoreductase (porA); (2) Acetyl CoA is converted to butyl CoA under the action of NADH, FADH2, and CoA, and butyl CoA was converted to butyric acid and acetyl CoA under the action of acetic acid and CoA transferase; and (3) Hexanoyl CoA and butyric acid are converted into caproic acid and butyryl CoA through CoA transferase. Because acyl CoA transferase has a wide range of catalytic activities, it has been speculated that hexanoyl CoA may also directly react with acetic acid to synthesize caproic acid. The main enzymes involved in (1) and (3) are completely annotated. In contrast enoyl-CoA hydratase (paaF) and crotonyl-CoA(ccrA) reductase involved in (2) are not annotated, which indicates the inability of this strain to synthesize crotonyl-CoA and butanoyl-CoA. It contradicts the experimental result that caproic acid was produced by strain BF-1. There are two explanations for this contradiction: (i) the existence of other non-annotated functional enzymes and (ii) the substitution of other spectral enzymes. It is also possible that 3-hydroxybutyryl-CoA dehydrogenase may replace enoyl-CoA hydratase and glutaconyl-CoA decarboxylase subunit alpha may replace crotonyl-CoA due to their wide use of substrates.

Caproic acid production pathway of strain BF-1. Substrates are shown in purple, products are shown in red, annotated genes are shown in green, and non-annotated genes are shown in blue.
Biosynthesis and transport of amino acids and vitamins. According to the KAAS annotation, E. casseliflavus BF-1 cannot synthesize four amino acids (cysteine, methionine, tyrosine, and phenylalanine) and four vitamins (niacin, pantothenate, biotin and folic acid) (Supplementary materials). However, E. casseliflavus BF-1 cells can transport these amino acids and vitamins into their cell membrane through ATP-binding cassette (ABC) transporters (Supplementary materials).
Prediction of virulence factors. The virulence factors in the genome of strain BF-1 were annotated by VFanalyzer in VFDB (Table IV). Among all the potential virulence factors of Enterococcus, experimental results have shown that toxins, exoenzymes, and antiphagocytosis proteins are pathogenic factors (Zischka et al. 2012). The genome of strain BF-1 does not contain the genes virulent toxins and exoenzymes, although it contains the genes (cpsA, cpsB, and cpsJ) antiphagocytic proteins. The latter operon, however, needs a complete gene cluster (cpsA, cpsB, cpsC, cpsD, cpsE, cpsF, cpsG, cpsH, cpsI, cpsJ, and cpsK), or else it cannot form a capsule (Thurlow et al. 2009). Therefore, E. casseliflavus BF-1 is safe at the genetic level and could be further used in regulating baijiu microbial ecosystem.
The occurrence of virulence factor encoding genes in the strain BF-1 genome.
| Related genes | VFclass |
|---|---|
| ebpA, ebpC, srtC, efaA, slrA | Adherence |
| cpsA, cpsB, cpsJ | Antiphagocytosis |
| bopD | Biofilm formation |
| – | Toxin |
| – | Exoenzyme |
| ctpV | Copper up take |
| capD, cps4I, cpsY | Immune evasion |
| htrA/degP | Protease |
| cheY | Regulation |
Verification of E. casseliflavus BF-1 defection. In order to verify the results of KAAS annotation, we carried out the single-omission growth experiments experiment of E. casseliflavus. The results are shown in Fig. 5. L-cysteine, L-methionine, L-tyrosine, L-phenylalanine, niacin, pantothenate, biotin, and folic acid were subtracted from the CDM. The OD600nm of E. casseliflavus BF-1 decreased to 24%, 18%, 30%, 21%, 20%, 88%, 24%, and 42%, respectively. It is confirmed that E. casseliflavus BF-1 has defects in synthesizing the above eight nutrients. In this case, the synthesis of biofilm, nucleic acid, and protein of BF-1 would be affected, which could further influence the energy metabolism, oxygen stress resistance, and the growth of bacteria. However, E. casseliflavus BF-1 cells can transport these nutrients into the cell through ATP-binding cassette (ABC) transporters (Additional File 1). BF‑1 can assimilate these nutrients for growth by adding the missing nutrients to the medium.

Single-omission growth experiments based on CDM.
Optimization of medium for caproic acid production based on KAAS annotation. In different carbon sources conditions, the best carbon source for caproic acid production in strain BF-1 was glucose, followed by sodium acetate and mannose (Fig. 6a). Strain BF-1 did not use starch to produce caproic acid. As shown in Fig. 6c, the optimum concentration of glucose added was 2%. Yeast extract as a nitrogen source was found to significantly promote the production of caproic acid by E. casseliflavus BF-1. Yeast extract was therefore selected as a nitrogen source for the growth of E. casseliflavus BF-1 (Christ and Blank 2019). As shown in Fig. 6d, the optimal concentration of yeast extract added was 2.0%. E. casseliflavus BF-1 showed weak caproic acid production when using an inorganic nitrogen source (Fig. 6b).

