Have a personal or library account? Click to login
Changes of Postharvest Nutritional Quality and Antioxidant Enzymes in ‘Haribhanga’ Mango by Aloe vera Gel with Chitosan and Coconut Oil Coating During Ambient Storage Cover

Changes of Postharvest Nutritional Quality and Antioxidant Enzymes in ‘Haribhanga’ Mango by Aloe vera Gel with Chitosan and Coconut Oil Coating During Ambient Storage

Open Access
|Dec 2023

Full Article

INTRODUCTION

Mango (Mangifera indica L.) is a well-known favorite fruit in Bangladesh owing to its appealing color, flavor, and high dietary content. Bangladesh is the world's seventh-largest mango producer, cultivating 121074.49 ha of land and producing over 1.207 million tons (BBS 2023). The commercial cultivar of mango, traditionally called ‘Haribhanga’, is fiberless, very fleshy, tasty and usually weighs 300–400 g. It is a climacteric and decaying fruit, with weight loss, softening of texture, starch to sugar conversion, and chlorophyll decomposition determining the postharvest life (Cárdenas-Coronel et al. 2012). Short shelf life and postharvest supervision hamper the export of mangoes to distant markets. Synthetic compounds that extend the postharvest life of mango fruits are hazardous to human health and the environment. So, natural substances, namely edible coatings, are particularly appealing since they are incredibly successful at giving significant defense to produce (Galus & Kadzińska 2015; Liu et al. 2020).

Edible coatings can expand the postharvest storage of fresh fruits through several mechanisms, especially as a moisture and gaseous exchange barrier, by forming an adapted environment in the crop region, reducing respiration and oxidative reaction rates, and preserving crop quality (Raghav et al. 2016; Vaishali et al. 2019).

Aloe vera in the form of a coating is an environmentally safe agent used in postharvest treatments that has attracted the interest of several researchers. It consists mainly of polysaccharides and contains phenolic compounds, antioxidants, vita-mins, minerals and others (Hamman 2008). These polysaccharides act as an obstacle to moisture and oxygen, reducing water loss and gas exchange through the lenticels coating, resulting in slow respiration and excellent preservation of the fruit (Maan et al. 2018). Aloe vera, along with other extracts enhance the postharvest supremacy of apricots by reducing respiration, firmness, water loss, microbial decay, and other excellent characteristics (Nourozi & Sayyari 2020). As a result, Aloe vera gel coatings can dramatically delay fruit hardness, browning, and weight loss (Hosseinifarahi et al. 2020).

Chitosan is a nonhazardous, recyclable, and not poisonous natural substance with outstanding layer-forming characteristics (Kumar et al. 2021). It can be used as an antibacterial remedial against various postharvest mango fruit diseases (Shah & Hashmi 2020). This intriguing biopolymer can act as an elicitor, triggering enzyme synthesis related to the fruit defense mechanism and minimizing fruit rotting (Gutiérrez-Martínez et al. 2018). Chitosan successfully extended the postharvest life of many fruits, including mango (Cosme Silva et al. 2017), papaya (Dotto et al. 2015), and lemon (Chen et al. 2020). Alone or mixed with other ingredients, chitosan reduces respiration, tissue softening, weight loss, disease occurrence, and more (Eshetu et al. 2019; Zahedi et al. 2019).

Coconut oil is gaining popularity for its rejuvenation qualities through falling respiration, transpiration, and ethylene production. It is an excellent source of lauric acid. Some evidence suggests that some of this acid is endogenously converted to monolaurin, which has antiviral, antibacterial, and antifungal effects (Liberman et al. 2006). The exterior layer of coconut oil occluded the stomata and lenticels, reducing respiration and transpiration rates along with the activity of microbes (Bisen et al. 2012). In this study, natural plant extracts and coatings were used to preserve the postharvest features of mango fruit. According to our knowledge, research still needs to be conducted on the effects of Aloe vera combined with chitosan and coconut oil on mango quality during storage. Therefore, this study evaluated the effects of Aloe vera gel, chitosan, and coconut oil coatings on fruit quality and antioxidant and biochemical changes during mango storage at ambient temperature.

