Independent music venues typically operate with very small profit margins, if any (Moss 2020). The COVID-19 pandemic has exacerbated the precariousness of running an independent music venue, devastating the live music sector and particularly affecting these smaller establishments (Linn 2021; Renard 2020). Additionally, recent inflation and associated rising costs for operators (Bodine 2024), along with changes in patrons’ drinking habits, a major source of revenue (Jensen 2020), have forced many independent venue owners to close or scale down their operations (Erickson 2023).
In this challenging context, access to actionable data from the influence of Yelp reviews on independent music venues becomes increasingly significant (Hagen 2022). While the impact of these reviews is acknowledged, their precise nature remains unclear. This research seeks to elucidate such uncertainty by examining how these reviews discuss musical aspects or engage with noise and sound-related themes, rather than restricting the categorization of music venues to restaurants or bars. Understanding the nuances of online reviews can offer actionable insights for venue management, potentially aiding in their survival and adaptation amidst financial and operational challenges.
Assessments of the impact of Yelp reviews on the performance of independent venues are notably sparse. Some studies have analyzed online reviews to understand the geographical nature, location, and consumer preferences at restaurants and bars (Johansson 2016; Rahimi et al. 2018). Others have explored the impact of negative online reviews on restaurants (Roh and Yang 2021) or profiled influencers (Corradini 2021). While music and noise are often linked, and several studies on noise in live music spaces, including independent venues, have been conducted (Van der Hoeven and Hitters 2019; Goggin et al. 2008; Renard 2020), none have focused specifically on the role of negative reviews on independent music venues or evaluated how much music or the perception of noise matters to reviewers.
This study is grounded in social proof theory, examining the influence of negative online reviews on independent music venues. It highlights how individuals often look to the opinions and actions of others when making decisions (Naeem 2021). The research focuses on strategies that independent music venues can use to counter the impact of negative reviews, such as actively engaging with patrons, responding to feedback, and fostering a positive community reputation (Innes et al. 2021).
In his 1984 book Influence: The Psychology of Persuasion, psychologist Robert Cialdini introduced the concept of social proof as a key principle of influence. Cialdini explained that individuals often look to the behavior of others to guide their own decisions, especially when faced with uncertainty. His work has played a significant role in advancing our understanding of social influence and how it shapes human behavior. A common example of this is the phenomenon known as herd behavior, where large groups tend to conform to the same actions or beliefs. While social proof can reflect a rational strategy of considering the knowledge of others, studies show that it can sometimes lead groups to make decisions prematurely, based on limited information, causing widespread conformity.
Social proof theory provides a valuable framework for examining the impact of negative online reviews on independent music venues by highlighting how individuals often rely on the opinions and behaviors of others to guide their decisions (Kim et al. 2020). The theory emphasizes that people tend to conform to the majority view. When a venue accumulates multiple negative reviews, it can foster the perception that the venue is undesirable, potentially leading even those with neutral or positive prior experiences to avoid it—a phenomenon known as the bandwagon effect or herd behavior (Bindra 2022). Additionally, negative reviews can reinforce or reshape patrons’ expectations. For instance, if numerous reviews point out poor service or ambiance, prospective customers may approach the venue with diminished expectations, which can result in a self-fulfilling prophecy where their experiences mirror the negative feedback.
In the context of independent music venues, social proof also mirrors local community dynamics. Reviews from local patrons can hold particular significance, influencing how the venue is perceived within that community (Roethke et al. 2020). This perception can extend to artists performing there, impacting their careers. While established artists may not be swayed by venue reviews, as their fans are primarily drawn to the performer, emerging artists may face severe repercussions from playing at poorly reviewed venues. Such negative associations could hinder their careers before they even begin. This situation underscores the importance for independent venues to monitor and address negative reviews. Doing so is crucial not only for their own sustainability but also for the future success of the artists who perform there.
The significance of this study lies in its potential to enhance our understanding of the impact of online reviews on independent music venues. A machine learning analysis is leveraged to analyze the extensive dataset of 2,305,734 mostly negative or neutral Yelp reviews at 1,423 independent venues across the United States going as back as 2004. The study mainly uncovers correlations and trends rather than establishing causation. While our computations can highlight patterns and relationships within the data, confirming causation necessitates a more nuanced understanding of the context, often involving controlled experiments (i.e., propensity score matching, instrumental variables, etc.), which are beyond the purview of this study. Nevertheless, this study offers actionable insights for venue management and contributes to the broader discourse on the intersection of online reviews, big data, live music, noise studies, and hospitality. A brief literature review on independent venues and the intersection of online reviews and live music follows.
