The potato (Solanum tuberosum L.) is the third most important crop worldwide; its production demands a high supply of phosphorus (P) to promote the growth of roots and tubers (Dawwam et al. 2013). To supply these nutritional needs, 150 kg/ha of inorganic P is applied as a chemical fertilizer. However, inorganic P is accumulated in the soil by adsorption processes of metallic cations, such as Ca2+, Mg2+, Fe3+, and Al3+, becoming unavailable to the plant (Sharma et al. 2013). Consequently, soil fertility and its edaphic microbiota’s capacity to carry out biogeochemical cycles are decreasing (Dawwam et al. 2013; Sivasakthi et al. 2014).
Plant roots uptake inorganic P is as orthophosphate through non-symbiotic physiological mechanisms; however, through symbiosis with “plant-growth promoting Rhizobacteria” (PGPR), it facilitates, even more, their absorption (Richardson 2001; Richardson et al. 2009). PGPR solubilize P precipitated in the soil by synthesis and secretion of organic acids (malonic, gluconic, acetic, and lactic) either in aerobic or anaerobic metabolic pathways. Then, plant roots absorb the bioavailable orthophosphates (Sashidhar and Podile 2010). PGPR are also producers of plant hormone precursor metabolites and compounds with antagonistic activity to phytopathogens (Wani et al. 2007; Zaidi and Khan 2007; Ahmad et al. 2008).
Nowadays, the isolation of P-solubilizing PGPR is an issue of major interest because of their potential use as biofertilizers, which could reduce the use of agrochemicals that pollute and modify the structure and microbial community of soils (Ingle and Padole 2017). The P solubilization by isolated PGPR strains is evaluated on Pikovskaya agar plates using phosphate tricalcium as the only non-available phosphorus source. After an incubation period, bacterial colonies produce clear halos indicating P solubilization, and their diameter can be measured. Next, the bacterial strains are cultured in a liquid medium to quantify the released orthophosphates (Dawwam et al. 2013; Prathap and Ranjitha 2015).
Having identified the bacterial strain with the high phosphate solubilization (PSB), we hypothesize that the addition of PSB promotes potato plant-growth when cultured under in vitro conditions. This last part has not yet been studied, which is considered a critical methodological step before applying it in the field conditions to ensure proper implementation, as reported by Trdan et al. (2019).
The objectives of this study were: a) screening of PSB strains, isolated from agricultural soils of potato crops from central Mexico, and b) evaluation of the promotion of the plant growth with the use of a selected PSB strain in the in vitro potato cultures.
Collection of soil samples. The samples were collected at 3,531 meters above sea level, from agricultural soils where potatoes (S. tuberosum L.) are grown at Toluca’s Nevado, Municipality of Zinacantepec, State of Mexico, Mexico, GPS: Longitude (dec): –99.805278, Latitude (dec): 19.161389. Five quadrants of 10 m × 10 m were distributed and located in the study area. In each quadrant, five samples of rhizosphere soil were collected at 10 cm depth. Around 100 g of soil were placed in sterile Petri dishes, stored at 4°C for further microbiological analysis.
The viable count of heterotrophic bacteria in the soil samples. Total heterotrophic soil bacteria population density was measured performing viable total count; results were reported as colony-forming units per gram of the soil (CFU/g). Briefly, soil samples (10 g) were suspended in 90 ml sterile saline solution (0.9% NaCl in distilled water) and shaken (150 rpm) at room temperature for 30 min. Then, 100 µl of tenfold serial dilutions of bacterial suspension in sterile saline solution was spread over the trypticase soy agar Bioxon® plates and incubated at 28°C for 24 h. All samples were inoculated by triplicate.
