Apricot (Prunus armeniaca L.) is a widely cultivated fruit species belonging to the family Rosaceae, orginating from China and Central Asia, and encompasses over 12 described species. Appreciated for its flavor and aroma, apricot is consumed globally (Ruiz and Egea 2008; Velardo et al., 2021; Milošević et al., 2021). In 2021, global apricot production reached 3,578,841 tons, with Türkiye leading the production with 800,000 tons in the same year, followed by Uzbekistan, Iran and Algeria (FAO, 2023). According to available data, the East Anatolian Region, as a distinct agroecological zone, contributes 53.70 % to Türkiye's apricot production. Notably, Malatya stands out in this region with a production of 303,756 tons in 2022, followed by Iğdır and Elaziğ with 40,844 tons and 29,186 tons respectively. (TUİK, 2023).
The city of Iğdır, situated in the Aras Valley of Eastern Anatolia Region, contributes about 4 % to Türkiye’s apricot production. Roughly, 90 % of the apricots produced in this city are of “Şalak” variety, marketed as table fruit at the end of June and beginning of July. (Doğru Çokran and Karadeniz, 2020). Wild apricot seedlings (Zerdali) are commonly used as a rootstock for the “Şalak” apricot variety, resulting in vigorous growth with a wide and spreading canopy. However, due to the large tree canopy, fruits do not ripen simultaneously during the harvest period, leading to non-uniform fruit quality and reduced marketable yield. Immaturely harvested apricots are prone to wrinkling, water loss, and mechanical damage, while overripe ones are susceptible to softening, deterioration, and reduced shelf life, resulting in economic losses. Fruit harvested too early or too late in the season is more prone to postharvest physiological disorders compared to those harvested at proper ripeness (Kader, 1999).
Previous studies in apple have demonstrated that fruit size, color, dry matter (Kviklys et al., 2022), and ascorbic acid content (Feng et al., 2014) were influenced by the fruit's position in the canopy. Fruit position (main direction) significantly affected fruit weight by about 30 % in sweet cherry (Polyák et al., 2011). The effects of fruit canopy position on quality indices and bioactive compounds in dried apricot varieties Hacihaliloğlu and Kabaaşi, both commercially significant, were examined, revealing quality disparities in the fruits (Karabulut et al., 2018). However, the physical attributes and ripening components were only limitedly investigated in that study.
Hence, the objective of this article was to investigate the effects of the four main directions within the tree canopy on standard quality traits, including fruit size (fruit length, fruit thickness, fruit width, fruit mean diameter, sphericity), fruit weight, seed weight, flesh/seed ratio, flesh thickness, firmness, CIE Lab*, hue, chroma, soluble solid content, titratable acidity, ripening index, pH, and ascorbic acid content in apricot fruit.
The experiment was conducted in a commercial orchard located in Iğdır (865 m, 39°50' N and 44°62' E), in Eastern Anatolia of Türkiye, during 2021-2022. The study material consisted of apricot cultivar “Şalak” grafted onto wild apricot (Zerdali) rootstock, which was planted at a distance of 8 x 8 m in 2013. Due to the square planting system, the orchard rows were oriented both south-north and east-west. A modified central leader training system was adopted for tree management. Conventional practices, including irrigation, pruning, fertilization, and pest control were implemented for orchard maintenance. The apricot variety “Şalak” used in the study is characterized by its elliptical shape, yellow fruit skin and flesh, occasional slight red skin coloration, juicy and well-balanced taste, medium firmness and excellent eating quality (Doğru Çokran and Karadeniz, 2020). Notably, “Şalak” is distinguished by its large fruit size and weight (Fig. 1). Sampling areas for each main direction were determined using a GPS device (Garmin Vista HCx, Taoyuan, Taiwan). Samples were collected from designated sampling area to represent three-dimensional space. The directions of the tree were sampled as indicated by yellow areas in Fig. 2.

Fruit of “Şalak” apricot variety (Doğru Çokran, 2020)

Illustration of sampling area within tree canopy. N; north, W; west, S; south, E; east.
