Figure 1.

Figure 2.

Figure 3.

Figure 4.

Figure 5.

Figure 6.

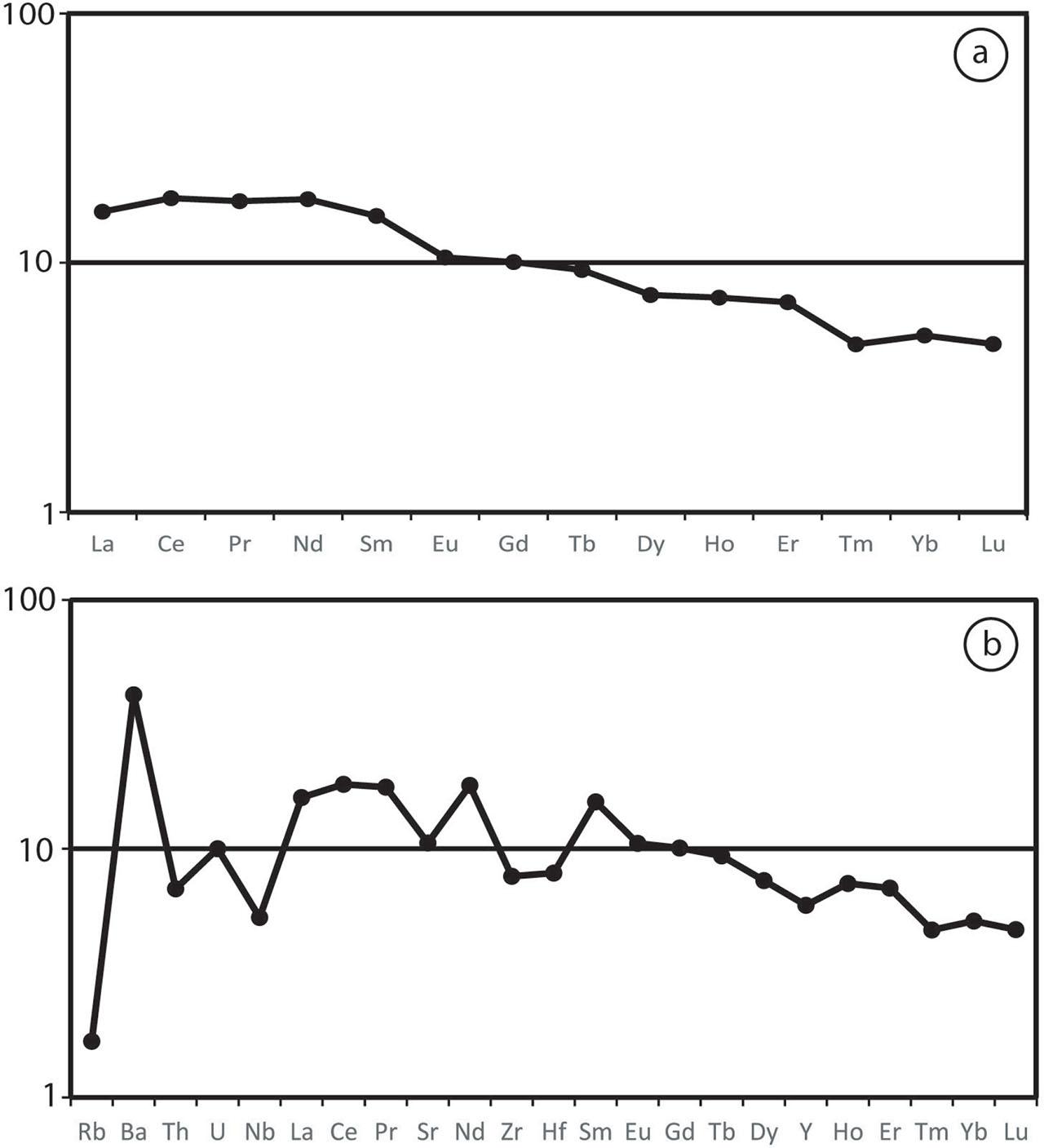
Figure 7.

Figure 8.