MATERIALS AND METHODS
Fruit material

Mature mango fruits were taken from an orchard near the Hajee Mohammad Danesh Science & Technology University, Dinajpur-5200, Bangladesh. Mangoes were picked when their skins (peel) turned yellow at the bottom and remained green at the top. These are the typical stages of harvest for local producers (75–82 days old). The color of the fruit at the harvest stage was assessed visually.

Treatments and storage

For coated and control treatment, 72 physiologically ripe and healthy fruits (12 in each treatment) were immersed in 1% sodium hypochlorite for 3 minutes. The following six treatments were randomly assigned to six batches of fruits: control (distilled water), 1.5% chitosan solution (CH) (w/v), Aloe vera gel (AV) (1 : 1, v/v), coconut oil (CO) (1 : 1, v/v), 1.5% chitosan + A. vera gel (CH + AV) (1 : 1, v/v), and coconut oil + A. vera gel (CO + AV) (1 : 1, v/v). The fruits were coated for 5 minutes and dried at room temperature for 2 hours. Fruits were then divided into four groups. The first group was not stored – 0 days, the second group – 5 days, the third – 10 days, and the fourth group – 15 days of storage at ambient temperature (25 ± 2 °C) and relative humidity of 80–85%. After that, fruit samples were evaluated every 5 days for up to 15 days. Most mango growers and merchants cannot afford to invest in a temperature-controlled storage facility. The average mango season temperature in Bangladesh is about 25–32 °C. Mangoes are typically stored in that condition by the growers. So, in this experiment, we stored mangoes at ambient conditions (25 ± 2 °C).

Preparation chitosan coating

Chitosan solutions were prepared after Rhim et al. (1998) with some modifications. 1.5 g of chitosan powder was dissolved in a 1% solution of 100 ml of aqueous lactic acid (v/v) containing 1 ml of glycerin. The solution was harmonized by a magnetic stirrer at 25 °C for 4 hours and filtered through four layers of muslin cloth.

Preparation of Aloe vera gel coating

Leaves of A. vera were picked, and the parenchyma and outer layer were separated. The parenchyma was homogenized to create a mucilaginous gel and filtered to remove the fibrous materials (Song et al. 2013).

Preparation of chitosan + Aloe vera coating

Chitosan and Aloe vera combined solutions were prepared by Vieira et al. (2016) with slight modifications. In brief, a combination of chitosan and Aloe vera solution (1 : 1, v/v) was mixed for 4 hours at room temperature in a magnetic stirrer.

Preparation of coconut oil + Aloe vera coating

Aloe vera gel and coconut oil (1 : 1, v/v) were combined in a beaker and placed in a hot water bath, where they melted and formed a transparent liquid.

Weight loss, fruit firmness, and fruit decay

The weight loss percentage was calculated by using the following standard procedure: Weightloss%=Initialfruitweight(g)Fruitsweightontheobservationday(g)Initialfruitweight(g)×100. {\rm{Weight}}\,{{\rm loss }}\left( \% \right) = \frac{{{\rm{Initial}}\,{{\rm fruit}}\,{{\rm weight}}\;({\rm{g}}) - {\rm{ Fruit's}}\,{{\rm weight}}\,{{\rm on}}\,{{\rm the}}\,{{\rm observation}}\,{{\rm day}}\;({\rm{g}})}}{{{\rm{Initial}}\,{{\rm fruit}}\,{{\rm weight}}\;({\rm{g}})}} \times 100.

The subsequent formula used to determine decayed fruits: Decay(%)=NumberdecayedfruitsNumberinitialfruits×100. {\rm{Decay}}\;{\rm{(}}\% ) = \frac{{{Number}}\,{{decayed}}\,{{fruits}}}{{{Number}}\,{{initial}}\,{{fruits}}} \times 100.

Fruit firmness was determined using an HP-200 Force gauge (Handpi, China) and expressed in kilograms per square centimeter. The fruit sample was penetrated using a round stainless-steel probe with a 2 mm diameter. Three measurements were taken, and the average firmness was estimated.

Ascorbic acid, total soluble solids, titratable acidity, and pH

Ascorbic acid (AA) and titratable acidity (TA) were estimated by Islam et al. (2020). Total soluble solids (TSS) concentration was calculated as a percentage using a hand-held oil refractometer with a refractive index of 1.435–1.520 nD. A digital pH meter (HI 2211 pH/ORP, China) was used to monitor pH’.

