Österreich produziert rund 1 % des Weltweins (OIV, 2023), ist aber als bekanntes Weinland ständig international präsent. Unsere wichtigste Geschichte dreht sich um die Sorte Grüner Veltliner, die auf rund einem Drittel (genau 32,5 %) aller österreichischen Rebflächen angebaut wird (Wein Österreich, 2023). Kaum eine andere Weißweinsorte wird so oft mit dem Attribut eines würzigen, pfeffrigen Geschmacks in Verbindung gebracht wie der Grüne Veltliner. Der in Österreich häufig verwendete Begriff „Pfefferl“ ist das Markenzeichen des typischen Grünen Veltliners. Aufgrund des Klimawandels und des zunehmend trockenen und warmen Herbstwetters wird der wichtige Leitstoff des Pfefferls, das Sesquiterpen Rotundon, immer weniger gebildet (Nauer et al., 2018). Die aktuelle Forschung konzentriert sich auf önologische Maßnahmen zur Erhöhung dieses Stoffes im Grünen Veltliner Wein.
Rotundon befindet sich zu mindestens 98 % in der Traubenschale (Caputi et al. 2011; Siebert und Solomon 2011) und die Extraktion ist aufgrund der hydrophoben Beschaffenheit der chemischen Verbindung bei Maischekontakt ohne Alkohol schwierig zu realisieren (Nauer et al., 2021, Philipp et al., 2024). Aus diesem Grund wurden im Zuge der Verarbeitung bzw. Vinifizierung einige unorthodoxe Methoden ausprobiert. Philipp et al. 2024 zeigten beispielsweise, dass die vollständige oder teilweise Maischegärung die Extraktion von Rotundon sowohl bei gekühlten (bei 15 °C) als auch bei erhöhten Temperaturen (bei 25 °C) begünstigt, dass aber die organoleptischen Eigenschaften des Weins aufgrund der starken Extraktion von Tanninen und der Abnahme der Fruchtigkeit der Weine nicht den Erwartungen der Verbraucher entsprechen. Philipp et al. (2023) zeigten, dass die Zugabe von ganzen Trauben den Rotundongehalt erhöht. In dieser Veröffentlichung wurde auch der Zusatz von Traubenblättern getestet, was jedoch den Rotundongehalt im Vergleich zu einer Nullvariante reduzierte. Bei den beiden zuletzt genannten Versuchen (Blatt- und/oder Traubenzugabe) wurde zwar der Rotundongehalt gemessen und die sensorische Auswirkung auf die Würzigkeit diskutiert, die für eine Gesamtempfehlung notwendige Berücksichtigung der anderen qualitätsbestimmenden Geschmacksstoffe des Grünen Veltliners (u.a. Ester) und die Auswirkung auf unerwünschte Aromastoffe (u.a. Methoxypyrazine) wurde jedoch nicht diskutiert (Philipp et al., 2023; 2024).
Die bewusste Zugabe von Blättern ist bei der Weinverarbeitung eigentlich nicht vorgesehen und nicht als önologische Maßnahme definiert, also eigentlich verboten (EU-Kommission 2019). Unsortierte Trauben aus Erntemaschinen enthalten oft Blätter, was aber eher negativ gesehen wird. Capone et al. (2021) befassten sich mit diesem Thema bei Syrah und untersuchten das Aromaprofil von Weinen mit zugesetzten Blättern und Stielen und stellten fest, dass sich die Aromaprofile sowohl in Bezug auf primäre (originäre Traubenaromen) als auch tertiäre Aromen (Gärungsaromen) verändern. Es zeigte sich, dass der Terpengehalt zwar ansteigen kann, der Anstieg der C6-Alkohole jedoch einen eher grünen und unreifen Charakter der Produkte verursacht. Bislang wurde keine vergleichbare Studie für andere Rebsorten durchgeführt.
