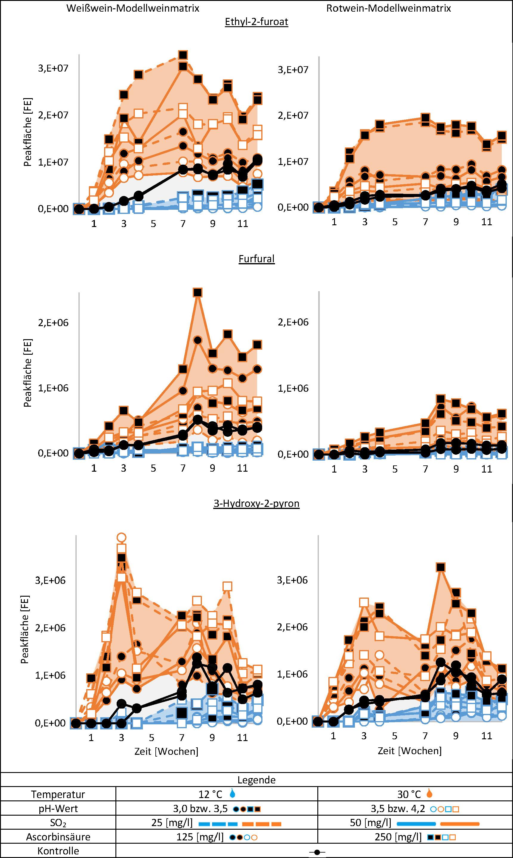
Abb. 1:

Abb. 2:

Abb. 3:

Abb. 4:

Abb. 5:

Abb. 6:

Abb. 7:

Abb. 8:

Einstellungsparameter für die HS-SPME-GC-MS-Analyse
| SPME | |
| Faser | Carbon WR/PDMS - 95/10 |
| Faser Konditionierung | 250 °C |
| Prä-Konditionierung | 10.00 min |
| Post-Konditionierung | 1.00 min |
| Nadelspülfluss | 0.8 bar |
| Proben-Inkubation | 5.00 min. 50 °C |
| HS-Extraktion | 45.00 min. 50 °C |
| Agitator | ein: 5 s, aus: 2 s |
| Desorption | 10.00min. 250 °C |
| GC | |
| Säulenfluss | 2 ml/min |
| Trägergas | Helium |
| Injektor | 250 °C |
| Split | 50 ml/min @1.00 min. |
| Gas Saver | 20 ml/min @14.00 min. |
| Ofen Temperatur-Programm | 40 °C/3.00 min. - 5 °C/min/175 °C/0.00 min. - 8 °C/min./200 °C/10.00 min. |
| MS | |
| Elektronenenergie | 70 eV |
| Transferline | 220 °C |
| Ionenquelle | 200 °C |
| Solvent Delay | 14.00 min. |
| Scan Modus | 14.20 - 40.00 min. |
| Scan m/z | 38-250 amu |
| Scan Time | 0.2 s |
| Inter-Scan Delay | 0.025 s |
Statistische Datenauswertung nach einem Screening Design der Relevanz der vier Parameter auf die Bildung der Ascorbinsäure-Degradationsprodukte in den Rotwein-Modellwein-Lösungen nach acht Wochen
| Rotwein | |||||
|---|---|---|---|---|---|
| Ethyl-2-furoat | |||||
| Source | DF | Sum of squares/Mean squares | F | Pr > F | p-values signification codes |
| pH | 1,000 | 1,11E+14 | 52,781 | 0,001 | *** |
| [°C] | 1,000 | 1,70E+14 | 81,228 | 0,000 | *** |
| SO2 | 1,000 | 5,23E+10 | 0,025 | 0,881 | ° |
| Ascorbinsäure | 1,000 | 4,91E+13 | 23,428 | 0,005 | ** |
| Furfural | |||||
| pH | 1,000 | 2,11E+11 | 18,918 | 0,007 | ** |
| [°C] | 1,000 | 5,67E+11 | 50,829 | 0,001 | *** |
| SO2 | 1,000 | 2,46E+10 | 2,205 | 0,198 | ° |
| Ascorbinsäure | 1,000 | 5,05E+10 | 4,525 | 0,087 | . |
| 3-Hydroxy-2-pyron | |||||
| pH | 1,000 | 3,26E+11 | 3,961 | 0,103 | ° |
| [°C] | 1,000 | 6,15E+12 | 74,651 | 0,000 | *** |
| SO2 | 1,000 | 3,86E+11 | 4,684 | 0,083 | . |
| Ascorbinsäure | 1,000 | 2,11E+12 | 25,547 | 0,004 | ** |
| Signification codes: 0 < *** < 0.001 < ** < 0.01 < * < 0.05 < . < 0.1 < ° < 1 | |||||
Design of Experiments Screening Design mit den vier Parametern Temperatur, pH-Wert, SO2- und Ascorbinsäure-Konzentration
| pH-Wert | Temperatur [°C] | Schwefeldioxid [mg/l] | Ascorbinsäure [mg/l] | |
|---|---|---|---|---|
| Weiß-/Roséwein-Modellweinmatrix | ||||
| 1 | 3,00 | 12,0 | 25,0 | 125,0 |
| 2 | 3,50 | 12,0 | 25,0 | 125,0 |
| 3 | 3,00 | 30,0 | 25,0 | 125,0 |
| 4 | 3,50 | 30,0 | 25,0 | 125,0 |
| 5 | 3,00 | 12,0 | 50,0 | 125,0 |
| 6 | 3,50 | 12,0 | 50,0 | 125,0 |
| 7 | 3,00 | 30,0 | 50,0 | 125,0 |
| 8 | 3,50 | 30,0 | 50,0 | 125,0 |
| 9 | 3,00 | 12,0 | 25,0 | 250,0 |
| 10 | 3,50 | 12,0 | 25,0 | 250,0 |
| 11 | 3,00 | 30,0 | 25,0 | 250,0 |
| 12 | 3,50 | 30,0 | 25,0 | 250,0 |
| 13 | 3,00 | 12,0 | 50,0 | 250,0 |
| 14 | 3,50 | 12,0 | 50,0 | 250,0 |
| 15 | 3,00 | 30,0 | 50,0 | 250,0 |
| 16 | 3,50 | 30,0 | 50,0 | 250,0 |
| 17 | 3,25 | 21,0 | 37,5 | 187,5 |
| 18 | 3,25 | 21,0 | 37,5 | 187,5 |
| Rotwein-Modellweinmatrix | ||||
| 19 | 3,50 | 12,0 | 25,0 | 125,0 |
| 20 | 4,20 | 12,0 | 25,0 | 125,0 |
| 21 | 3,50 | 30,0 | 25,0 | 125,0 |
| 22 | 4,20 | 30,0 | 25,0 | 125,0 |
| 23 | 3,50 | 12,0 | 50,0 | 125,0 |
| 24 | 4,20 | 12,0 | 50,0 | 125,0 |
| 25 | 3,50 | 30,0 | 50,0 | 125,0 |
| 26 | 4,20 | 30,0 | 50,0 | 125,0 |
| 27 | 3,50 | 12,0 | 25,0 | 250,0 |
| 28 | 4,20 | 12,0 | 25,0 | 250,0 |
| 29 | 3,50 | 30,0 | 25,0 | 250,0 |
| 30 | 4,20 | 30,0 | 25,0 | 250,0 |
| 31 | 3,50 | 12,0 | 50,0 | 250,0 |
| 32 | 4,20 | 12,0 | 50,0 | 250,0 |
| 33 | 3,50 | 30,0 | 50,0 | 250,0 |
| 34 | 4,20 | 30,0 | 50,0 | 250,0 |
| 35 | 3,85 | 21,0 | 37,5 | 187,5 |
| 36 | 3,85 | 21,0 | 37,5 | 187,5 |
Statistische Datenauswertung nach einem Screening Design der Relevanz der vier Parameter auf die Bildung der Ascorbinsäure-Degradationsprodukte in den Weißwein-Modellwein-Lösungen nach acht Wochen
| Weißwein | |||||
|---|---|---|---|---|---|
| Ethyl-2-furoat | |||||
| Source | DF | Sum of squares/Mean squares | F | Pr > F | p-values signification codes |
| pH | 1,000 | 7,07E+13 | 16,247 | 0,010 | * |
| [°C] | 1,000 | 9,09E+14 | 208,860 | <0,0001 | *** |
| SO2 | 1,000 | 1,42E+13 | 3,256 | 0,131 | ° |
| Ascorbinsäure | 1,000 | 1,46E+14 | 33,538 | 0,002 | ** |
| Furfural | |||||
| pH | 1,000 | 6,14E+11 | 11,405 | 0,020 | * |
| [°C] | 1,000 | 4,21E+12 | 78,233 | 0,000 | *** |
| SO2 | 1,000 | 7,97E+11 | 14,817 | 0,012 | * |
| Ascorbinsäure | 1,000 | 1,24E+11 | 2,302 | 0,190 | ° |
| 3-Hydroxy-2-pyron | |||||
| pH | 1,000 | 3,17E+10 | 0,351 | 0,579 | ° |
| [°C] | 1,000 | 1,28E+13 | 141,556 | <0,0001 | *** |
| SO2 | 1,000 | 1,15E+11 | 1,277 | 0,310 | ° |
| Ascorbinsäure | 1,000 | 5,66E+11 | 6,274 | 0,054 | . |
| Signification codes: 0 < *** < 0.001 < ** < 0.01 < * < 0.05 < . < 0.1 < ° < 1 | |||||
Chromatographische und massenspektrometrische Charakteristika der Degradationsprodukte der Ascorbinsäure in der GC/MS-Analyse
| Verbindung | m/z | Kovats-Index (polare Säule, Temperaturprogramm) | Retentionszeit [min] |
|---|---|---|---|
| Furfural | 95 + 96 | 1425-1486 | 15,3 |
| Ethyl-2-furoat | 95 + 112 + 140 | 1612-1624 | 19,2 |
| 3-Hydroxy-2-pyron | 55 + 84 + 112 | 1965-1997 | 27,1 |