Independent music venues are not merely bars or restaurants. Although often overlooked, a clear and measurable definition of a music venue has not been universally established. Most local, state, and federal statutes in the United States lack explicit details about what constitutes a music venue (Renard and Gloor 2025). However, efforts to define them are underway. For example, the Texas legislature’s State Bill 609 created the Texas Music Incubator Rebate Program for “certain music venues and promoters.”1 Participants in this program must meet specific criteria to be defined as a music venue. For at least two years prior to applying, they must have:
Been subject to a mixed beverages gross receipts tax or sales tax on beer or wine sales.
Been a “retail establishment with a dedicated audience capacity of not more than 3,000 persons.”
(If a festival promoter) Held a music festival in a county with a population of less than 100,000.
Entered into a contract with a musical performance artist for paid performances.
Met at least five out of eight criteria related to the frequency of live music performances, marketing practices, and provision of sound and lighting support, among other factors.
The language in the bill provides a precise definition of a music venue. As of this writing, the legislation has been passed and funded with $20.2 million for the next two years, making Texas the first state in the United States to define and endorse music venues as operating entities. The National Independent Venue Association (NIVA) has its own definition for its members, which is somewhat less specific than the Texas State Bill. To attain membership in NIVA, venues must meet at least two of three criteria based on their organizational structure and programming, which must primarily involve live music, comedy, or similar performances as their business foundation. Further requirements include having a defined performance space and specific marketing practices, among other factors (Linn 2021).
Independently owned music venues play a crucial role in urban live music scenes (Webster et al. 2018). These venues are owned by one or more local partners who typically own only one or a few venues, distinguishing them from large promoters like Live Nation or AEG, which operate thousands of venues globally (Dubois, Renard, and Guttentag 2024). Fans often refer to these venues as “local” or “grassroots” (Davyd et al. 2015; Renard and Gloor 2025). Independent venues are generally small, with a capacity to host under 600 patrons. However, over 70% have a capacity under 200 (Renard and Gloor 2025). Emerging musicians often begin their careers and hone their craft in these intimate settings, making them hubs for burgeoning musical creativity. These “indie” venues enhance the social capital of local scene participants (Whiting 2021), offering platforms for bands and singer-songwriters to develop their skills and artistic talents (Gallan and Gibson 2013; Shaw 2013). As centers for musical ingenuity, they strengthen the social connections and influence of individuals within local music scenes and show a consistent dedication to supporting independent music, meeting criteria such as featuring indie artists predominantly on Friday and Saturday nights and occupying at least half of the total programming space (Renard and Gloor 2025). This is essential for nurturing musical creativity within a city (Van der Hoeven and Hitters 2019).
Moreover, smaller music venues often cater to specialized music genres or specific music communities (Parkinson et al. 2015), consistently serving niche preferences like heavy metal or progressive electronic music (Shaw 2013). Independently owned venues with a distinct artistic identity are recognized for fostering musical innovation, nurturing talent, and fostering a sense of community (Gallan and Gibson 2013; Shaw 2013). These venues are primarily dedicated to ‘alternative’ music genres and often face challenges like escalating rents during gentrification and the financial burdens of stringent safety regulations (Holt and Wergin 2013). However, independent music venues don’t shoulder the production expenses for the music they host and can often turn a profit even if the artists don’t (Jensen 2020).
Furthermore, independently owned music venues promote cultural activities by partnering with similar venues and co-booking indie musicians who visit their collective venues (Webster et al. 2018). Consequently, these venues play a crucial role in enriching the variety of cultural experiences available in a city (Van der Hoeven and Hitters 2019).
All venues in the leveraged dataset are located within walking distance of each other, which are defined at an average of approximately a mile from each other (specifically .96 miles) (Renard and Gloor 2025), allowing fans to “venue hop” (Darchen, Charrieras, and Willsteed 2022). These concentrated pockets of independent music venues are known as Music Zones (Renard and Gloor 2025). The data leveraged in this study builds on the work “Music Zones in the United States: A Typological and Geospatial Perspective” by Renard and Gloor (2025) and its comprehensive catalog of 1,423 independent music venues.
The proliferation of mobile internet and social networking platforms, such as Twitter (now X), TikTok, Facebook, and Instagram, has dramatically transformed fan engagement at live music events. Reviewers now can connect with each other during shows, share real-time updates including event-related information, and instantly post photos and details of performances. This capability enables non-attendees to experience events vicariously, fostering a sense of participation. However, this real-time sharing can lead to misinterpretations or distortions of the actual live experience, as the immediacy of social media does not always capture the full essence of a performance (Bennett 2012, 545-552).
The intersection of social media and online reviews further amplifies this phenomenon, particularly in the context of live music. Research indicates that online reviews significantly affect consumer choices and satisfaction levels (You et al. 2015; Poddar et al. 2017; Trusov et al. 2009). For instance, a concertgoer’s detailed review of a live performance can influence other fans’ decisions to attend future shows by the same artist or venue. The characteristics and volume of online reviews play a crucial role in their effectiveness. Negative reviews have a more substantial impact due to the negativity effect, wherein potential losses are perceived as more significant than potential gains (Pan and Chiou 2011; Skowronski and Carlston 1989).