Beim Grünen Veltliner ist aufgrund des Klimawandels mit einer veränderten Traubenzusammensetzung zu rechnen, die mit einem erwarteten geringeren Rotundongehalt einhergeht. Da dieser würzige, pfeffrige Geschmack und Geruch bei keiner anderen österreichischen weißen Rebsorte so wichtig ist (Nauer et al., 2018), sind wissenschaftliche Bemühungen zur Entwicklung von Lösungen unerlässlich, einschließlich der Erforschung unorthodoxer und nicht zugelassener Methoden. Auch die Rückstandsproblematik, d.h. die Übertragung von Pestizidrückständen in den Most, sollte insbesondere bei der Blattzugabe berücksichtigt werden, wenn dieses Verfahren überhaupt ein Potenzial für die Weinbereitung hat.
Ziel dieser Studie ist es, den Einfluss des Trauben- und/oder Blattzusatzes auf den Gehalt ausgewählter positiver Trauben- und Gärungsaromen (Rotundon, freie Monoterpene, eine breite Palette von Esterverbindungen sowie ausgewählte höhere Alkohole und Carbonsäuren) im Grünen Veltliner zu analysieren. Die Hypothese ist, dass die Zugabe von Blättern und/oder Trauben das Rotundon erhöht, aber die Gesamtzusammensetzung der Weine nicht wesentlich beeinflusst.
Ausgangsmaterial für die Versuche waren 800 kg Trauben der Sorte Grüner Veltliner des Jahrgangs 2018 (16,9 ± 0,5 °KMW; 5,6 ± 0,5 g/l titrierbare Säure, 168 ± 12 mg/l hefeverwertbarer Stickstoff) aus dem Versuchsgut Agneshof der Höheren Bundeslehranstalt und Bundesamt für Wein- und Obstbau, Klosterneuburg, Österreich aus dem Weinbaugebiet Wagram (48°17' 44' N; 16°19'31' E). Die Trauben waren vollkommen gesund und wurden in große Kisten zu je 250 kg geerntet.
Die geernteten Trauben wurden für beide Versuche gewogen und noch in der Kiste mit 30 mg SO2/kg in Form von Kaliumpyrosulfit (Preziso, RWA Raiffeisen Ware Austria Aktiengesellschaft, Wien, Österreich) geschwefelt. Für den Versuch wurden 2,5 kg Trauben (ungeschwefelt) und 2,5 kg Blätter (möglichst unbeschädigt mit Blattstielen von denselben Rebstöcken wie die Trauben und nur Blätter aus dem Traubenbereich (1.-5. Blatt am Trieb)) getrennt in Kleinkisten für die Versuchsanlage geerntet. Die Trauben im Versuch wurden mit einem Pellenc Rebler (Typ Selectiv Prozess M, Pellenc Hammerschmied GmbH) geerntet. Pellenc Hammerschmied GmbH, Göllersdorf, Österreich) gerebelt und gemaischt und mit einer pneumatischen Presse der Firma Wottle (Typ TPG 3000, Poysdorf, Österreich) gepresst. Anschließend wurde der Saft über Nacht bei 15 °C mit einem pektolytischen Enzym (Marke Novoclair Speed, Dosierung: 1,2 g/hl, Novozymes, Warschau, Polen) geklärt und der homogenisierte klare Most auf zwölf 34-Liter-Glaskaraffen (gefüllt mit genau 30 Litern Most) aufgeteilt. Den Behältern mit Blättern wurden 300 g Blätter und den Behältern mit Trauben 300 g zerkleinerte Trauben zugesetzt. Bei der Variante mit Blättern und Trauben wurden jeweils 300 g Blätter und 300 g Trauben hinzugefügt. Die Behälter wurden vor und nach der Befüllung mit Kohlendioxid