Screening and isolation of Phosphate-Solubilizing Bacteria (PSB). Sixteen different bacterial colonies were selected, considering their abundance and the frequency of appearance. All bacterial isolates were subjected to screening by a plate assay method on Pikovskaya’s agar (PVK), according to Nautiyal (1999), with some modifications. The medium contained glucose, 10 g; (NH4)2SO4, 0.5 g; NaCl, 0.2 g; KCl, 0.2 g; MgSO4 · 7H2O, 0.1 g; MnSO4 · 7H2O, 0.5 g; FeSO4 · 7H2O, 0.5 g; yeast extract, 0.5 g; 15 g of agar powder in 1 liter distilled water (pH 7.2). As insoluble P source, 3.0 g of tricalcium phosphate was added to the medium. From sixteen bacterial strains, four showed a phosphate-solubilization potential, forming a clear halo around the bacterial colony after five days incubation at 28°C. These colonies were isolated, cultured, and stored at 4°C.
Evaluation of phosphate solubilization in PVK solid medium. Phosphate solubilization was evaluated in a plate assay using PVK agar (Nautiyal 1999) with some modifications. Each bacterial strain was cultured overnight in 125 ml flasks with 60 ml of trypticase soy broth Bioxon® at 28°C for 10 h, 100 rpm (an inoculum). Then, bacterial cultures were centrifuged to 1,000 × g for 25 min, and the supernatant was discarded. The biomass was washed twice in a sterile serum (NaCl 0.8%), an optical density adjusted to 0.2 absorbance units (at a wavelength of 600 nm) since both homogenization and the phosphate solubilization assay should be performed with the same bacterial density.
The PVK agar plates were inoculated with 20 µl of the biomass of each bacterial strain; eight replicates were done for each strain. The diameter of clear phosphate-solubilization halo was measured after eight days of incubation at 28°C. The results were expressed in millimeters (mm).
Kinetics of bacterial growth and phosphate solubilization in a liquid medium. All four bacterial strains previously assayed on the PVK solid medium were cultured in 250 ml flasks with 100 ml of PVK liquid medium and 0.1% (v/v) of inoculum. The control flasks contained only a sterile PVK liquid medium. The experiments were supervised for 14 days at 28°C and 100-rpm agitation, and biomass, orthophosphates, and pH were measured at defined time intervals. The biomass was measured spectrophotometrically at 600 nm. For the determination of orthophosphates, aliquots with 5 ml of PVK liquid medium were centrifuged 1,000 × g for 25 min to obtain a biomass-free supernatant. Orthophosphates released in PVK liquid medium were determined by the molybdenum blue method (Murphy and Riley 1962) by measuring absorbance at 880 nm wavelength and converting it to the concentration units with the use of a standard curve. The pH of the PVK medium was recorded with a Multi 9620 IDS WTW® model pH meter. All measurements were performed in three replicates; the glass material used was washed with HCl 0.1 N. Based on data obtained from kinetics on the liquid medium, one bacterial strain was selected due to its high orthophosphates solubilization rate (mg P/l * d) calculated during the exponential growth phase. Sequencing of the 16S rRNA gene identified the strain, and its plant-growth promotion capacity was assayed on potato in the in vitro culture.
Bacterial strain identification by sequencing the 16S rRNA gene. The genomic DNA of the strain was extracted with the ZR Fungal/Bacterial DNA Kit™. The 16S rRNA gene was amplified using the oligonucleotides rD1 and fD1 under the conditions described by Weisburg et al. (1991). The final sequence was deposited in the GenBank database of the National Center for Biotechnology Information (NCBI). The sequence of the 16S rRNA gene of the strain was compared with other16S rRNA genes deposited in the GenBank database using the BlastN software. The phylogenetic analysis was performed with the MEGA 6 program (Tamura et al. 2013). The phylogenetic tree was prepared from the sequence obtained with BlastN and the already known collection strains. The phylogenic tree was constructed using the neighbor-joining method (Saitou and Nei 1987) based on 1,191 nucleotides of 16S DNA, using the distance matrix of Jukes and Cantor (1969).