The monthly average humidity, temperature, and precipitation data for the study area during the years 2021 and 2022 are presented in Fig. 3. In 2021, the annual average temperature, humidity and total precipitation were recorded as 14.2 °C, 54.9 % and 193.7 mm, respectively. In 2022, these values were slightly lower, with an annual average of 14.1 °C, humidity of 54.2 %, and total precipitation of 162.8 mm. The experiment was established with seven replicates (n=7), each consisting of one apricot tree per plot, following a completely randomized design. A total of 40 fruits were randomly picked for analysis from each of the seven trees, with 10 fruits from each of the four main directions, for each experimental year. The harvest took place on June 14, 2021, in the first year, and on June 26, 2022 in the second year.

Weather conditions: (a) monthly relative humidity, (b) monthly temperature, and (c) monthly precipitation, in the study years (2021 and 2022)
Fruit and stone weight were measured with an electronic scale (A&D Weighing EJ 610, Taiwan) with an accuracy ± 0.01 g. In the calculation of flesh/stone ratio, the stone weight was subtracted from whole fruit weight, and fruit weight was proportioned to the flesh weight as a percentage
The outer surface color parameters (CIE L* a* b*) of the harvested fruits were measured with a Minelto CR-400 Chroma meter (Konica, Inc. Japan). Here; L*, represents lightness from black (0) to white (100), a* represents the color from green (0) to red (100) and b*, indicates the color from blue (0) to yellow (100) (Gonçalves et al., 2007). Hue° and chroma were calculated using the following formulas; arctan(b*/a*) and
The soluble solid content (SSC) of fruit juice was measured using a portable refractometer (Hanna Instruments, Vöhringen, Germany) at room temperature conditions. Titratable acidity (TA) was determined in prepared fruit juice by titrating with 0.1 N NaOH to pH 8.1. The pH measurement in fruit juice was conducted using a portable pH meter (Jenco Instruments Inc., San Diego, USA). The SSC/Titratable ratio was utilized to determine the ripening index in the fruit samples. The ascorbic acid content of the fruits was measured with a reflectometer (RQflex 10 plus, Merck, Germany) using a 25–450 mg L−1 measuring ranges for ascorbic acid. The method involves reducing yellow molybdophosphoric acid to molybdenum blue by the action of ascorbic acid. The results were expressed as mg 100 g-1. (Balık et al., 2023). All measurements were done triplicate.
Two-way ANOVA, Principal component analyses (PCA), and a biplot PCA design were performed using JMP 17 software package (Trial, JMP Statisical Discovery LLC, North Carolina, USA). When the F test was significant, means were compared using the Fishers’s Least Significant test at p ≤ 0.05. The R studio corrplot package (Wei and Simko, 2017) was utilized to determine Person’s rank correlation matrix (p ≤ 0.05) for the studied traits.
Fruit size is an important quality criterion expressed by fruit width, length and thickness, affecting consumer preferences in table apricot varieties. During the two years of the current study (Tab. 1), fruit width, length, geometric mean diameter, and flesh thickness were significantly affected by the directions within the tree canopy, while fruit thickness and sphericity showed no significant differences among directions. The maximum values of fruit width, length, geometric mean diameter, and flesh thickness were obtained from the south side, measuring 44.68 mm, 53.49 mm, 46.66 mm and 12.94 mm, respectively, while the lowest values of these parameters was observed on the west and north sides. The effect of the years on these traits, except for flesh thickness, was statistically significant, with the year of 2022 yielding the highest values. Years x directions interaction was only significant in sphericity (Fig. 4).
Average of fruit size (dimension), geometric mean diameter, sphericity and flesh thickness (2021–2022)
| Directions | Years | Fruit width (mm) | Fruit length (mm) | Fruit thickness (mm) | Geometric mean diameter (mm) | Sphericity | Flesh thickness (mm) |
|---|---|---|---|---|---|---|---|
| East | 44.25 ab | 52.80 b | 42.29 a | 46.22 ab | 0.88 a | 12.60 b | |
| West | 43.97 b | 52.66 b | 41.94 a | 45.94 b | 0.87 a | 12.48 b | |
| North | 43.70 b | 52.39 b | 41.94 a | 45.78 b | 0.87 a | 12.48 b | |
| South | 44.68 a | 53.49 a | 42.56 a | 46.66 a | 0.87 a | 12.94 a | |
| 2021 | 43.14 b | 52.46 b | 40.35 b | 45.02 b | 0.86 b | 12.92 a | |
| 2022 | 45.16 a | 53.21 a | 44.02 a | 47.28 a | 0.89 a | 12.33 a | |
| Directions | 4.35** | 4.36** | 2.36ns | 4.31** | 0.56ns | 6.43*** | |
| Years | 100.83*** | 11.10*** | 356.49*** | 147.21*** | 236.90*** | 47.18*** | |
| Directions x Years | 0.065ns | 0.185ns | 0.714ns | 0.962ns | 4.17** | 0.43ns | |
Different letters in the same column indicate significantly different values according to Fisher’s LSD test (p ≤ 0.05),
significant at p < 0.01,
significant at p < 0.001, ns: not significant.