abgedeckt. Für die Vergärung der Moste wurde die Reinzuchthefe „Oenoferm Klosterneuburg“ (Erbslöh, Geisenheim, Deutschland) mit 10 g Hefe/30 l Most dosiert. Entgegen den Herstellerangaben wurden die Hefen durch Zugabe von 10 g Go-Ferm (Hefenährstoff von Lallemand, Montreal, Kanada) pro Ansatz bei 38 °C auf das 10-fache Mostvolumen rehydriert. Zur Unterstützung der Gärung wurden jedem Most zusätzlich 30 g/hl Hefekomplexnährstoff (Fermaid AT, Lallemand, Montreal, Kanada) zugesetzt. Die Gärung fand bei 20 °C in einer kontrollierten Umgebung statt. Der Gärungsprozess wurde täglich mit einem Handoszillator (DMA 35, Anton Paar, Ostfildern-Scharnhausen, Deutschland) überwacht. Sobald die Messungen mit dem Handschwinger das Ende der Gärung anzeigten, wurde eine FT-IR-Analyse gemäß der OIV/OENO-Resolution 390/2010 durchgeführt. Wenn der Restzuckergehalt unter 1 g/l lag, wurden die Weine vorfiltriert. Dies führte zu einer anderen Gärzeit aufgrund der Zugabe von Trauben und Blättern. Der Jungwein wurde aus dem Abstich entnommen (die vergorenen Trauben und Blätter wurden mit einem Siebaufsatz auf dem Schlauch entfernt), zentrifugiert (SA1-01-175, Siebtechnik Zentrifugen West, Mühlheim an der Ruhr, Deutschland) und mit einem Lagenfilter (PILOT37046, Seitz, Pall/Filtra, Guntramsdorf, Österreich) mit 700 Lagen (Pall/Filtra, Guntramsdorf, Österreich) vorfiltriert und in 20-Liter-Glaskaraffen schüttweise abgefüllt. Die Jungweinschwefelung wurde mit 65 mg/l SO2 in Form von Kaliumpyrosulfit (Preziso, RWA Raiffeisen Ware Austria Aktiengesellschaft, Wien, Österreich) durchgeführt. Die Weine wurden zur Weinsteinstabilisierung drei Wochen bei -0,5 °C gelagert und anschließend auf 50 mg/l freies SO2 eingestellt, einer Sterilisationsfiltration mit einem Kerzenfilter (CUNO, Deutschland) unterzogen und in 0,5 l Flaschen mit Schraubverschluss abgefüllt, etikettiert und bis zur analytischen Charakterisierung bei 4 °C gelagert.
Insgesamt wurden 70 Aromastoffe (davon 61 quantifizierbar) der Aromagruppen Ester, höhere Alkohole, Carbonsäuren, Carbonylverbindungen, freie Monoterpene, Rotundon und Methoxypyrazine mit fünf verschiedenen Methoden bestimmt. Wie in Philipp et al. 2024 wurden drei Gaschromatographen von Agilent Technologies (Santa Clara, Vereinigte Staaten von Amerika) zur Analyse der verschiedenen Aromastoffe verwendet. Die Methoden zur Quantifizierung der 14 relevanten Monoterpene, zur Quantifizierung der 32 Esterverbindungen und zur Bestimmung der mengenmäßig wichtigsten Aromastoffe, wie relevante höhere Alkohole, relevante kurz- und mittelkettige Carbonsäuren, Carbonylverbindungen und Esterverbindungen, sind analog zu den Veröffentlichungen von Philipp et al. (2020, 2024). Die Analytik für Rotundon basiert auf der von Nauer et al. (2018) entwickelten Probenvorbereitung und wurde zuletzt von Philipp et al. (2023) adaptiert. Die aktuellen Validierungsdaten der Methoden sind in der Publikation Philipp et al. (2024) zu finden.
