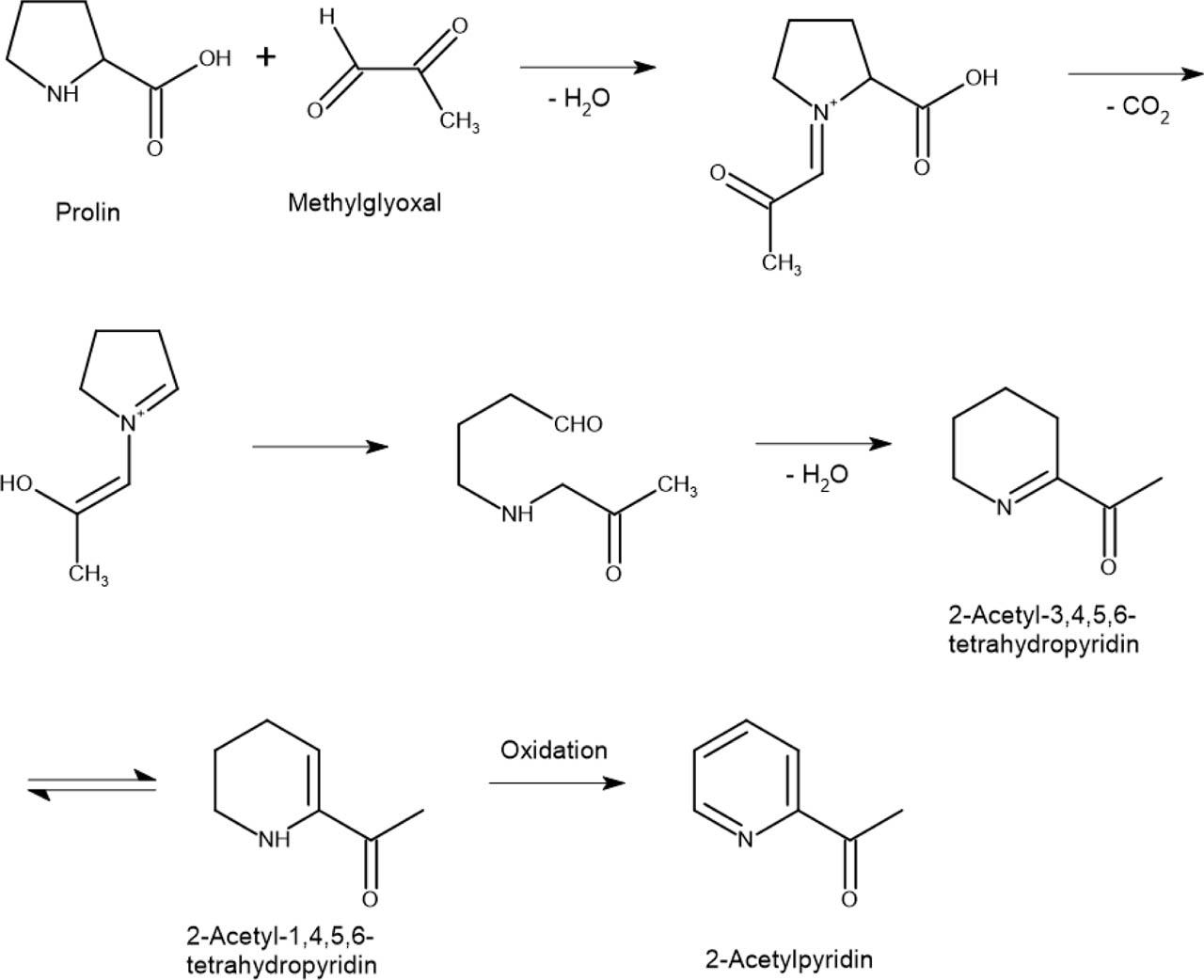
Fig. 1:

Fig. 2:

Fig. 3:

Fig. 4:

Experimental design (central composite design) calculated by XLSTAT based on Tab_ 1
| Observations | pH | SO2 [mg/L] | Ascorbic acid [mg/L] | Temperature [°C] |
|---|---|---|---|---|
| Obs1 | 3.0 | 25.0 | 125.0 | 14.0 |
| Obs2 | 4.0 | 25.0 | 125.0 | 14.0 |
| Obs3 | 3.0 | 50.0 | 125.0 | 14.0 |
| Obs4 | 4.0 | 50.0 | 125.0 | 14.0 |
| Obs5 | 3.0 | 25.0 | 250.0 | 14.0 |
| Obs6 | 4.0 | 25.0 | 250.0 | 14.0 |
| Obs7 | 3.0 | 50.0 | 250.0 | 14.0 |
| Obs8 | 4.0 | 50.0 | 250.0 | 14.0 |
| Obs9 | 3.0 | 25.0 | 125.0 | 25.0 |
| Obs10 | 4.0 | 25.0 | 125.0 | 25.0 |
| Obs11 | 3.0 | 50.0 | 125.0 | 25.0 |
| Obs12 | 4.0 | 50.0 | 125.0 | 25.0 |
| Obs13 | 3.0 | 25.0 | 250.0 | 25.0 |
| Obs14 | 4.0 | 25.0 | 250.0 | 25.0 |
| Obs15 | 3.0 | 50.0 | 250.0 | 25.0 |
| Obs16 | 4.0 | 50.0 | 250.0 | 25.0 |
| Obs17 | 2.5 | 37.5 | 187.5 | 19.5 |
| Obs18 | 4.5 | 37.5 | 187.5 | 19.5 |
| Obs19 | 3.5 | 12.5 | 187.5 | 19.5 |
| Obs20 | 3.5 | 62.5 | 187.5 | 19.5 |
| Obs21 | 3.5 | 37.5 | 62.5 | 19.5 |
| Obs22 | 3.5 | 37.5 | 312.5 | 19.5 |
| Obs23 | 3.5 | 37.5 | 187.5 | 8.5 |
| Obs24 | 3.5 | 37.5 | 187.5 | 30.5 |
| Obs25 | 3.5 | 37.5 | 187.5 | 19.5 |
SPME-HS-GC-MS parameters
| SPME | |
|---|---|
| Fiber | Carbon WR/PDMS - 95/10 |
| Conditioning Temperature | 250 °C |
| Pre-Injection Conditioning Time | 10.00 min |
| Post-Injection Conditioning Time | 1.00 min |
| Needle Purge flow | 0.8 bar |
| Sample Incubation | 5.00 min, 50 °C |
| Headspace Sampling | 45.00 min, 50 °C |
| Agitator on | 5 s |
| Agitator off | 2 s |
| Sample Vial Depth | 35 mm |
| Sample Desorption | 10.00 min, 280 °C |
| GC | |
| Column flow | 1 mL/min |
| Carrier gas | Helium |
| Injector | 280 °C |
| Liner | Quartz Liner for splitless Operation ID 1 mm |
| Split | 50 ml/min @1.00 min |
| Gas Saver | 20 ml/min @14.00 min |
| Oven Temperature Program | 40 °C/0.00 min – 3 °C/min/80 °C/0.00 min – 6 °C/min/150 °C/0.00 min – 10 °C/min/240 °C/5.00 min |
| MS | |
| Electron energy | 70 eV |
| Transferline | 280 °C |
| Ion source | 220 °C |
| Solvent Delay | 1.00 min |
| Scan Mode | 1.10 – 39.00 min |
| Scan m/z | 38–250 amu |
| Scan Time | 0.2 s |
| Inter-Scan Delay | 0.025 s |
| SIR Mode (2-AP) | 12.00–15.00 min |
| m/z | 52, 78, 79, 93, 121 |
| Inter-Channel Delay | 0.01 s |
| Data evaluation | sum 79+93+121 |
Parameters analyzed within the scope of the study
| pH | SO2 [mg/L] | Ascorbic acid [mg/L] | Temperature [°C] |
|---|---|---|---|
| 3,0 | 25 | 125 | 14 |
| 4,0 | 50 | 250 | 25 |
Results of the GC/MS measurements on AP in model solutions after 106 days (AP: acetyl pyridine)
| Observations | pH | SO2 [mg/L] | Ascorbic acid [mg/L] | Temperature[°C] | AP [area units] |
|---|---|---|---|---|---|
| Obs1 | 3.0 | 25.0 | 125.0 | 14.0 | 291 |
| Obs2 | 4.0 | 25.0 | 125.0 | 14.0 | 279 |
| Obs3 | 3.0 | 50.0 | 125.0 | 14.0 | 0 |
| Obs4 | 4.0 | 50.0 | 125.0 | 14.0 | 238 |
| Obs5 | 3.0 | 25.0 | 250.0 | 14.0 | 185 |
| Obs6 | 4.0 | 25.0 | 250.0 | 14.0 | 209 |
| Obs7 | 3.0 | 50.0 | 250.0 | 14.0 | 298 |
| Obs8 | 4.0 | 50.0 | 250.0 | 14.0 | 318 |
| Obs9 | 3.0 | 25.0 | 125.0 | 25.0 | 1536 |
| Obs10 | 4.0 | 25.0 | 125.0 | 25.0 | 1485 |
| Obs11 | 3.0 | 50.0 | 125.0 | 25.0 | 964 |
| Obs12 | 4.0 | 50.0 | 125.0 | 25.0 | 1195 |
| Obs13 | 3.0 | 25.0 | 250.0 | 25.0 | 1304 |
| Obs14 | 4.0 | 25.0 | 250.0 | 25.0 | 657 |
| Obs15 | 3.0 | 50.0 | 250.0 | 25.0 | 1148 |
| Obs16 | 4.0 | 50.0 | 250.0 | 25.0 | 1170 |
| Obs17 | 2.5 | 37.5 | 187.5 | 19.5 | 343 |
| Obs18 | 4.5 | 37.5 | 187.5 | 19.5 | 137 |
| Obs19 | 3.5 | 12.5 | 187.5 | 19.5 | 267 |
| Obs20 | 3.5 | 62.5 | 187.5 | 19.5 | 65 |
| Obs21 | 3.5 | 37.5 | 62.5 | 19.5 | 34 |
| Obs22 | 3.5 | 37.5 | 312.5 | 19.5 | 301 |
| Obs23 | 3.5 | 37.5 | 187.5 | 8.5 | 31 |
| Obs24 | 3.5 | 37.5 | 187.5 | 30.5 | 3519 |
| Obs25 | 3.5 | 37.5 | 187.5 | 19.5 | 367 |