Effects of adding carbon and nitrogen compounds on caproic acid yield of strain BF-1.
a) Effects of different carbon sources, b) effects of different nitrogen sources, c) effect of glucose addition, d) effect of yeast extract addition.
Based on a single-omission growth experiment, we confirmed that E. casseliflavus BF-1 has defects in synthesizing eight nutrients. Because organic nitrogen source contains many complex nutritional components and rich bioactive substances, we added essential nutrients to the fermentation medium to explore its effects on the growth and acid production of E. casseliflavus BF-1.
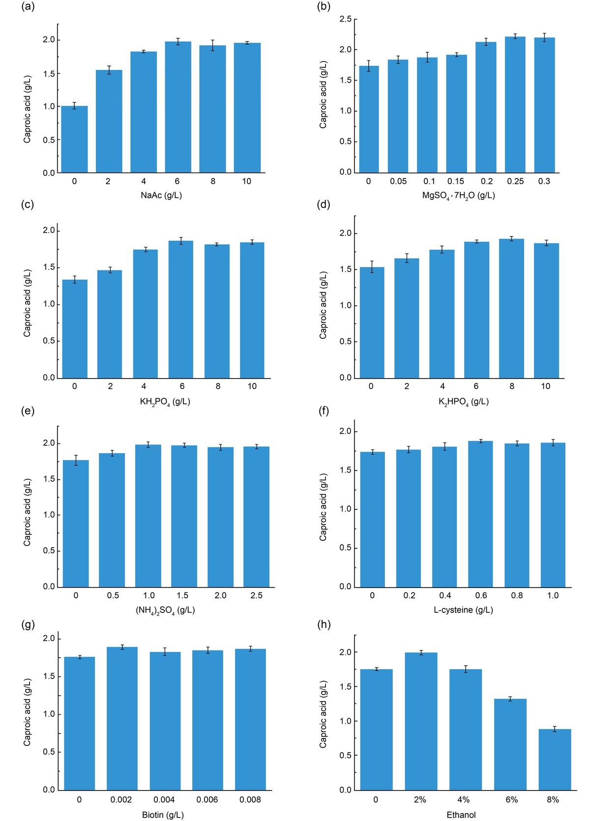
We added L-cysteine, L-methionine, L-tyrosine, L-phenylalanine, niacin, pantothenate, biotin, and folic acid to the fermentation medium (L-cysteine was removed from the control). In the medium supplemented with L-cysteine and biotin, the OD600nm and yield of caproic acid of E. casseliflavus BF-1 increased significantly compared with the control. The OD600nm of E. casseliflavus BF-1 increased by 10.1% and 10.5%, respectively, after 10 days of fermentation (Fig. 7a). The yield of caproic acid increased by 6.1% and 13.1%, respectively (Fig. 7b). The nutrients in yeast extract were complex. For the sake of cost, only L-cysteine and biotin were added in the subsequent optimization experiment. Based on Fig. 8a–8h, we determined the value of each factor when the yield of caproic acid reached the maximum: sodium acetate 6 g/l, MgSO4 · 7H2O 0.25 g/l, KH2PO4 6 g/l, K2HPO4 8 g/l, (NH4)2SO4 1 g/l, L-cysteine 0.6 g/l, biotin 0.002 g/l, and ethanol at a concentration of 2%.

Effect of supplying essential nutrients to the fermentation medium on the cell growth and caproic acid production by E. casseliflavus BF-1 strain.