Representative EMPA of phlogopite and amphibole (wt_ %)_
| Phlogopite | Amphibole | ||||||||||
|---|---|---|---|---|---|---|---|---|---|---|---|
| SiO2 | 38.93 | 39.62 | 39.32 | 39.48 | 39.16 | 38.91 | 39.53 | 38.8 | 44.75 | 45.58 | 44.20 |
| TiO2 | 3.56 | 3.61 | 3.58 | 3.61 | 3.67 | 3.69 | 3.56 | 3.56 | 1.81 | 1.64 | 1.65 |
| Al2O3 | 14.03 | 13.93 | 13.7 | 14.01 | 14.04 | 14.07 | 13.73 | 14.11 | 11.49 | 10.52 | 11.25 |
| FeO | 6.05 | 5.96 | 6.12 | 6.02 | 6.23 | 5.92 | 6.11 | 6.08 | 6.43 | 6.19 | 6.39 |
| MnO | 0.02 | 0.04 | b.d.l | 0.04 | 0.02 | 0.03 | 0.02 | 0.06 | 0.13 | 0.09 | 0.1 |
| MgO | 20.59 | 21.27 | 20.75 | 20.97 | 20.6 | 20.47 | 20.83 | 20.46 | 16.53 | 17.35 | 16.96 |
| CaO | b.d.l | b.d.l | 0.01 | 0.01 | b.d.l | 0.01 | 0.02 | b.d.l | 11.78 | 11.7 | 11.85 |
| Na2O | 0.57 | 0.56 | 0.55 | 0.57 | 0.58 | 0.59 | 0.57 | 0.57 | 1.81 | 1.75 | 1.79 |
| K2O | 9.61 | 9.57 | 9.67 | 9.55 | 9.51 | 9.42 | 9.56 | 9.49 | 1.71 | 1.57 | 1.64 |
| F | 2.95 | 3.04 | 2.95 | 3.14 | 2.79 | 3.00 | 2.65 | 2.87 | n.a | 1.50 | n.a |
| Cl | n.a | n.a | n.a | n.a | n.a | n.a | n.a | n.a | 0.02 | 0.02 | 0.02 |
| BaO | 0.37 | 0.39 | 0.36 | 0.39 | 0.38 | 0.43 | 0.33 | 0.36 | n.a | n.a | n.a |
| Total | 96.67 | 98 | 97.03 | 97.8 | 96.99 | 96.54 | 96.92 | 96.36 | 96.45 | 97.91 | 95.85 |
| Si(a.p.f.u) | 5.69 | 5.71 | 5.73 | 5.71 | 5.70 | 5.69 | 5.74 | 5.69 | 6.51 | 6.61 | 6.48 |
| Ti | 0.39 | 0.39 | 0.39 | 0.39 | 0.40 | 0.41 | 0.39 | 0.39 | 0.20 | 0.18 | 0.18 |
| Al | 2.42 | 2.37 | 2.35 | 2.39 | 2.41 | 2.43 | 2.35 | 2.44 | 1.98 | 1.80 | 1.94 |
| AlVI | 0.48 | 0.41 | 0.42 | ||||||||
| AlIV | 1.49 | 1.39 | 1.52 | ||||||||
| Fe2+ | 0.74 | 0.72 | 0.75 | 0.73 | 0.76 | 0.72 | 0.74 | 0.74 | 0.78 | 0.75 | 0.78 |
| Mn | 0.02 | 0.01 | 0.01 | ||||||||
| Mg | 4.49 | 4.57 | 4.51 | 4.52 | 4.47 | 4.47 | 4.51 | 4.47 | 3.59 | 3.75 | 3.71 |
| Ca | 1.84 | 0.82 | 1.86 | ||||||||
| Na | 0.16 | 0.16 | 0.16 | 0.16 | 0.16 | 0.17 | 0.16 | 0.16 | 0.51 | 0.49 | 0.51 |
| Na (M4) | 0.11 | 0.08 | 0.04 | ||||||||
| Na (A) | 0.41 | 0.41 | 0.47 | ||||||||
| K | 1.79 | 1.76 | 1.80 | 1.76 | 1.77 | 1.76 | 1.77 | 1.77 | 0.32 | 0.29 | 0.31 |
| F | 1.36 | 1.39 | 1.36 | 1.44 | 1.29 | 1.39 | 1.21 | 1.33 | |||
| Mg# | 0.86 | 0.86 | 0.86 | 0.86 | 0.86 | 0.86 | 0.86 | 0.86 | 0.82 | 0.83 | 0.83 |
| Na + K | 1.95 | 1.92 | 1.96 | 1.92 | 1.93 | 1.93 | 1.93 | 1.93 | 0.83 | 0.78 | 0.83 |