For “Şalak” apricot variety, the findings of this study regarding fruit size (length, width, and thickness) and flesh thickness were in line with those documented by Pehluvan et al. (2021), Doğru Çokran (2020), Gülsoy et al. (2016), and Mashhadi and Khadivi (2022). However, the sphericity values of the fruits were lower than those reported by Altikat and Temiz (2019).
The effect of the directions on the fruit weight, the flesh/stone ratio and the fruit firmness were found to be significantly different, but the stone weight showed no significant difference (Tab. 2). The south direction exhibited the highest fruit weight at 55.43 g, whereas the other directions showed lower levels within the same statistical group. The highest value of the flesh/stone ratio was obtained from the east side and the south side with 96.43 and 96.41, respectively. The highest firmness value was observed on the north side, measuring 5.79 kg/cm2, whereas the lowest value was recorded on the south side (4.16 kg/cm2). The examined parameters were significantly influenced by years, as indicated in Tab. 2. The highest fruit and stone weight were recorded in the year 2022, while the highest flesh/stone ratio and the highest firmness were observed in the year 2021. The interaction between years and directions was significant only for fruit firmness (Fig. 4).
Average of fruit and stone weight, flesh/stone ratio and fruit firmness (2021-2022)
| Directions | Years | Fruit weight (g) | Stone weight (g) | Flesh/stone ratio (%) | Fruit firmness (kg/cm2) |
|---|---|---|---|---|---|
| East | 53.59 b | 1.90 a | 96.43 a | 4.78 c | |
| West | 52.88 b | 1.95 a | 96.27 b | 5.30 b | |
| North | 51.92 b | 1.96 a | 96.21 b | 5.79 a | |
| South | 55.43 a | 1.96 a | 96.41 a | 4.16 d | |
| 2021 | 43.36 b | 1.62 b | 96.60 a | 5.60 a | |
| 2022 | 58.55 a | 2.27 a | 96.07 b | 4.42 b | |
| Directions | 5.33*** | 2.14ns | 4.56*** | 36.48*** | |
| Years | 250.84*** | 905.57*** | 106.65*** | 103.10*** | |
| Directions x Years | 0.40ns | 0.52ns | 1.01ns | 12.76*** |
Different letters in the same column indicate significantly different values according to Fisher’s LSD test (p ≤ 0.05),
significant at p < 0.001, ns: not significant.

Interaction of directions x years for fruit sphericity (a) and fruit firmness (b). Different letters in the related visuals indicate significant differences according to the LSD test (p≤0.05).
Fruit weight, stone weight and flesh/stone ratio in the present study were consistent with the findings reported by Muradoğlu et al. (2011) and Doğru Çokran (2020). Fruit firmness of “Şalak” cultivar was previously determined to be 5.13 kg/cm2 under Malatya ecological conditions (Karaat, 2018), and the present data obtained in this study were comparable to these results.
The L*, a* and hue° values of the fruit were significantly affected by the directions. However, the effect of the directions on b* and chroma was not significant (Tab. 3). Compared to the other directions, the fruits on the south side of the tree canopy exhibited a lower L* value of 78.36. Fruits on the east, west and north sides of the canopy were grouped statistically similarly, with values of 81.57, 80.91 and 81.07, respectively. Although the fruit on the east side displayed the highest redness (a*) with a value of 5.45, the fruit on the west side exhibited the lowest redness with a value of 2.63. Fruits in the eastern direction within canopy may have accumulated more anthocyanins because the daily temperature was lower in the early morning when fruits were the first exposed to the sun. Previously, Jakopic et al. (2009) and Awad et al. (2001) reported that apple peel from the sunexposed outer canopy had higher anthocyanin concentrations than inner canopy fruit. In the present work, the highest hue angle value at 85.31 was observed in the fruits on the north side, while the lowest hue angle value was 82.83 in fruits on the east side. All colour parameters studied were significantly affected by the years. Fruits in 2021 were observed to be more yellow (b* and hueo) and brighter (L*) than those in 2022, whereas fruits in 2022 were redder (a*) and had higher chroma values than those in 2021. Except for chroma, the year x direction interaction was found to be significant for the colour parameters examined (Fig. 5). Hakgüder Taze and Ünlütürk (2018) reported that the L*, a*, and b* values in the apricot cultivar "Şalak" were 65.53, 4.93, and 42.34, respectively. Apart from L* value, the a*, b*, hueo and chroma values in the present study were consistent with the reseachers’ findings above.