Die analytische Bestimmung des Gesamtphenolgehaltes mit dem Folin-Ciocalteu-Reagenz erfolgte analog zur publizierten Methode von Waterhouse (2002) mit dem Spektralphotometer 8453 (Agilent Technologies, Santa Clara, Vereinigte Staaten von Amerika) im Messbereich von 765 nm. Der Gehalt wird in g/l, berechnet als Kaffeesäure, angegeben.
Eine deskriptive Analyse und eine einfache Varianzanalyse auf dem Signifikanzniveau von a=0,05 sowie ein Post-hoc-Test (Tukey-B-Test) wurden mit IBM SPSS 26.0 unter Verwendung der Ergebnisse der Aromenanalyse durchgeführt. Die Ergebnisse wurden anschließend einer Benjamin-Hochberg-Korrektur (Thissen et al., 2002) analog zu Philipp et al. (2024) unterzogen. Die Ergebnisse sind in Form von Punktdiagrammen dargestellt, wobei die statistischen Unterschiede mit Buchstaben gekennzeichnet sind. Es wurde eine Hauptkomponentenanalyse mit XLSTAT (Microsoft, Redmond, USA) durchgeführt, die alle signifikanten und nicht-signifikanten Parameter einschließt.
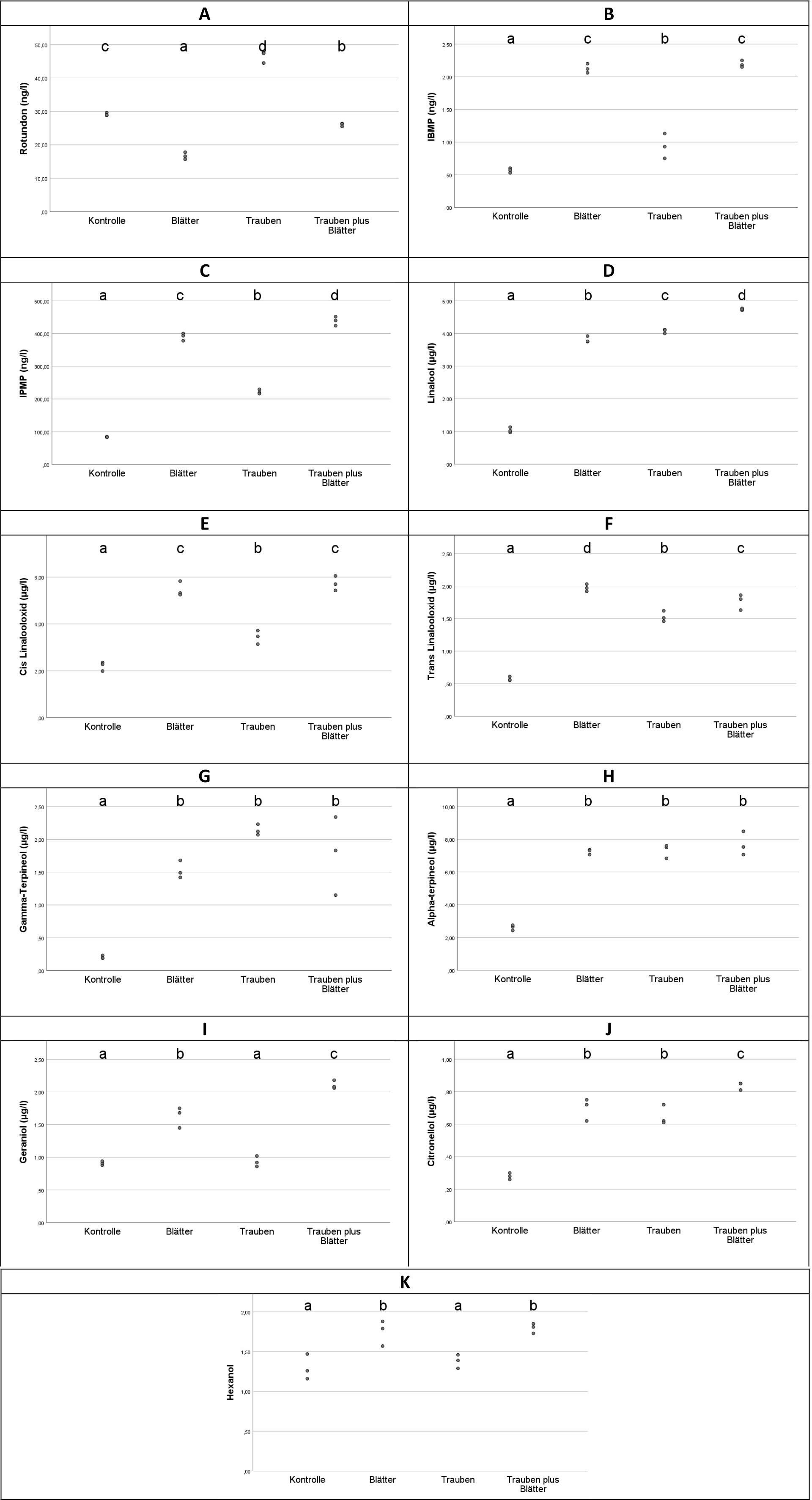
Von den 61 quantifizierbaren Aromastoffen gab es nach der Benjamin-Hochberg-Korrektur 25 signifikante Verbindungen, von denen 11 Primäraromen waren. Die Punktdiagramme dieser primären Aromastoffe sind in Abb. 1 dargestellt. Signifikante Unterschiede werden durch unterschiedliche Buchstaben gekennzeichnet.