Representative EMPA of rutile and iron oxide (wt_%)
| Rutile | Iron oxide | ||
|---|---|---|---|
| SiO2 | 0.09 | 0.07 | 0.04 |
| TiO2 | 96.73 | 98.97 | b.d.l |
| Al2O3 | 0.18 | 0.05 | b.d.l |
| Cr2O3 | 0.94 | b.d,l | 0.02 |
| Nb2O5 | 0.15 | 0.28 | b.d.l |
| FeO | 0.74 | 0.65 | 90.50 |
| MnO | b.d.l. | b.d.l | 0.03 |
| CaO | 0.58 | 0.02 | 0.01 |
| NiO | 0.03 | b.d.l | 0.14 |
| ZnO | 0.01 | 0.02 | 0.03 |
| V2O3 | 0.21 | 0.02 | b.d.l |
| Total | 99.65 | 100.09 | 90.78 |
| Si (a.p.f.u) | 0.001 | 0.001 | |
| Ti | 0.980 | 0.993 | |
| Al | 0.003 | 0.001 | |
| Cr | 0.010 | b.d.l | |
| Nb | 0.001 | 0.002 | |
| Fe2+ | 0.008 | 0.007 | |
| Ca | 0.008 | b.d.l. | |
Representative EMPA of pyroxene (wt_%)_
| cpx | ||||||||||||||
| SiO2 | 52.53 | 51.34 | 51.01 | 51.73 | 52.42 | 51.58 | 51.44 | 51.41 | 51.5 | 52.16 | ||||
| TiO2 | 0.35 | 0.48 | 0.50 | 0.40 | 0.37 | 0.47 | 0.4 | 0.49 | 0.56 | 0.46 | ||||
| Al2O3 | 3.07 | 4.05 | 4.21 | 3.54 | 3.22 | 3.95 | 3.66 | 4.16 | 4.5 | 3.98 | ||||
| Cr2O3 | 0.31 | 0.38 | 0.4 | 0.38 | 0.32 | 0.40 | 0.38 | 0.40 | 0.39 | 0.40 | ||||
| FeO | 5.63 | 5.38 | 5.37 | 5.46 | 5.47 | 5.53 | 5.56 | 5.49 | 5.53 | 5.53 | ||||
| MnO | 0.16 | 0.11 | 0.17 | 0.16 | 0.17 | 0.13 | 0.16 | 0.15 | 0.14 | 0.12 | ||||
| MgO | 15.47 | 14.97 | 14.85 | 15.28 | 15.42 | 14.95 | 15.04 | 14.85 | 14.68 | 14.95 | ||||
| CaO | 22.00 | 22.08 | 21.96 | 21.95 | 21.82 | 21.91 | 21.99 | 21.97 | 21.8 | 21.94 | ||||
| Na2O | 0.45 | 0.49 | 0.48 | 0.48 | 0.45 | 0.5 | 0.44 | 0.51 | 0.53 | 0.48 | ||||
| NiO | 0.01 | 0.01 | 0.02 | b.d.l | 0.04 | 0.02 | 0.01 | 0.01 | 0.02 | 0.01 | ||||
| Total | 99.98 | 99.28 | 98.98 | 99.39 | 99.71 | 99.44 | 99.08 | 99.44 | 99.64 | 100.04 | ||||
| Si (a.p.f.u) | 1.93 | 1.9 | 1.89 | 1.91 | 1.93 | 1.9 | 1.91 | 1.9 | 1.9 | 1.91 | ||||
| Ti | 0.01 | 0.01 | 0.01 | 0.01 | 0.01 | 0.01 | 0.01 | 0.01 | 0.02 | 0.01 | ||||
| Al | 0.13 | 0.18 | 0.18 | 0.15 | 0.14 | 0.17 | 0.16 | 0.18 | 0.20 | 0.17 | ||||
| Cr | 0.01 | 0.01 | 0.01 | 0.01 | 0.01 | 0.01 | 0.01 | 0.01 | 0.01 | 0.01 | ||||
| Fe3+ | 0.01 | 0.03 | 0.03 | 0.03 | 0.02 | 0.03 | 0.02 | |||||||
| Fe2+ | 0.16 | 0.14 | 0.14 | 0.14 | 0.16 | 0.15 | 0.14 | 0.15 | 0.17 | 0.17 | ||||
| Mn | 0.01 | 0.01 | 0.01 | |||||||||||
| Mg | 0.85 | 0.82 | 0.82 | 0.84 | 0.85 | 0.82 | 0.83 | 0.82 | 0.81 | 0.82 | ||||
| Ca | 0.87 | 0.87 | 0.87 | 0.87 | 0.86 | 0.87 | 0.87 | 0.87 | 0.86 | 0.86 | ||||