Microplant material. Virus-free microplants of S. tuberosum L. cv. Citlali, from the Germplasm Bank of the National Potato Program of the National Institute for Forestry Agriculture and Livestock Research (INIFAP) in Toluca, Mexico, were micropropagated as nodal cuttings in vitro, following previous protocols (Mora-Herrera et al. 2005) in MS medium (Murashige and Skoog 1962). The medium contained per liter: NH4NO3, 17.5 g; KNO3, 20 g; CaCl2·2H2O, 4.5 g; KH2PO4, 1.75 g (experiments, where tricalcium phosphate [Ca3(PO4)2 3.0 g] was evaluated did not contain KH2PO4); H3BO3, 50 mg; MnSO4, 200 mg; ZnSO4 · 7H2O, 100 mg; KI, 10 mg; Na2MoO4, 2.5 mg; CuSO4 · 5H2O, 5.0 mg; CoCl2 · 6H2O, 0.5 mg, and it was supplemented with Myo-Inositol 0.1 g; Fe, 0.065 g; thiamine, 0.0004 g; calcium pantothenate, 0.002 g; glycine, 0.00005 g; GA3, 0.0001 g; and sucrose, 30%. Microplants were incubated at 20 ± 1°C under a 16 h photoperiod (fluorescent lights: 35 μmol m–2 s–1, 400–700 nm) and in sterile conditions (Espinoza et al. 1986).
Evaluation of phosphorus source and sucrose content in the development of potato microplants. The growth of potato microplants was tested with sucrose at a concentration of 10 and 30%, and KH2PO4 or Ca3(PO4)2 in the MS medium to study whether the potato microplants grow under the same sucrose concentration and P source as the phosphate-solubilizing bacterial strain. For this, 40 nodal cuttings were cultured in MS per treatment (T): T0 (control), KH2PO4 and sucrose 30 g/l; T1, KH2PO4 and sucrose 10 g/l; T2, without P source and sucrose 30 g/l; T3, without P source and sucrose 10 g/l; T4, Ca3(PO4)2 and sucrose 30 g/l; and T5, Ca3(PO4)2 and sucrose 10 g/l. The results were analyzed by Tukey p < 0.05 (2 way ANOVA) to evaluate the interaction between sucrose and P source.
Evaluation ofin vitrogrowth of potato microplants in the presence of strain A3. Forty two microplants 28 ± 2 days old without roots per treatment were individually cultured in 25 × 150 mm tubes with 10 ml of MS containing 3.0 g/l tricalcium phosphate, pH 7.38. The treatments were: A) without bacterial strain A3, and B) with bacterial strain A3 at the density of 1.18 × 106 CFU/ml. The following morphological parameters were measured: fresh weight (FW) (g), stem length (cm), and root length (cm).
Statistical analysis. A descriptive statistical analysis (mean and standard deviation) of the variables assayed in the study was performed. Halo diameters from P solubilization by four bacterial strains were statistically compared by an LSD test (p < 0.001). Assays of in vitro potato cultures were analysed by the Student t test (p < 0.05). The statistical analysis was performed with the Statgraphics Centurion XVI data package.
Screening and isolation of phosphate-solubilizing bacteria. Bacterial population density from soil samples was quantified to be 105 CFU/g. Four out of total bacterial colonies present on nutrient agar were isolated for the subsequent growth on PVK agar and formation of the phosphate-solubilization halos. Fig. 1 shows that after eight days of incubation, the bacterial strain named A3 formed a 20 mm solubilization halo. Meanwhile, the other bacterial strains reached a solubilization halo of around 10 mm. However, it was necessary to confirm the P solubilization of strain A3 in a liquid medium to quantify the release of the orthophosphates.
Fig. 1.
Phosphate solubilization assay, measured by halo formation by four bacterial strains cultured on PVK agar. The lines above each bar indicate standard deviation. The different letters above the bars denote statistical differences (LSD test (p < 0.001)).

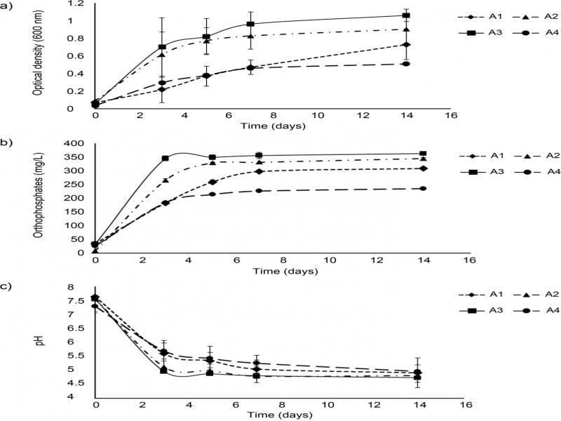
Kinetics of growth and phosphate solubilization in PVK liquid medium. All four PSB strains presented a typical growth curve; however, exponential growth was more evident after three incubation days for bacterial strains A2 and A3. Although all bacterial strains were inoculated at the same optical density, bacterial strains A1 and A4 were less efficient to grow with tricalcium phosphate added under these experimental conditions (Fig. 2a).