Average of fruit colour parameters according to CIE L* a*b* (2021-2022)
| Directions | Years | L* | a* | b* | Hue° | Chroma |
|---|---|---|---|---|---|---|
| East | 81.57 a | 5.45 a | 46.47 a | 82.83 c | 47.02 a | |
| West | 80.91 a | 2.63 c | 43.26 a | 84.74 ab | 43.53 a | |
| North | 81.07 a | 3.54 bc | 46.88 a | 85.31 a | 47.20 a | |
| South | 78.36 b | 4.16 b | 44.09 a | 83.81 bc | 44.47 a | |
| 2021 | 83.21 a | 2.39 b | 40.92 a | 85.63 a | 41.05 b | |
| 2022 | 77.74 b | 5.50 a | 49.43 b | 82.71 b | 50.06 a | |
| Directions | 3.54** | 12.37*** | 2.13ns | 7.52*** | 2.30ns | |
| Years | 50.93*** | 85.96*** | 48.91*** | 54.08*** | 55.34*** | |
| Directions x Years | 3.61** | 6.85*** | 2.62* | 4.78*** | 2.42ns |
Different letters in the same column indicate significantly different values according to Fisher’s LSD test (p ≤ 0.05),
significant at p < 0.01,
significant at p < 0.001, ns: not significant.

Interaction of directions x years for L* (a), a* (b), b* (c) and hue angle value (d). Different letters in the related visuals indicate significant differences according to the LSD test (p≤0.05).
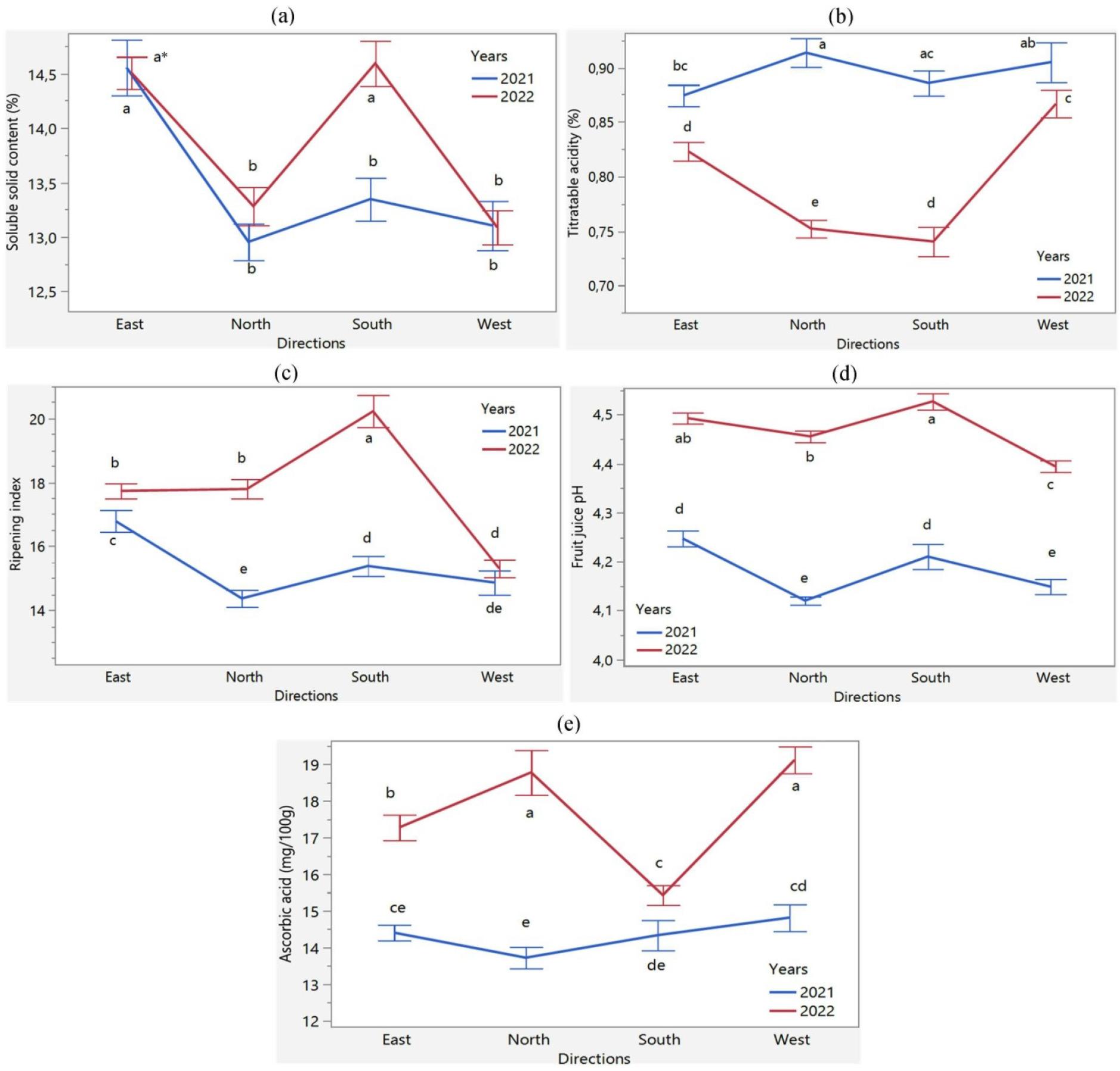
Apricot fruits situated in four primary directions within the tree canopy exhibited significant differences in all chemical traits examined. (Tab. 4). The east side recorded the highest SSC at 14.53 %, while the west side and the north side fell within the same statistical group, displaying the lowest SSC values at 13.10 % and 13.12 %, respectively.
Average of some chemical features in cv. “Şalak” fruit (2021-2022)
| Directions | Years | Soluble solid content (%) | Titratable acidity (g 100 g-1) | Ripening index | Fruit juice pH | Ascorbic acid (mg 100 g-1) |
|---|---|---|---|---|---|---|
| East | 14.53 a | 0.85 b | 17.26 a | 4.37 a | 15.84 b | |
| West | 13.10 c | 0.89 a | 15.03 c | 4.27 b | 16.97 a | |
| North | 13.12 c | 0.83 bc | 16.08 b | 4.29 b | 16.25 ab | |
| South | 13.97 b | 0.81 c | 17.80 a | 4.37 a | 14.88 c | |