Furthermore, negative reviews are often deemed more credible and influential than positive ones. For example, a negative review detailing poor sound quality, or an unsatisfactory musical experience can deter potential concert attendees by increasing perceived risk and affecting trust levels (Ba and Pavlou 2002; Lee and Cranage 2012). Negative reviews also enhance the perceived helpfulness and reliability of the review (Siering and Muntermann 2013). These reviews shape consumer attitudes, especially when there is a high consensus among the reviews. If numerous concertgoers agree on the poor quality of an event, this consensus may heavily influence future ticket sales (Khare et al. 2011; Lee et al. 2008).
The timing of reviews significantly affects consumer responses. Recent reviews of a live performance are more impactful, influencing last-minute decisions to attend a concert or a show, while outdated reviews tend to influence decisions for events scheduled further in the future. This interaction between psychological distance and review timing highlights the complexity of consumer reactions to negative online reviews (Jin et al. 2014).
Aggregated ratings, which reflect the collective input of live music audiences, provide a summary evaluation of their overall experience. Most of the independent venues in our dataset have an aggregated overall rating of 4 stars or more. However, negative aggregated ratings can lead to unfavorable attitudes and significantly influence consumer preferences, particularly when most reviews are negative (Lee and Cranage 2012; Qiu, Pang, and Lim 2012). A high consensus in negative reviews increases their perceived reliability and the belief that the service provider is responsible for the negative experience. For instance, if many attendees at a music venue express dissatisfaction, it can substantially impact the venue’s reputation and future patronage. This consensus effect further underscores the substantial impact of online reviews on consumers attending live shows (Lee and Cranage 2012; Khare et al. 2011).
The subsequent sections provide a comprehensive overview of the multilayer methodology utilized in this study, followed by a brief analysis and discussion of the results.
A comprehensive analysis of Yelp reviews was conducted, encompassing 1,423 independent venues across fifty-nine cities within music zones in the United States. Yelp.com is a prominent online directory and review platform (Alamoudi and Alghamdi 2021). It was selected for this study over directory sites like Google Reviews due to its longer, more detailed reviews, in contrast to the brief, one-line comments often found on Google Reviews. The more extensive content on Yelp better supports in-depth text analysis, making it the preferred platform for this research. Furthermore, Yelp is often more focused on local businesses, especially those in hospitality, dining, and entertainment (including independent music venues). Many users visit Yelp specifically to find reviews on these types of businesses, which may make Yelp more relevant for venues seeking niche customer feedback. Yelp also uses algorithms to filter reviews and prioritize those they deem authentic and high-quality. This can help weed out spam or fake reviews more effectively than Google, providing more reliable data.
This analysis included reviews dating back to the inception of these venues or as early as 2004, coinciding with Yelp’s establishment. Data was sourced from the publicly accessible Yelp dataset leveraging its API, focusing specifically on the business and review aspects, utilizing only the yelp_business and yelp_review files. On Yelp, most independent music venues are also codified as bars or restaurants, which are among the platform’s most popular searches. Notably, the dataset of independent venues leveraged uses the Yelp qualifier “music venues” or “venues and event spaces” in association with “bars,” “dive bars,” “cocktail bars,” “lounges,” “speakeasies,” and so forth. Music genres are sometimes listed as well. An example is “Jazz & Blues” in the profile of Antone’s Nightclub on 5th Street in Austin, Texas.2
The dataset involves 30,486 keywords derived from a large dataset of 2,305,734 predominantly negative or neutral Yelp reviews, rated 1, 2, or 3 out of 5 stars. The distribution of these ratings is as follows: 1 star: 1,069,561; 2 stars: 544,240; and 3 stars: 691,934. The 30,486 keywords were systematically categorized into seven codified groups: (1) Noise/Music (see Table 1), (2) Food/Drink, (3) Service, (4) Place/Atmosphere, (5) Transactions, (6) Positive words, and (7) Negative words. To assign keywords to the appropriate categories, a machine learning algorithm was employed, which weighed each keyword across these groups, achieving an accuracy rate of 95%. Each list was then manually parsed to correct any inaccuracies. Additionally, an “Other” category was created for keywords that did not fit into any of the codified groups and were excluded from the study (see Table 2). Also, significance tests are unnecessary because this study examines the entire population, not just a sample.