Punktdiagramme der signifikanten Primäraromen: A) Rotundon; B) 3-Isobutylmethoxypyrazine; C) 2-Isopropylmethoxypyrazine; D) Linalool; E) cis-Linalooloxid; F) trans-Linalooloxid; G) gamma-Terpeniol; H)alpha Terpeniol; I) Geraniol; J) Citronellol; K) Hexanol: Signifikanzprüfung: Tukey B-Test auf dem Signifikanz-Niveau von 0,05; Benjamin-Hochberg Korrektur, unterschiedliche Buchstaben zeigen signifikante Unterschiede
Der Rotundongehalt wurde durch die Zugabe von Blättern signifikant verringert und durch die Zugabe von Trauben signifikant erhöht; bei der Kombination von Trauben und Blättern addierten sich die beiden Effekte. Capone et al. (2021) zeigten, dass die Zugabe von Blättern den Rotundongehalt von Syrah-Wein nicht signifikant beeinflusste, aber in dieser Studie lag der Blattgehalt auf einem realistischen Niveau für unsortiertes, maschinell geerntetes Lesegut. In der vorliegenden Studie war der Blattzusatz jedoch deutlich höher. Die Erhöhung des Rotundongehalts durch die Zugabe von Trauben lässt sich durch die alkoholische Extraktion von Rotundon aus der Beerenhaut erklären, was analog zu den Ergebnissen bei der Maischegärung ist (Philipp et al., 2024).
Die beiden Methoxypyrazine 3-Isobutylmethoxypyrazin (IBMP) und 2-Isopropylmethoxypyrazin (IPMP) zeigten signifikante Anstiege bei Zugabe von Blättern und/oder Trauben; auch hier addierten sich die Effekte. Dieser signifikante Anstieg wurde von Capone et al. (2021) nicht festgestellt, jedoch lag der Ausgangsgehalt in Syrah-Wein aus Australien unter der Bestimmungsgrenze. Da die Methoxypyrazine in der Beerenhaut vorkommen, war ein Anstieg in der Variante mit Traubenzusatz zu erwarten (Sidhu et al., 2015).