| 2021 | 13.49 b | 0.89 a | 15.35 b | 4.18 b | 14.31 b | |
| 2022 | 13.87 a | 0.80 b | 17.76 a | 4.47 a | 17.66 a | |
| Directions | 25.61*** | 12.50*** | 26.15*** | 22.66*** | 10.65*** | |
| Years | 7.44* | 129.36*** | 102.80*** | 680.72*** | 156.14*** | |
| Directions x Years | 4.78** | 13.19*** | 19.09*** | 4.64*** | 10.73*** |
Different letters in the same column indicate significantly different values according to Fisher’s LSD test (p ≤ 0.05),
significant at p < 0.05,
significant at p < 0.01,
significant at p < 0.001, ns: not significant.
Based on directions, titratable acidity varied from 0.81 % (south) to 0.89 % (west). The highest ripening index was observed on the east (17.26) and south (17.80) sides, both falling within the same statistical group, whereas the lowest ripening index was noted on the west side (15.03). Fruit on the east and west sides exhibited the highest pH value, at the same score (4.37), within the same statistical group, while those on the west and north sides displayed the lowest pH values at 4.27 and 4.29, respectively. The ascorbic acid content ranged from 14.88 mg 100 g-1 to 16.97 mg 100 g-1, with fruits on the west side showing a higher content compared to those on the other sides. The years significantly influenced all studied chemical parameters. The SSC, ripening index, pH, and ascorbic acid content were higher in 2022 than in 2021, whereas higher titratable acidity was observed in 2021 compared to 2022. The interaction between years and directions for all examined chemical parameters was found to be significant (Fig. 6). According to Özyörük and Güleryüz (1992), the SSC, titratable acidity and ascorbic acid content of 'Şalak' variety were reported to be 13.50 %, 0.92 g 100 g-1 and 15.4 mg 100 g-1, respectively. The pH value of the same variety was found to be in the range of 4.46 to 4.81 (Doğru Çokran et al., 2015). Our findings were consistent with those of these researchers.