| Na | 0.03 | 0.04 | 0.03 | 0.03 | 0.03 | 0.04 | 0.03 | 0.04 | 0.04 | 0.03 | ||||
| Mg# | 0.84 | 0.86 | 0.86 | 0.86 | 0.84 | 0.84 | 0.85 | 0.85 | 0.83 | 0.83 | ||||
| AlVI | 0.06 | 0.07 | 0.08 | 0.06 | 0.07 | 0.08 | 0.07 | 0.08 | 0.09 | 0.09 | ||||
| AlIV | 0.07 | 0.10 | 0.11 | 0.09 | 0.07 | 0.10 | 0.09 | 0.10 | 0.10 | 0.09 | ||||
| AlVI/AlIV | 0.83 | 0.7 | 0.69 | 0.67 | 0.97 | 0.79 | 0.69 | 0.77 | 0.91 | 1.02 | ||||
| Wo | 45.91 | 46.88 | 46.91 | 46.24 | 45.9 | 46.59 | 46.53 | 46.84 | 46.84 | 46.63 | ||||
| En | 44.92 | 44.2 | 44.14 | 44.79 | 45.13 | 44.23 | 44.28 | 44.03 | 43.88 | 44.2 | ||||
| Fs | 9.17 | 8.92 | 8.95 | 8.98 | 8.98 | 9.18 | 9.19 | 9.14 | 9.28 | 9.17 | ||||
| opx | ||||||||||||||
| SiO2 | 53.89 | 53.3 | 54.02 | 54.26 | 54.27 | 54.55 | 54.16 | 53.77 | 53.84 | 53.72 | 54.07 | 54.23 | 54.12 | 54.1 |
| TiO2 | 0.12 | 0.12 | 0.10 | 0.12 | 0.11 | 0.12 | 0.12 | 0.11 | 0.10 | 0.11 | 0.12 | 0.12 | 0.14 | 0.11 |
| Al2O3 | 2.23 | 2.7 | 2.32 | 2.24 | 2.29 | 2.05 | 2.32 | 2.28 | 2.28 | 2.54 | 2.21 | 2.48 | 2.78 | 2.23 |
| Cr2O3 | 0.17 | 0.23 | 0.17 | 0.14 | 0.17 | 0.13 | 0.20 | 0.20 | 0.21 | 0.23 | 0.20 | 0.23 | 0.25 | 0.15 |
| FeO | 14.07 | 14.23 | 14.2 | 14.08 | 14.23 | 14.17 | 14.17 | 14.19 | 14.08 | 14.24 | 14.14 | 14.25 | 14.29 | 14.43 |
| MnO | 0.3 | 0.28 | 0.28 | 0.29 | 0.28 | 0.27 | 0.29 | 0.29 | 0.31 | 0.28 | 0.29 | 0.27 | 0.31 | 0.29 |
| MgO | 27.79 | 27.64 | 27.65 | 27.43 | 27.39 | 27.79 | 27.54 | 27.36 | 27.55 | 27.45 | 27.61 | 27.38 | 27.3 | 27.4 |
| CaO | 0.89 | 0.61 | 0.78 | 0.75 | 0.75 | 0.83 | 0.80 | 0.85 | 0.86 | 0.70 | 0.81 | 0.80 | 0.73 | 0.78 |
| Na2O | 0.03 | 0.01 | 0.03 | 0.02 | 0.02 | 0.01 | 0.02 | 0.03 | 0.02 | 0.09 | 0.02 | b.d.l | 0.03 | 0.02 |
| NiO | 0.02 | 0.02 | 0.02 | 0.01 | 0.05 | b.d.l | 0.02 | b.d.l | 0.04 | b.d.l | 0.02 | 0.01 | 0.04 | 0.01 |
| Total | 99.51 | 99.14 | 99.59 | 99.36 | 99.6 | 99.91 | 99.66 | 99.07 | 99.3 | 99.38 | 99.48 | 99.77 | 100 | 99.53 |
| Si (a.p.f.u) | 1.94 | 1.92 | 1.94 | 1.96 | 1.96 | 1.96 | 1.95 | 1.95 | 1.94 | 1.94 | 1.95 | 1.95 | 1.94 | 1.95 |
| Al | 0.09 | 0.11 | 0.10 | 0.10 | 0.10 | 0.09 | 0.10 | 0.10 | 0.10 | 0.11 | 0.09 | 0.10 | 0.12 | 0.09 |
| Fe3+ | 0.02 | 0.02 | 0.01 | 0.01 | 0.01 | |||||||||
| Fe2+ | 0.40 | 0.41 | 0.42 | 0.42 | 0.43 | 0.42 | 0.43 | 0.43 | 0.42 | 0.42 | 0.43 | 0.43 | 0.43 | 0.44 |