Des weiteren wurden in der aktuellen Studie signifikante Zunahmen der Monoterpene Linalool, cis-Linalool-Oxid, trans-Linalool-Oxid, Gamma-Terpeniol, Alpha-Terpeniol und Geraniol bei der Zugabe von Blättern festgestellt. Bereits eine frühere Studie zeigte, dass Monoterpene eine untergeordnete Rolle bei den Sorteneigenschaften von Grüner Veltliner Weinen spielen (Philipp et al., 2024). Die Erhöhung des Monoterpengehaltes wurde auch von Capone et al. (2021) nachgewiesen. Zum selben Schluss kamen Philipp et al. (2024). Wenn Grüner Veltliner auf der Maische vergoren wird, erhöht sich der Monoterpengehalt deutlich, und somit kann der Anstieg der Monoterpene bei Zugabe von ganzen Trauben in der vorliegenden Studie auf die gleiche Weise bewertet werden.
Interessant ist, dass in dem Versuch von Capone et al. (2021) mit Syrah-Trauben die Indikatoren für grüne, unreife Aromen, die C6-Alkohole, durch den Zusatz von Blättern erhöht wurden. Dieses Ergebnis wurde in der gegenwärtigen Untersuchung für 1-Hexanol bestätigt, nicht jedoch für cis-3-Hexenol, bei dem kein signifikanter Unterschied zwischen den Varianten festgestellt wurde.
Insgesamt wurden von den analysierten Gärungsaromen ein höherer Alkohol, drei Carbonsäuren und zehn Esterverbindungen signifikant durch den Blatt- und oder Traubenzusatz beeinflusst (Abb. 2). Bei Isobutanol zeigte die Kontrollvariante den höchsten Gehalt, während beim Blatt- und/oder Traubenzusatz die Konzentrationen an Isobutanol signifikant geringer ausfielen. Ebenfalls zeigte die Kontrollvariante bei den drei Carbonsäuren Propionsäure, Isobuttersäure und Isovaleriansäure die höchsten Gehalte. Bei Propionsäure und Isovaleriansäure war dieser Unterschied zu den Varianten Trauben und Trauben plus Blätter signifikant. Bei Isobuttersäure waren die Gehalte für Blätter, Trauben und Trauben plus Blätter signifikant geringer als bei der Kontrollvariante. Es gibt in der Literatur dazu keine Vergleichsaussagen für den Blätterzusatz, da Carpone et al. (2021) diese Aromagruppen nicht betrachtet hat. In Bezug auf den Traubenzusatz sind die Ergebnisse dieser Studie in einem erwartenden Spektrum. Bereits früher wurde gezeigt, dass sich durch den Traubenzusatz die Aminosäurespektren der Moste verändern, daher ist auch ein Einfluss auf die Carbonsäuren möglich (Styger et al., 2011). Bei den Estern waren die Unterschiede inhomogen. Während bei Ethylbenzoat, Ethylheptanoat, Ethyllaurat, Ethylpalmiat, Ethylmyristat und Methylmyristat die Gehalte bei der Kontrollvariante am geringsten waren, war das bei Ethylbutanoat, Hexylacetat, Methylisovaleriat und Isobutyloctanoat nicht der Fall. Bei Hexylacetat und Methylisovaleriat war der Gehalt bei der Kontrolle sogar am höchsten. Demnach führte der Zusatz von Blättern bei Ethylbenzoat, Ethylheptanoat, Ethyllaurat, Ethylmyristat und Methylmyristat zu einem signifikanten Anstieg gegenüber der Kontrollvariante. Beim Traubenzusatz war das für Ethylheptanoat, Ethyllaurat, Ethylpalmiat, Ethylmyristat und Methylmyristat zu beobachten. Diese Ergebnisse sind in Bezug auf die Vergärung mit Trauben im Einklang mit den Ergebnissen von Philipp et al. (2024). In dieser Studie, waren ebenfalls partiell durch die Maischegärung einzelne Ester im Gehalt erhöht, während andere Esterverbindungen deutlich reduziert wurden. In Bezug auf den Blattzusatz zeigten Carpone et al. 2021 ein vergleichbares Ergebnis. Ein Großteil der Ester wurde durch den Blattzusatz gar nicht beeinflusst, während die Gehalte anderer durch den Blattzusatz verringert, und die wiederum anderer Verbindungen erhöht wurden. Generell ist es nicht unüblich, dass sich einzelne Ester in unterschiedlichen Konzentrationen bilden. Der Estergehalt wird von sehr vielen Faktoren beeinflusst. Bereits Antalick et al. (2014; 2015) und Philipp et al. 2024 zeigten, dass es beim Estergehalt häufig zu statistisch signifikanten Sorten x Treatment Wechselwirkungen kommt, aus diesem Grund sollten die hier festgestellten signifikanten Unterschiede im Bereich der Ester etwas relativiert gesehen werden.