Fig. 2.
Kinetics of the bacterial growth on PVK liquid medium.
a) the bacterial growth measured as optical density at a wavelength of 600 nm, b) the orthophosphates released measured with molybdenum blue method, and c) the acidification evidence (lower pH values) in PVK liquid medium. The lines shown above or below each point indicate the standard deviation.

On day three, during the exponential growth phase, both bacterial strains A2 and A3 solubilized 266 and 350 mg/l orthophosphates (Fig. 2b). The bacterial strains A1 and A4 solubilized 200 and 250 mg/l of orthophosphates, respectively. In this assay, all bacterial strains acidified the PVK liquid medium, but bacterial strains A2 and A3, in particular, acidified the medium with the highest efficiency as pH of the medium was equal to 5 (Fig. 2c).
The orthophosphates solubilization rates in PVK liquid medium were 88 mg P/l * d and 115 mg P/l * d for bacterial strains A2 and A3, respectively. Therefore, bacterial strain A3 was selected because it was able to grow with tricalcium phosphate being the only phosphorus source on both solid and liquid media, and it solubilized orthophosphates to a higher rate than bacterial strain A2.
The strain identification based on the 16S rRNA gene sequence. The 16S rDNA sequence was analyzed using the BLASTn algorithm and showed that bacterial strain A3 had 98% similarity with Bacillus pumilus and Bacillus zhangzhouensis. Fig. 3 shows the phylogenetic tree, where bacterial strain A3 appears as Fo03 strain (accession number MN100586), related to B. pumilus and B. zhangzhouensis.
Fig. 3.
Phylogenetic tree of A3 bacterial strain identified by 16 S rDNA molecular analysis.

Evaluation of P source and sucrose content in the development of potato microplants. Nodal cuttings incubated without any source of phosphate did not develop and died (T2 and T3). The cuttings developed with a source of phosphate and sucrose, specifically in T4 and T5, showed an increase in growth. It was found that there was a relationship between P source and sucrose concentration (Table I). Additionally, it was revealed that in medium supplemented with Ca3(PO4)2, the pH value increased to 7.8. It did not affect microplant growth; therefore, in subsequent experiments, the culture medium pH was adjusted to this value.
Growth evaluation of potato microplants cv. Citlali with different P sources and sucrose concentrations.
| Variable | |||||
|---|---|---|---|---|---|
| Phosphate (A) | Sucrose g/l (B) | Interaction | |||
| KH2PO4 (T0, T1) | Ca3(PO4)2 (T4, T5) | 10 (T1, T5) | 30 (T0, T4) | AB | |
| 1* | 6.081 ± 0.154¤b | 6.801 ± 0.155a | 6.122 ± 0.153b | 6.760 ± 0.156a | No |
| 2 | 15.099 ± 0.640NS | 16.180 ± 0.636NS | 14.335 ± 0.632b | 16.944 ± 0.644a | No |
| 3 | 0.279 ± 0.093NS | 0.334 ± 0.094NS | 0.240 ± 0.0195b | 0.373 ± 0.0198a | Present |
*1 – Stem length (cm), 2 – Root length (cm), and 3 – Fresh weight (g); data are expressed as means ± standard deviation. The different letters between variables A and B indicate significant differences according to the Tukey test p < 0.05 (2-way ANOVA); NS – not significant at p < 0.05; KH2PO4 – potassium phosphate; Ca3(PO4)2 – tricalcium phosphate; T0 – KH2PO4 and sucrose 30 g/l; T1 – KH2PO4, sucrose 10 g/l; T4 – Ca3(PO4)2, sucrose 30 g/l; T5 – Ca3(PO4)2 sucrose 10 g/l
Evaluation of in vitro growth of potato microplants in the presence of strain A3. Potato microplants incubated with tricalcium phosphate (as P source) and strain A3 presented a significant increase in the stem length by 79.3%, the fresh weight (2.2 times), and the root length by 68% when compared to control microplants (Table II).
