Fig. 1.

Fig. 2.

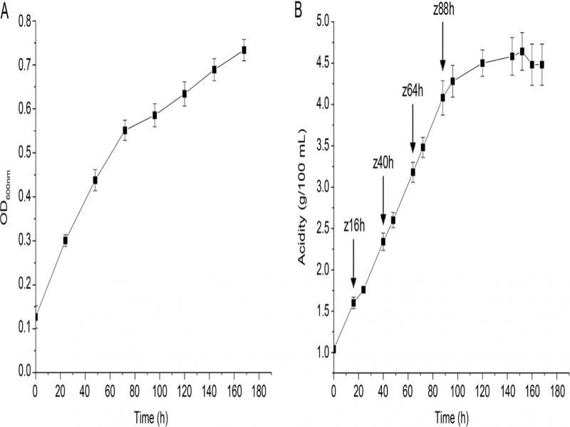
Fig. 3.

Statistics of differentially expressed genes of the samples treated_
| Time | Number of up-regulated genes | Number of down-regulated genes differentially expressed genes | |
|---|---|---|---|
| 40 h | 502a (14%) | 406 (12%) | 908 (26%) |
| 64 h | 500 (14%) | 479 (14%) | 979 (28%) |
| 88 h | 602 (17%) | 620 (18%) | 1,222 (35%) |