Punktdiagramme der signifikanten Gärungsaromen: A) Isobutanol; B) Propionsäure; C) Isobuttersäure; D) Isovaleriansäure E) Ethylbenzoat; F) Ethylbutanoat G) Ethylheptanoat; H) Ethyllaurat I) Ethylpalmiat; J) Ethylmyristat; K) Hexylacetat; L) Methylisovaleriat; M) Methylmyristat; N) Isobutyloctanoat: Signifikanzprüfung: Tukey B-Test auf dem Signifikanz-Niveau von 0,05; Benjamin-Hochberg Korrektur, unterschiedliche Buchstaben zeigen signifikante Unterschiede
Abb. 3 ist das Ladungsdiagramm und Abb. 4 das Streudiagramm der Hauptkomponentenanalyse aller analysierten Aromastoffe zu entnehmen. Der Faktor 1 (F1) erklärt 44,09 % der Gesamtvarianz während der Faktor 2 (F2) 22,52 % zu Varianz beiträgt. Im Streudiagramm ist deutlich ersichtlich, dass sich die vier Varianten in der gesamten Zusammensetzung deutlich unterschieden. Die drei Wiederholungen der Kontrolle clusterten im negativen Bereich der x-Achse und im Mittel der y-Achse, während die beiden Varianten Blätter und Trauben vor allem durch den Faktor 2 unterscheidbar sind. Die Traubenproben clusterten im positiven Bereich der y-Achse und im Mittel der x-Achse, während die Blätterproben im negativen Bereich der y-Achse und im Mittel der x-Achse lokalisiert sind. Die Mischvariante Blätter und Trauben clusterte wie zu erwarten im positiven Bereich der x-Achse aber im Mittel der y-Achse. Die signifikanten Aromastoffe (fett gedruckt) trugen entsprechend der Erwartung am stärksten zur Streuung bei. Auffällig ist dabei die Sonderstellung von Rotundon, was eindeutig auf den Traubenzusatz zurückzuführen ist. Ein Großteil der fett gedruckten Verbindungen, die im Bereich der Varianten "Trauben und Blättern" cluster, stehen vor allem für die Unterscheidung zur Kontrollvariante, während Hexanol von den signifikanten Verbindungen am ehesten dem Blattzusatz zuzuordnen ist. Betrachtet man die Ergebnisse genauer, lässt sich ableiten, dass die Gruppe Trans-Linalooloxid, IBMP, IPMP, Geraniol, Ethylbenzoat, Ehtyllaurat Citronelool eher in dem Bereich der Blätter angesiedelt ist, während die Gruppe Ethylheptanoat, Ehtylpalmiat, gamma-Terpeniol, Linalool, alpha-Terpeniol und Methylmyristat eher im Bereich der Trauben zu finden ist. Während Isobutanol, Methylisovalerat und Isobuttersäure sowie Isovaleriansäure laut dem Ladungsdiagramm vorwiegend der Kontroll-Variante zugeordnet werden, liegen die Propionsäure und Hexylacetat im Mittel zwischen Blatt- und Kontrollvariante.