Sample of Top 10 Noise and Sound-Related Keywords.
| Word | Category | Count |
|---|---|---|
| music | Music | 63211 |
| loud | Music | 54804 |
| noise | Music | 19457 |
| sound | Music | 17909 |
| listen | Music | 15822 |
| band | Music | 14655 |
| voice | Music | 12285 |
| hearing | Music | 11967 |
| tone | Music | 11013 |
| noisy | Music | 9835 |
Sample of Top 10 Noise and Sound-Related Keywords with Associated Machine Learning Weighted Scores.
| music | {‘Others’: 11.592811958462585, ‘Service’: 9.596015886826951, ‘Places’: 10.619032969841593, ‘Positive Adverb’: 14.60537838935852, ‘Negative Adverb’: 10.754070321718853, ‘Transaction’: 6.803990236918131, ‘Music’: 16.76947468519211, ‘Food’: 10.45361336072286} |
| loud | {‘Others’: 11.969111816555849, ‘Service’: 7.429783821105956, ‘Places’: 10.641481362856352, ‘Positive Adverb’: 12.429158091545105, ‘Negative Adverb’: 14.577030579249065, ‘Transaction’: 3.5794796546300245, ‘Music’: 19.740479618310925, ‘Food’: 9.910290837287905} |
| noise | {‘Others’: 9.822163983887316, ‘Service’: 7.620879888534545, ‘Places’: 11.341584278987003, ‘Positive Adverb’: 10.373921871185303, ‘Negative Adverb’: 10.907921155293783, ‘Transaction’: 4.679620854059856, ‘Music’: 18.601333419481914, ‘Food’: 6.956304530302684} |
| sound | {‘Others’: 12.311273107341693, ‘Service’: 9.335558457808059, ‘Places’: 10.659502249497635, ‘Positive Adverb’: 15.929065465927124, ‘Negative Adverb’: 12.538021763165792, ‘Transaction’: 6.179866409301758, ‘Music’: 19.8793967962265, ‘Food’: 9.294235348701475} |
| listen | {‘Others’: 13.46179250642365, ‘Service’: 9.019762385975232, ‘Places’: 9.470439470731295, ‘Positive Adverb’: 12.926123857498169, ‘Negative Adverb’: 13.644288261731466, ‘Transaction’: 5.557556927204132, ‘Music’: 14.73413089911143, ‘Food’: 8.488389293352764} |
| band | {‘Others’: 10.055490577922146, ‘Service’: 7.007454590363936, ‘Places’: 8.509954892672026, ‘Positive Adverb’: 11.781231880187988, ‘Negative Adverb’: 9.88798411687215, ‘Transaction’: 4.284815875689189, ‘Music’: 13.414122939109804, ‘Food’: 7.377782305081686} |
| voice | {‘Others’: 11.622585792167513, ‘Service’: 11.593473954634234, ‘Places’: 8.924857946542591, ‘Positive Adverb’: 13.42629075050354, ‘Negative Adverb’: 11.978808482487997, ‘Transaction’: 6.00959153175354, ‘Music’: 16.78564860423406, ‘Food’: 5.618024090925852} |
| hearing | {‘Others’: 11.584125261680756, ‘Service’: 8.727128245613791, ‘Places’: 9.297691088456375, ‘Positive Adverb’: 9.572535276412964, ‘Negative Adverb’: 11.196159839630125, ‘Transaction’: 8.286495145161947, ‘Music’: 11.86425906419754, ‘Food’: 6.5419449508190155} |
| tone | {‘Others’: 9.55057409697888, ‘Service’: 7.395883300087668, ‘Places’: 8.045093463017391, ‘Positive Adverb’: 11.710272550582886, ‘Negative Adverb’: 10.59697155157725, ‘Transaction’: 5.22025310198466, ‘Music’: 15.58264438311259, ‘Food’: 5.991086105505626} |
| noisy | {‘Others’: 8.432757817062674, ‘Service’: 7.351362358440051, ‘Places’: 10.852060391352726, ‘Positive Adverb’: 10.419877290725708, ‘Negative Adverb’: 11.660314718882242, ‘Transaction’: 3.4555312554041544, ‘Music’: 15.532896608114246, ‘Food’: 8.81338405609131} |
Furthermore, a tailored sentence extraction mechanism was developed and implemented to capture contextually relevant information for each distinct word category (see Figure 1). The extraction process was carried out using a Python script, involving several key steps. First, keywords were parsed and uploaded into a spreadsheet. Each Yelp review was then checked against these keywords. If a keyword was found, it was highlighted in the text to make it visually distinct. Keywords were matched using regular expressions to ensure whole words were recognized, avoiding partial matches that could lead to irrelevant results. The results for each category were compiled into separate files with highlighted keywords, facilitating easier review and analysis.

Python Code that Extracts Sentences with Exact Keywords.
Subsequently, sentiment analysis was conducted on the extracted Yelp reviews to evaluate overall impressions associated with the keywords from the seven codified groups.