Effect of adding of inorganic salts and growth factors on caproic acid production by strain BF-1. a) Sodium acetate, b) MgSO4 · 7H2O, c) KH2PO4, d) K2HPO4, e) (NH4)2SO4, f) L‑cysteine, g) biotin, h) ethanol.
Orthogonal experiment. Based on the results of single factor optimization experiment, an L16 (44) orthogonal experiment was designed to study further the interaction between four factors, namely A: glucose addition, B: yeast extract addition, C: sodium acetate addition, and D: ethanol addition, and four factors and four levels. The results of the orthogonal experiment are shown in Table III. According to the experimental results (Table V), the Kn value and R-value were calculated. The best fermentation scheme was as follows: A2B2C4D1, i.e., glucose 20 g/l, yeast extract 20 g/l, sodium acetate 8 g/l, and ethanol added at a concentration of 1%; A was found to be the most significant factor. The results of the variance analysis of the orthogonal experiment are shown in Table VI. From these results, it can be concluded that glucose, yeast extract, and sodium acetate significantly impacted on the test results, and glucose had the most significant impact on caproic acid production of E. casseliflavus BF-1 strain (p = 0.013).
Results of L16 (44) orthogonal experiment.
| Glucose | Yeast extract | Sodium acetate | Ethanol | Caproic acid production (g/l) | |
|---|---|---|---|---|---|
| 1 | 1 | 1 | 1 | 1.76 | |
| 1 | 2 | 2 | 2 | 1.99 | |
| 1 | 3 | 3 | 3 | 1.81 | |
| 1 | 4 | 4 | 4 | 1.63 | |
| 2 | 1 | 2 | 3 | 2.33 | |
| 2 | 2 | 1 | 4 | 2.22 | |
| 2 | 3 | 4 | 1 | 2.79 | |
| 2 | 4 | 3 | 2 | 1.96 | |
| 3 | 1 | 3 | 4 | 1.87 | |
| 3 | 2 | 4 | 3 | 2.43 | |
| 3 | 3 | 1 | 2 | 2.12 | |
| 3 | 4 | 2 | 1 | 1.96 | |
| 4 | 1 | 4 | 2 | 2.44 | |
| 4 | 2 | 3 | 1 | 2.56 | |
| 4 | 3 | 2 | 4 | 2.08 | |
| 4 | 4 | 1 | 3 | 1.56 | |
| K1 | 1.798 | 2.1 | 1.915 | 2.268 | |
| K2 | 2.325 | 2.3 | 2.09 | 2.127 | |
| K3 | 2.095 | 2.22 | 2.05 | 2.033 | |
| K4 | 2.16 | 1.777 | 2.322 | 1.95 | |
| R | 0.527 | 0.523 | 0.407 | 0.318 |
Variance analysis of the strain BF-1 orthogonal experiment.
| Variance source | Sum of squares | Freedom | Mean square | F-value | p-value | Significance |
|---|---|---|---|---|---|---|
| Correction model | 1.766a | 12 | 0.147 | 14.537 | 0.025 | |
| Intercept | 70.183 | 1 | 70.183 | 6,933.032 | 0.000 | |
| Factor A | 0.583 | 3 | 0.194 | 19.182 | 0.018 | * |
| Factor B | 0.616 | 3 | 0.205 | 20.268 | 0.017 | * |
| Factor C | 0.345 | 3 | 0.115 | 11.354 | 0.038 | * |
| Factor D | 0.223 | 3 | 0.074 | 7.342 | 0.068 | – |
| Error | 0.030 | 3 | 0.010 | |||
| Total | 71.979 | 16 | ||||
| Corrected total | 1.796 | 15 |
a –R square = 0.983 (adjusted R square = 0.915)
* – significance
The following optimum medium conditions for acid production by strain BF-1 were obtained by the orthogonal experiment: glucose 20 g/l, yeast extract 20 g/l, sodium acetate 8 g/l, ethanol 1%, MgSO4 · 7H2O 0.25 g/l, KHPO6 g/l, KHPO8 g/l, (NH)SO1 g/l, 24 24 424 L‑cysteine 0.6 g/l, and biotin 0.002 g/l. The yield of caproic acid was 3.03 g/l after fermentation for 10 days at initial pH 7 and 35°C, which was 3.44-fold of that before optimization. The caproic acid yield of BF-1 was higher than those of most caproic acid bacteria (Zhao et al. 2012; Hu et al. 2015; Dobritsa et al. 2017; Gou et al. 2020). E. casseliflavus BF-1 could be further used as an enhanced inoculum during the SFB production to increase the yield of ethyl hexanoate. In addition, E. casseliflavus BF-1 could be applied in pit mud maintenance, artificial pit mud preparation, and esterification liquid production.
CPB is a crucial functional group in an SFB ecosystem, as they affect the content of caproic acid and ethyl hexanoate in SFB. The present study is the first to report caproic acid production of E. casseliflavus BF-1. The genomic analysis confirmed that this strain is not pathogenic. After adding the predicted essential nutrients based on the KAAS annotation, the optimum medium conditions for the acid production of strain BF-1 were glucose 20 g/l, yeast extract 20 g/l, sodium acetate 8 g/l, ethanol 1%, MgSO4 · 7H2O 0.25 g/l, KH2PO4 6 g/l, K2HPO4 8 g/l, (NH4)2SO4 1 g/l, L-cysteine 0.6 g/l, and biotin 0.002 g/l by orthogonal experiment, and the yield of caproic acid reached 3.03 g/l. Strain BF-1 screened in this study can be used for the daily maintenance of pit mud and the rapid culture of artificial pit mud, which can improve the maintenance effect of pit mud, shorten the aging cycle of artificial pit mud, and reduce production cost. This strain can also be used in future animal feed and other fields.