Potato microplants (Solanum tuberosum L.) cv. Citlali grown for 28 ± 2 d in vitro in presence/absence of PSB strain A3.
| Treatments | Stem length (cm) | Root length (cm) | Fresh weight (g) |
|---|---|---|---|
| Bacterial strain A3 added | 10.043 ± 3.252* | 2.943 ± 1.634* | 0.573 ± 0.296* |
| Without added bacterial strain A3 | 5.6 ± 2.026 | 4.297 ± 3.136 | 0.174 ± 0.161 |
Data are expressed as means ± standard deviation (SD)
* the statistical differences (p < 0.05) Student T-test
An additional response observed in potato microplants inoculated with strain A3 was the overgrowth of adventitious roots compared to non-inoculated plants (Fig. 4).
Fig. 4.
Development of adventitious roots in potato microplants (Solanum tuberosum L.) cv. Citlali, inoculated with PSB strain A3 and cultured for 28 d ± 2 d.

In this paper, four out of sixteen bacterial strains from potato crop soil were screened and isolated. These four bacterial strains formed halos as evidence of P solubilization in PVK agar with tricalcium phosphate as non-soluble P source. Strain A3 had the highest halo diameter (20 mm) (Fig. 1). According to Paul and Sinha (2017), the use of PVK agar as a medium for qualitative estimation of P solubilization is considered the first step for screening and isolating PSB. Their paper reported a 13 mm halo diameter with the P-solubilizing strain of Pseudomonas aeruginosa.
The four bacterial strains were also cultured in PVK liquid medium to confirm and ensure that bacterial strain A3 was the best P solubilizer. The results showed that the P-solubilizing rate of bacterial strain A3 (115 mg P/l * d) was higher than those of A1, A2, and A4 strains. The results reported by Paul and Sinha (2017) showed that the P-solubilizing rate of Pseudomonas aeruginosa was 54 mg P/l * d.
After their isolation from the natural environment, the PSB has to grow under in vitro conditions, keep their solubilizing activity, and not be stressed in axenic cultures (Collavino et al. 2010). In this report, strain A3 maintained a high P-solubilization rate in PVK liquid medium, confirming its P-solubilization capacity, and it also acidified the culture medium to a pH of 5. It is well known that medium acidification is due to production and excretion of organic acids (gluconic, citric, lactic, succinic, oxalic, fumaric, acetic, isobutyric, glycolic, 2-ketogluconic, aspartic, and malonic); it is the primary microbial mechanism for solubilization of inorganic P (Rodriguez and Fraga 1999). Acidification modifies precipitation/dissolution equilibrium of P, organic acids sequester the calcium, and then the P is solubilized and becomes bioavailable (Prathap and Ranjitha 2015; Ingle and Padole 2017).
Phylogenetic analysis of the 16S rRNA gene showed that strain A3 is related to B. pumilus and B. zhangzhouensis. Although the cladogram shows that it is tightly and genetically related to B. pumilus, it is important to highlight that B. pumilus has not been reported to have phosphate-solubilizing activity. It has recently been identified as a PGPR capable of synthesizing phytohormone precursors, the compounds with the activity against nematodes (Okazaki et al. 2020). The bacteria also possess a chitinase activity in association with the rice crop roots, enhance carbohydrate metabolism and phenylpropanoid biosynthesis (Liu et al. 2020), and alleviate drought stress (Xie et al. 2019).
The strain of B. pumilus isolated from the P-solubilizing potato crop rhizosphere is reported here. There are relatively few reports of PGPR P solubilizers belonging to the genus Bacillus sp., isolated from potato rhizosphere. Such ability was detected in Bacillus strains isolated from potato rhizosphere from Peruvian soils by Calvo et al. (2010). Hanif et al. (2015) reported that Bacillus subtillis solubilizes phosphate and increases the length and weight of both roots and shoot in potatoes grown in the soils with the low phosphorus content.