The essence of sentiment analysis lies in finding meaning in text or documents containing opinions or sentiments (Sadikin and Fauzan 2023). A single sentence can contain multiple opinions or facts in an unstructured form (Al-Barhamtoshy and Eassa 2014). Therefore, it is necessary to transform these sentences into a structured format. This process includes a process of extraction, where words are converted into numerical representations that computers can process (Sadikin and Fauzan 2023). The sentiment score of each sentence, ranging from -1 (completely negative) to +1 (completely positive), was calculated using the VADER (Valence Aware Dictionary for Sentiment Reasoning) Sentiment Intensity Analyzer from the NLTK package in Python (see Figure 2). VADER is a model used for text sentiment analysis, sensitive to both polarity (positive/negative) and intensity (strength) of emotion and is particularly effective for web reviews and social media posts (Hutto and Gilbert, 2014).

VADER Sentiment Analysis Code Fragment.
The following analysis consists of two parts: first, an examination of keyword usage, followed by a sentiment analysis. There are more unique keywords related to music and noise (6,483 keywords) compared to mentions about transactions (3,187 keywords), service (2,493 keywords), and the place/atmosphere used in Yelp reviews examined (1,927 keywords, see Figure 3). Interestingly, the number of sonic-related keywords is comparable to those about food (6,746 keywords) and negative words (6,534 keywords).

Keywords by Categories.
There are several takeaways from this initial keyword analysis. First, online reviewers employ a wide range of vocabulary when describing their experiences at independent music venues, particularly in relation to music and noise, which indicates that these aspects are highly significant to their overall experience. Second, the high volume of music-related keywords (6,483) shows that sound and musical experience are primary factors in how patrons perceive independent venues, comparable to other key aspects such as food (6,746 keywords) and negative sentiment (6,534 keywords). Third, the fact that music-related keywords far outnumber mentions of transactions, service, and atmosphere suggests that the auditory experience plays a larger role in shaping online reviews than logistical or service aspects at these venues. Finally, the presence of a comparable number of negative words and sonic-related keywords may indicate that the quality of music or sound at these venues strongly influences both positive and negative feedback.
On the other hand, in 1, 2, and 3-star reviews, mentions of music and noise-related content are significantly less frequent compared to other categories, such as food and service.
Music/noise mentions only account for 2.79% of the total mentions, suggesting that patrons are less likely to criticize sound-related aspects in negative reviews. As such, music and noise mentions are less frequent in negative reviews. Furthermore, the majority of negative or neutral reviews focus on service and food quality, with those keywords appearing far more frequently (8 million mentions for service, nearly 20 million for food, see Figure 4). This indicates that for many patrons, poor experiences at independent venues are more likely attributed to issues with service and food than music or noise. Despite being categorized as negative or neutral, these reviews often contain positive language, which surprisingly outweighs the use of negative words. This suggests that even when reviewers leave lower star ratings, they may still highlight positive aspects of their experience, which can soften the impact of negative feedback. Since food, service, and transactional issues dominate negative reviews, independent venues should focus on improving these areas to enhance customer satisfaction. Addressing these factors may lead to better overall reviews, even if music-related issues are not the main source of criticism. The fact that positive words appear frequently in otherwise negative or neutral reviews indicates that independent venues may have untapped potential to build on their strengths. By reinforcing and highlighting the positive aspects mentioned in reviews, venues can potentially improve their overall ratings.

Total Keyword Usage and Repetition by Categories.
The sentiment analysis reveals several important insights. First, despite some reviews being highly positive in tone, the overall star ratings for the reviews examined did not exceed 3 stars on Yelp (see Table 3). This indicates a disconnect between the positive sentiments expressed in the reviews and the star ratings assigned, suggesting that other factors may contribute to the lower overall ratings.
Sample Distribution of Music/Noise Related Yelp Reviews with Associated Compound Scores.