Fruits located on the east and south sides within the tree canopy were observed to be larger in size and more ripe compared to the other sides. This could be attributed to the angle of sunlight incidence and the associated temperature conditions. Corelli et al. (2004) noted that fruit growth proportions were correlated with temperature conditions. Due to higher irradiance, the east and south sides experienced elevated temperatures compared to the north and west sides, promoting faster fruit development and resulting in larger fruit size and weight at harvest. The impact of the years on the parameters examined in this study was significant, with traits generally higher in 2022 compared to 2021. This may be attributed to climatic variations between April, when the fertilised ovary develops, and July, when the harvest concludes. As depicted in Fig. 3, relative humidity and precipitation between April and July were higher in 2022 than in 2021.

Interaction of directions x years for soluble solid content (a), acidity (b), ripening index (c), pH (d) and ascorbic acid (e). Different letters in the related visuals indicate significant differences according to the LSD test (p≤0.05).
The physical characteristics of the fruit (fruit dimension, geometric mean diameter, and stone and fruit weight) were found to be significantly correlated with each other (Fig. 7). Similar relationships were previously described by Biondi et al. (1991). In the present study, sphericity was observed to have a negative and slight correlation with fruit length, while the flesh/stone ratio exhibited a negative correlation with stone weight. Fruit firmness correlated significantly with fruit size (dimensions, geometric mean diameter, and sphericity), fruit weight and stone weight, albeit only slightly, correlated negatively. A positive correlation was found between the ripening index and soluble solid content, while a negative correlation was found between the ripening index and titratable acidity. Similar relationships were reported by Milošević et al. (2021). In this study, a significant, negative and moderate correlation was observed between hueo and a*, while a significant, positive, and strong correlation was found between chroma and b*.
According to the PCA analysis, the first two principal components (PC) accounted for 45.3 % of the total variation in the present study. The variation rate and eigenvalues were determined to be 30.20 % and 6.02 for PC1, and 15.10 % and 3.02 for PC2, respectively. In a biplot PCA projection, four main directions and two years were visually separated (Fig. 8). This projection revealed that in the year2022, there were higher levels of ascorbic acid content, sphericity, stone weight, pH, ripening index, and a* value, whereas in 2021, a higher titratable acid content was observed for cv. “Şalak”. Furthermore, the south direction exhibited higher fruit length, fruit width, fruit thickness, geometric mean diameter, fruit weight and soluble solids content. Conversely, the north direction displayed higher fruit firmness, hueo and L* values for cv. “Şalak”.

Pearson’s rank correlation among 20 studied variables. W; fruit width, L; fruit length, T; fruit thickness, Dg; geometric mean diameter, S; sphericity, FT; flesh thickness, FW; fruit weight, SW; stone weight, F/S; flesh/stone ratio, FF; fruit firmness, SSC; soluble solid content, TA; titratable acidity, RI; ripening index, AA; ascorbic acid, H; hue°, C; chroma

PCA analysis and biplot design illustration for relation direction, years and 20 studied traits. W; fruit width, L; fruit length, T; fruit thickness, Dg; geometric mean diameter, S; sphericity, FT; flesh thickness, FW; fruit weight, SW; stone weight, F/S; flesh/stone ratio, FF; fruit firmness, SSC; soluble solid content, TA; titratable acidity, RI; ripening index, AA; ascorbic acid, H; hue°, C; chroma
In both years, as well as based on the two-year averages, the effect of main directions on the standard quality traits of apricot was found to be significant. Apricot fruits’ positioning within the tree canopy showed quality differences depending on the directions. Generally, fruits located on the east and south sides were observed to be larger in size, heavier in mass, riper, with higher soluble solid content, higher pH, and lower ascorbic acid content compared to those on the west and north sides. The study indicated that ripening and fruit quality components in the cv. “Şalak” were not uniform. Therefore, it is necessary to develop new harvesting strategies for the “Şalak” apricot variety. The most important step is to harvest the orchards several times instead of once and to prioritize evaluation of the eastern and southern directions where ripening starts first.