Ladungsdiagramm der Hauptkomponentenanalyse der vier Varianten aller signifikanten und nicht signifikanten Aromastoffe

Streudiagramm der Hauptkomponentenanalyse der vier Varianten
Abb. 5 zeigt das Punktdiagramm der phenolischen Zusammensetzung der vier Varianten. Der F-Wert von 113,267 und eine Signifikanz von a=0,000 belegen einen hoch signifikanten Einfluss der Behandlung auf den Phenolgehalt der Weine. Die Varianten Trauben und Trauben plus Blätter wiesen den signifikant höchsten Gehalt auf, während die Kontrollvariante den signifikant niedrigsten Wert aufwies. Vergleichswerte für den Zusatz von Blättern sind den Autoren nicht bekannt. Die Ergebnisse für den Zusatz von Trauben waren zu erwarten und sind eine Wiederholung der Ergebnisse von Philipp et al. 2024.

Punktdiagramme der Gesamtphenolgehalte: Signifikanzprüfung: Tukey B-Test auf dem Signifikanz-Niveau von 0,05; unterschiedliche Buchstaben zeigen signifikante Unterschiede
Es wurden die Varianten Blattzusatz und/oder Traubenzusatz getestet. Der Blattzusatz brachte, wie bereits in Philipp et al., 2023 gezeigt, in Bezug auf das Rotundon (Abb. 1A) eine unerwünschte Reduktion. Auch hat sich diese Variante durch eine Auslaugung der unerwünschten Methoxypyrazine (Abb. 1B–1C), insbesondere 2-Isopro-pylmehtoxypyrazin, der Auslaugung von 1-Hexanol (Abb. 1K) und der Extraktion von Phenolen (Abb. 5) als ungünstig erwiesen. Es wurden zwar die für die Fruchtigkeit wichtigen Ester (Abb. 2) nur moderat verändert und durch die Auslaugung von gewissen Monoterpenen sogar gewisse positive Aromastoffe (Abb. 1) intensiviert, allerdings kann diese Variante nicht empfohlen werden. Das beruht auch darauf, dass dieses Verfahren nicht explizit erlaubt ist und die Ergebnisse auf keine wesentlichen Vorteile hindeuten. Dasselbe gilt demnach auch für die Variante Blatt- und Traubenzusatz. Die negativen Effekte des Blattzusatzes bestätigten sich bei dieser Kombivariante. Es hat somit keinen Sinn, diese Varianten weiter zu erforschen.
Anders der Traubenzusatz: Hier zeigte sich, dass der Rotundongehalt (Abb. 1A) erhöht werden kann, bei moderater Änderung der Fruchtigkeit. Letzteres ist vor allem hinsichtlich des Vergleichs mit den Varianten volle und partielle Maischegärung aus dem Versuch Philipp et al., 2024, interessant, wo noch sehr deutliche Veränderungen im fruchtigen Charakter festgestellt wurden. Auch kam es bei der Variante Traubenzusatz zu keiner Veränderung im Hexanolgehalt (Abb. 1K) und IBMP, nur IPMP erhöhte sich im Vergleich zur Kontrolle signifikant, wohlgleich signifikant geringer als beim Blattzusatz. Allerdings ist auch diese Variante aufgrund der starken Zunahme an phenolischen Verbindungen (Abb. 5), in dieser Form nicht anzuraten. Weitere Forschungen sind allerdings empfohlen und dazu sollten neben der Variante Traubenzusatz auch ein ausschließlicher Beerenzusatz in Betracht gezogen werden.
Danksagung: Ein besonderer Dank gebührt den Mitarbeitern der Abteilung Weinbau der HBLA und BA Klosterneuburg, insbesondere Herrn Dipl. Ing. Karel Hanak, für die Bereitstellung der Trauben und Blätter für den Versuch. Auch möchte ich mich bei Dr. Stefan Nauer für die Anregung zu diesem Versuch bedanken.