| Sentences | Compound SA Score |
|---|---|
| I get it - it’s a bar, but it gets annoying when you have to constantly scream, WHAT??!! | -0.842 |
| Terrible amateur music and lousy service! | -0.784 |
| Unfortunately, they were playing at the worst sounding venue I have ever been to in my many years of seeing live music. | -0.6908 |
| Poor service for low customer volume. | -0.6369 |
| The venue is not that great for sound if there is live music. | -0.5096 |
| Well, it’s got character! It’s a bit of an odd duck, it’s part music venue, part restaurant, part dive bar, and part impromptu art studio. | -0.126 |
| The artist last night was a solo act, specializing in country covers. | 0 |
| As it turns out, they paired someone trained in belly dancing with a clean-cut guy playing covers on acoustic guitar. | 0.34 |
| Good music. | 0.4404 |
| They also book good live music in the evenings. | 0.4404 |
| Skylight Music Theatre, found in the Third Wards Broadway Theatre Center, offers some fantastic performances. | 0.5574 |
| We especially enjoy the after work happy hours with a bunch of friends from work -- great place for good drinks, good music and fun bartenders. | 0.9735 |
| Fun dive bar, lots of great music, awesome wait staff - enjoy for lunch, date night, night out with friends. | 0.9814 |
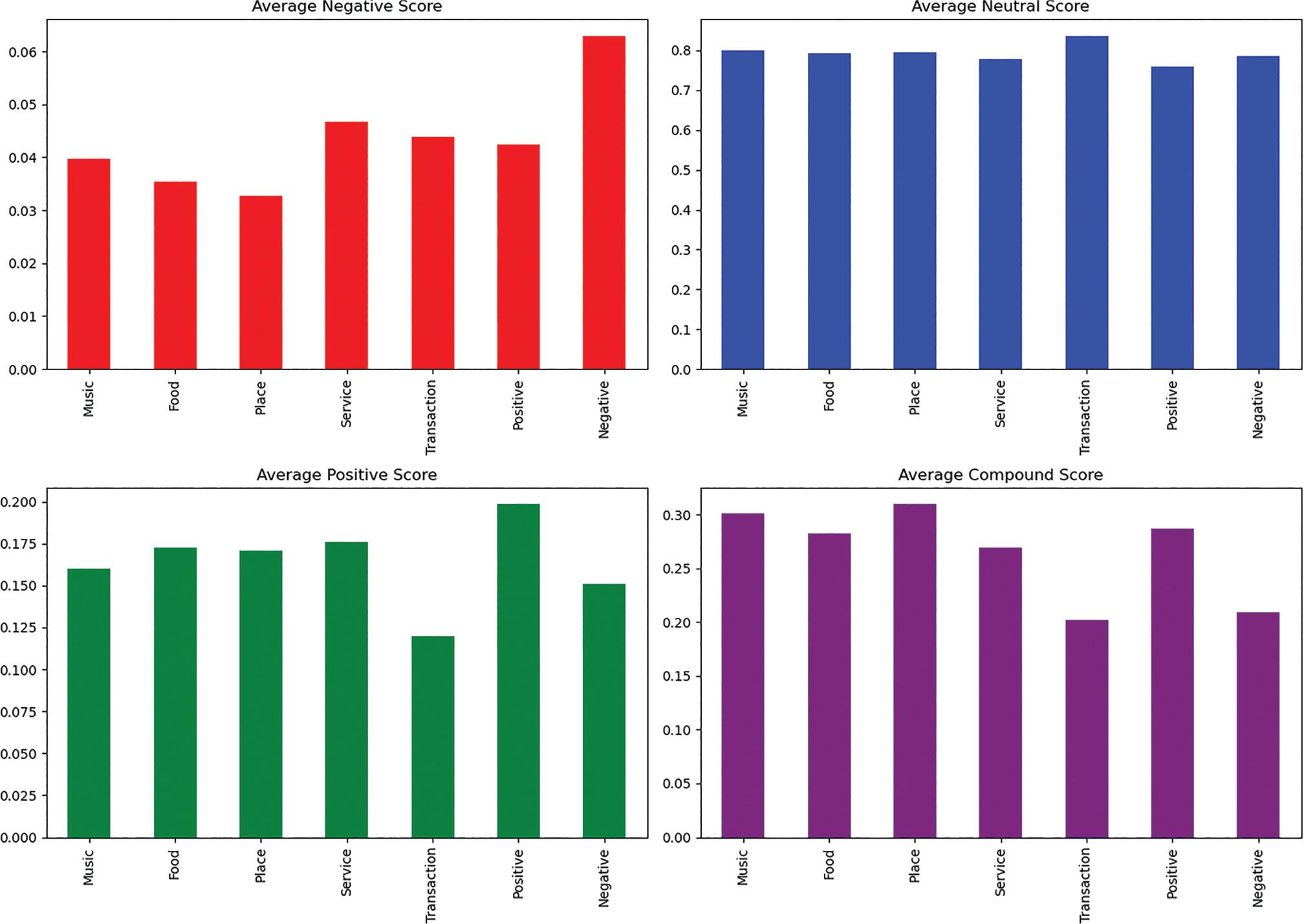
In terms of specific categories, music-related content achieved a 30.14% positive compound score, slightly lower than the 30.96% for place/atmosphere. The lowest-performing category was transactions, which includes themes such as cost, order, and value, with a positive compound score of just 20.18% (see Table 4). This suggests that patrons are particularly dissatisfied with value for money at independent venues.
Average Compound Scores by Categories.
| Category | Average Compound Score |
|---|---|
| Place/Atmosphere | 30.96% |
| Music/Noise | 30.14% |
| Positive Words | 28.68% |
| Food | 28.29% |
| Service | 26.92% |
| Negative Words | 20.92% |
| Transactions | 20.18% |
Despite these challenges, even within 1, 2, and 3-star reviews, all categories maintain positive average sentiment scores. This is encouraging for venue owners, as it reflects a generally positive atmosphere and goodwill among patrons, even when specific areas like food, service, and transactions are criticized. The analysis highlights that independent venues are often perceived as trustworthy, even in neutral or negative review contexts (see Figures 5-8). Music and atmosphere contribute to this positive sentiment, as patrons tend to enjoy these aspects of their experience.