Potatoes (S. tuberosum L.) need high doses of P for optimum growth and yield. When P is unavailable, growth and yield biomass are considerably reduced (Balemi 2009; Wang et al. 2015). The PSB helps plants to uptake P unavailable in soil, improving crop yield (Chen et al. 2006).
In this work, potato microplants were cultured in vitro with tricalcium phosphate and the PSB strain A3, to verify the bacterial effect on the promotion of plant growth. It is a frequent biotechnology procedure in tuber seed production systems (Ibrahim et al. 2016). It was found here that PSB could grow in both 10 or 30 g/l of sucrose (data not shown), and that there was a relationship between sucrose and source of phosphate in the development of potato microplants (Table I). It was observed that microplants significantly increased their development in Ca3(PO4)2 that is not available to plants; this response could be attributed to the pH of the medium being adjusted to 5.6, which could contribute to the absorption of phosphorus by the plant.
A significant increase in stems and fresh weight was observed in potato microplants incubated with PSB strain A3 (Table II); it indicated that tricalcium phosphate was solubilized, and phosphate becomes available for plant growth. The increase in biomass could be attributed to phosphorus released by organic acids produced by PSB (Prieto-Correal et al. 2015). It has been shown that there is a correlation between the solubility of phosphorus and the production of organic acids by PSB (Chen et al. 2006). It has also been reported that, with low phosphate content available, plants can produce organic acids for phosphorus absorption (Wang et al. 2015). However, potato plants only produce succinic acid (Dechassa and Schenk 2004) in low concentration when compared to other crops (Wang et al. 2015). It suggests that phosphorus was made available due to the activity of the phosphate-solubilizing strain A3 and could be absorbed by potato microplants.
Besides, roots in potato microplants inoculated with phosphate-solubilizing strain A3 presented a statistically shorter length than those that were not inoculated (Table II). Various effects on roots have been reported according to the available P content. Ma and coworkers (Ma et al. 2001) found that roots of Arabidopsis thaliana were independent of the available P content, while in potato microplants, the number of roots increased when nutrients in the culture medium decreased (Ibrahim et al. 2016). In this work, potato microplants did not develop roots, possibly due to P bioavailability due to the effect of the phosphate-solubilizing strain A3.
In contrast, adventitious roots might increase significantly at low concentrations of available P, as demonstrated in Arabidopsis thaliana (Ma et al. 2001), potato, barley, and canola (Wang et al. 2015). A contrary response was found in the model used here with potato microplants inoculated in vitro with strain A3, where adventitious roots were formed, including in the main stem (Fig. 4). According to Ma and coworkers (Ma et al. 2001) P bioavailability alters root anatomy, allowing hairy roots formation for P acquisition.
It suggests that the potato microplant in the presence of tricalcium phosphate and phosphate-solubilizing strain A3 could have caused either: a) a vitrification phenomenon, which is a common tissue culture disorder due to excess of P available (Ziv 1993); it might lead to an increase in microplant weight due to thickening, but this response depended directly on the crop’s characteristics (Casas and Lasa 1986); or b) indole acetic acid production, which is characteristic of PGPR (Banerjee et al. 2010). It could induce lateral or adventitious roots, since a high auxin/cytokinin ratio might result in root formation (Rout 2004).
This investigation’s highlights are: phosphate-solubilizing bacteria occur in the soil, but this environment has high selection pressure; it was necessary to isolate and screen bacterial strains that show phosphate-solubilization activity. It was possible to select one out of four bacterial strains by culturing them on solid and in liquid medium with tricalcium phosphate. After molecular identification by sequencing of 16 S rRNA gene, it was demonstrated that the non-phytopathogenic strain A3 belongs to B. pumilus, being the first strain reported as a potato growth promoter. Finally, the in vitro assay with potato microplants showed that the supplementation with strain A3 reported herein promoted root and stem growth. This result may lead to future research on tuber formation in potato crops, and the bacteria may be used as biofertilizer in field conditions.