| Mn | 0.01 | 0.01 | 0.01 | 0.01 | 0.01 | 0.01 | 0.01 | 0.01 | 0.01 | 0.01 | 0.01 | 0.01 | 0.01 | 0.01 |
| Mg | 1.49 | 1.49 | 1.48 | 1.48 | 1.47 | 1.49 | 1.48 | 1.48 | 1.48 | 1.48 | 1.48 | 1.47 | 1.46 | 1.47 |
| Ca | 0.03 | 0.02 | 0.03 | 0.03 | 0.03 | 0.03 | 0.03 | 0.03 | 0.03 | 0.03 | 0.03 | 0.03 | 0.03 | 0.03 |
| Mg# | 0.79 | 0.79 | 0.78 | 0.78 | 0.77 | 0.78 | 0.78 | 0.78 | 0.78 | 0.78 | 0.78 | 0.77 | 0.77 | 0.77 |
| AlVI | 0.03 | 0.04 | 0.04 | 0.05 | 0.05 | 0.04 | 0.05 | 0.04 | 0.04 | 0.04 | 0.04 | 0.06 | 0.06 | 0.05 |
| AlIV | 0.06 | 0.08 | 0.06 | 0.04 | 0.04 | 0.04 | 0.05 | 0.06 | 0.06 | 0.06 | 0.05 | 0.05 | 0.06 | 0.05 |
| AlVI/AlIV | 0.54 | 0.52 | 0.74 | 1.26 | 1.2 | 0.95 | 0.9 | 0.76 | 0.7 | 0.69 | 0.79 | 1.10 | 1.03 | 0.9 |
| Wo | 1.76 | 1.21 | 1.55 | 1.51 | 1.51 | 1.65 | 1.58 | 1.69 | 1.71 | 1.4 | 1.62 | 1.6 | 1.46 | 1.56 |
| En | 76.51 | 76.65 | 76.42 | 76.47 | 76.27 | 76.47 | 76.37 | 76.15 | 76.39 | 76.38 | 76.42 | 76.16 | 76.17 | 75.98 |
| Fs | 21.74 | 22.13 | 22.03 | 22.03 | 22.22 | 21.88 | 22.05 | 22.15 | 21.9 | 22.22 | 21.96 | 22.24 | 22.37 | 22.45 |
Major (wt_%) and trace elements (ppm) bulk rock compositions of the phlogopite-amphibole-plagioclase-bearing websterite xenolith of Guinadji volcano_
| SiO2 (wt%) | 51.54 |
| TiO2 | 0.43 |
| Al2O3 | 4.88 |
| Cr2O3 | 0.25 |
| FeO* | 9.5 |
| MnO | 0.19 |
| MgO | 19.55 |
| CaO | 12.98 |
| Na2O | 0.58 |
| K2O | 0.12 |
| P2O5 | 0.07 |
| BaO | 0.01 |
| LOI | 0.32 |
| Mg# | 0.79 |
| Total | 100.42 |
| Ba (ppm) | 100 |
| Ce | 11.1 |
| Cr | 1690 |
| Cs | 0.05 |
| Dy | 1.89 |
| Er | 1.15 |
| Eu | 0.61 |
| Ga | 7.8 |
| Gd | 2.07 |
| Hf | 0.85 |
| Ho | 0.41 |
| La | 3.8 |
| Lu | 0.12 |
| Nb | 1.3 |
| Nd | 8.4 |
| Pr | 1.68 |
| Rb | 3.9 |
| Sc | 46.3 |
| Sm | 2.36 |
| Sr | 76.5 |
| Tb | 0.35 |
| Th | 0.2 |
| Ti | 0.28 |
| Tm | 0.12 |
| U | 0.08 |
| V | 248 |
| Y | 9.3 |
| Yb | 0.87 |
| Zr | 30 |
Representative EMPA of plagioclase (wt_%)_
| SiO2 | 52.92 | 52.15 |
| TiO2 | b.d.l | 0.01 |
| Al2O3 | 29.06 | 29.77 |
| FeO | 0.14 | 0.15 |
| MnO | 0.02 | 0.01 |
| MgO | 0.05 | 0.06 |
| CaO | 12.04 | 12.60 |
| Na2O | 4.42 | 4.04 |
| K2O | 0.51 | 0.49 |
| Total | 99.17 | 99.28 |
| Si (a.p.f.u) | 2.42 | 2.38 |
| Al | 1.56 | 1.60 |
| Fe2+ | 0.01 | 0.01 |
| Ca | 0.59 | 0.62 |
| Na | 0.39 | 0.36 |
| K | 0.03 | 0.03 |
| An | 58.30 | 61.47 |
| Ab | 38.75 | 35.71 |
| Or | 2.94 | 2.82 |