Scatter Plot Representation - Music and Noise (30.14% positive).

Scatter Plot Representation - Place and Atmosphere (30.96% positive).

Sentiment Analysis Average Scores by Categories.

Sentiment Analysis Score Distribution by Category.
A clear trend is observed where more negative reviews correlate with lower compound sentiment scores (see Figures 5 and 6). Indeed, the two scatter plots compare sentiment categories across reviews, with sentiment values plotted on the Y-axis and review characteristics (such as star ratings or specific features of the review) on the X-axis. The colors and shapes seem to distinguish between Neutral (diamonds), Positive (squares), and Compound (triangles) sentiment classifications. Regarding cluster density, neutral reviews tend to cluster around the upper range of the Y-axis, indicating they have relatively high sentiment values that lean towards neutral positivity, while positive reviews are spread along the middle and right side of the graph, indicating a broader distribution but staying in the positive sentiment range, and compound reviews are distributed mostly across the bottom half of the plot, often falling into the negative sentiment range on the Y-axis, indicating these are weighted or mixed-sentiment reviews. Despite the spread of compound and neutral reviews, there seems to be a general tilt towards positive or neutral feedback in the overall distribution. This indicates that while critical feedback exists, reviewers tend to view their experiences at the venues in a somewhat favorable or mixed light rather than overwhelmingly negative. However, many reviews are concentrated toward the less negative end of the spectrum, with relatively few highly negative reviews (those exceeding 0.3 out of 1 on the negativity scale). Transaction-related issues—specifically value, cost, and pricing—consistently receive lower sentiment scores, regardless of whether the review is mostly positive or negative. This further reinforces that concerns about price and value are ongoing challenges for independent venues.
Figure 7 shows that extremely negative reviews disproportionately affect categories such as food, place/atmosphere, and music/noise. On the other hand, transaction-related issues consistently receive the lowest scores, even in the context of generally positive reviews. This suggests that while patrons may enjoy many aspects of their visit, they often express dissatisfaction with value for money. Nevertheless, the overall takeaway is that Yelp reviewers report positive experiences at independent venues, though mixed sentiments about value and transactions are common. Finally, Figure 8 demonstrates that most reviews across all categories fall within the neutral or positive range. The music/noise category shows a strong positive skew, with reviews frequently praising performance, volume, and other music-related aspects more than any other category. This suggests that, despite some criticism, independent music venues are generally perceived positively, especially regarding their music and atmosphere. Even when feedback is mixed, patrons tend to view these venues in a favorable light, indicating a baseline level of trust and appreciation for the experience they provide.
The sentiment analysis of Yelp reviews on independent music venues uncovers several valuable insights that can help improve venue operations. Key findings for venue managers focus on enhancing transparency in transactions and the perception of value, as highlighted in the following reviews: “The food is pretty good all-around but the drinks are very expensive.”; “I’m not sure how it happened but it seemed like I transported into a lounge in the middle of an expensive area of New York City”; and “I had already spent $120 on my two tickets, and could not afford spending another $80 for two additional tickets.” These reviews suggest that independent venue managers should prioritize improving clarity around costs, orders, and pricing. More reviews such as the following provide further insights: “I had accidentally ordered tickets for an earlier show for 2:30pm, when I needed tickets for 7:30pm”; “I tried picking up my tickets at the ticket booth and the employees in the booth (all 3 of them) did not realize that I had the incorrect time for my tickets”; and “Entrance is a bit confusing to find, it’s in the small parking lot adjacent to the building off E Erie Street.” There, clear communication regarding ticket prices, food and beverage costs, payment methods, service fees, reservations, parking, and similar details is recommended to enhance customer satisfaction and reduce complaints about perceived value further contributing to bandwagon effect (McDougall, Gordon, and Levesque 2000; Glynn 2015). As such, independent venues should focus on pricing strategies, providing clearer value propositions, or enhancing customer experiences to justify the cost.
Furthermore, the analysis shows that extremely negative reviews disproportionately affect food and service, as seen in the following review: “Maybe the drinks and cool atmosphere make up for the bad food most of the time, but we had neither.” Improving the quality and consistency of food and service can help reduce the impact of negative reviews and herd behavior, while improving overall customer satisfaction. Thus, focusing on improving areas like food and atmosphere is recommended, as they have a high impact on overall ratings when mentioned negatively. Prioritizing these areas for improvement could reduce the volume of extremely negative reviews, enhance customer satisfaction, and mitigate the harm of herd behavior. While music and noise-related content have the lowest mention rates in reviews, they significantly impact positive sentiment when mentioned (see Table 3). Venue managers could consider highlighting their venue’s musical strengths in marketing materials and social media, encouraging satisfied customers to emphasize their positive musical experiences in reviews (Zhao et al. 2020) as illustrated in those reviews: “It’s nice to walk into a place, not know anyone, yet feel right at home - friendly bartenders, great music, good food - its bar/pub offerings - but each dish I’ve tried I would try again” or “The staff is friendly and helpful, the food is excellent, and it doesn’t hurt that the decor is fantastic and they ALWAYS have great music playing.”
Positive testimonials can attract new customers and reassure potential visitors about the quality of the venue (Reitsamer and Brunner-Sperdi 2021). Furthermore, the compound scores and visual representations in the analysis suggest that even within a negative and neutral online review environment, independent venues are generally perceived as trustworthy. This perception of trustworthiness is crucial for venue managers to maintain and enhance, as it can mitigate the impact of negative reviews on potential customers (Kim and Velthius 2021) as spotlighted by the following review: “The ambiance, the live music, the libations and the staff, make this a memorable experience you are sure to enjoy”. Moreover, given that food and service are frequently criticized, focusing on these areas can yield substantial improvements in overall ratings (Kobez 2018).
Beyond augmenting our comprehension of the impact of Yelp reviews on independent music venues, this study’s aim was also to contribute to the discourse on the intersection of online reviews, big data, live music, noise studies, and hospitality. Overall findings indicate that online reviewers use a broad vocabulary to describe their musical experiences at independent venues, as evidenced by the diverse range of keywords identified. However, the analysis also reveals that music and noise are afterthoughts when it comes to online reviews, as they are far less frequently mentioned than other categories. Indeed, music and noise-related content account for less than 3% (2.79%) of the mentions compared to food-related issues. This is surprising given that independent music venues are inherently focused on musical experiences. Positive reviews discussing performance, volume, music, and related aspects tend to laud the venue significantly more than reviews in any other category as seen in the following reviews: “It’s not too loud or noisy, just perfect;” “This spot has great music and drink specials;” or “Amazing musicians that will entertain you for hours.”
However, music and noise-related words are the least mentioned categories in 1, 2, and 3-star Yelp reviews. This suggests that while music is a significant factor in positive reviews, it becomes an afterthought in negative ones (Leppert 2023) as featured in this review: “It felt weird that they would rather move us across the restaurant than turn down the music a bit.” With music-related keywords appearing frequently (6,483 keywords), sound quality and the overall musical experience are significant factors in how patrons perceive independent music venues. Venue owners should focus on ensuring high-quality sound systems, acoustics, and diverse music performances to enhance the customer experience. Indeed, in the context of music venues, music matters more than logistics and service. Also, independent venues benefit from positive sentiment despite the negative self-reported reviews. Indeed, in the predominantly negative context of the Yelp reviews examined, all categories still achieved positive average scores. This is a promising indication for independent venue owners and managers, reflecting the positive culture and good faith fostered within their establishments.
For many users, Yelp is a trusted platform for checking reviews of local businesses. A venue’s Yelp rating can have a stronger impact on reputation because users may assume that a venue listed there is curated for that specific audience. Yelp has been around since 2004 and has a long history of reviews for many venues, providing a wealth of historical data. Google Reviews, while large, may not always provide the same depth in older reviews for independent venues. For independent music venues looking to target a specific customer base and gain deeper insights, Yelp can offer advantages in terms of focus and detail compared to Google Reviews. However, Google Reviews should not be discounted as they offer broader reach due to the integration with Google Search and Maps.
This study highlighted how Yelp reviews offer actionable insights for independent venue managers seeking to alleviate the harmful effect of herd behavior. By focusing on improving transaction transparency, enhancing the perception of value, and capitalizing on positive musical experiences, venue managers can significantly improve their overall ratings. Additionally, addressing common criticisms related to food and service quality can lead to more positive reviews. This study not only contributes to the academic understanding of online reviews and their impact on independent music venues but provides practical tools and methodologies for future research and application as well.
The methodology used in this study provides a replicable framework for educators and scholars interested in mining large pools of text data that is hopefully seen as valuable to the discipline. The sentiment analysis approach, coupled with the provided code, is ideal for any social media study that treats large datasets. This study allows music industry educators and scholars to leverage Yelp data with ease, fostering further research and practical applications in the field (Zanella and Renard 2022).
The actionable insights derived from this study underscore the importance of strategic management in addressing key areas of concern. By implementing targeted improvements based on customer feedback, venue managers can enhance the overall experience for patrons, foster positive reviews, and build a strong, trustworthy reputation in the competitive landscape at the intersection of live music and hospitality. Completely eliminating the effects of herd behavior in online reviews for independent music venues is unlikely, but hopefully, some of the insights from this study may help reduce its impact.
Further research could expand the study to include aggregated data from multiple review platforms like Google Reviews, Yelp, Facebook, and Tripadvisor that would provide a more comprehensive and nuanced understanding of customer experiences at independent music venues. By aggregating data from these diverse platforms, a further study could identify additional patterns or issues that may not be as apparent when relying solely on one source.