Color

A colorimeter BCM-110 BCM-200 (Biobase, China) was used to measure the color of mango skin at two locations on opposing sides of the fruits and expressed as L* (positive value: lightness, negative value: darkness), a* (negative: green, positive: red), and b* (negative: blue, positive: yellow) values.

Total phenol content

According to Singleton and Rossi (1965), the total phenol content (TPC) of mango pulp was estimated with several modifications. Fruit pulp of 1 g was extracted with methanol (10 ml) and filtered using filter paper (Whatman No. 1). An aliquot (1 ml) was mixed with Folin–Ciocalteu reagents (0.5 ml) (Sigma Aldrich) and 7.5% (w/v) aqueous Na2CO3 solution (1 ml) was added. The volume was made up to 10 ml by adding distilled water. Samples were vortexed and kept in the dark at ambient temperature for 35 minutes, then centrifuged for 10 minutes at 4,000 rpm. An Elisa Microplate reader E-19, One Tech, China, was used to measure the absorbance at 765 nm against a blank. The TPC was expressed as milligrams of gallic acid equivalent (GAE) per 100 grams of fruit pulp.

Antioxidant activity by 2,2-diphenyl-1-picrylhydrazyl scavenging

Here, 1 g of pulp with 10 ml of methanol was integrated by a mortar and pestle and then filtered through filter paper (Whatman No. 1). Next, an extract of 0.1 ml with 1.9 ml of 2,2-diphenyl-1-picrylhydrazyl (DPPH) solution (0.3 mM) was placed in a Falcon tube, vortexed, and then kept in a dark area for 30 minutes. The standard curve was prepared using several concentrated Trolox solutions (0–1 μmol·g−1). The absorbance was measured at 517 nm with a spectrophotometer (UV 1800, Shaanxi, China) against a blank, and the results were expressed as micromole Trolox equivalent (TE) per gram of fruit pulp (Hossain et al. 2021).

Respiration rate and production of ethylene

Mango fruits were stored in a sealed plastic container holding septa for 2 hours (the incubation period) at room temperature to assess respiration rate and ethylene production. Then, the gas was taken using a syringe from the container and inspected using a gas analyzer to determine the respiration rate (CO2/O2 gas analyzer, FELIX, F-950 Three Gas Analyzer, USA). The ethylene gas analyzer needle was put into the container's headspace throughout the septa, and then C2H4 was calculated in microliters. Finally, respiration and ethylene production were calculated using fruit weight and volume, the gas volume of the container, and incubation time. Results for rate of respiration and ethylene synthesis were given in milliliters of CO2 per kilogram per hour and microliters of C2H4 per kilogram per hour, respectively (Nasrin et al. 2020).

Enzyme extraction and assays

The fruit pulp of 0.2 g was mixed in 3 ml of phosphate buffer (100 mM, pH 7, and 4% polyvinyl polypropylene) using a mortar and pestle and then centrifuged for 15 minutes at 12,000 rpm and aliquot stored at 4°C for further use.

Polyphenol oxidase (PPO) activity

According to Soliva et al. (2001), activity was evaluated with slight modifications. Shortly, 1,200 μL phosphate buffer solution (pH 7, 100 mM), 600 μL catechol (100 mM), and 600 μL enzyme extract were mixed. The absorbance was measured by a spectrophotometer (UV 1800, Shaanxi, China) at 410 nm for 2 minutes, and the activity was confirmed in units per milligram of fresh weight.

Catalase activity

According to Aebi (1983), catalase (CAT) activity was improving with slight modifications. A reaction solution containing 700 μL K2SO4 buffers (50 mM, pH 7), 100 μL H2O2 (200 mM), and 100 μL EDTA (2.5 mM) was mixed with 100 μL enzyme extract. Absorbance changes were documented at 240 nm for 2 minutes using a spectrophotometer (UV 1800, Shaanxi, China). CAT activity was expressed in units per milligram of fresh weight.

Peroxidase (POD) activity

Activity was assessed by adding 100 μL of enzyme extract, 100 μL of H2O2 (100 mM), 100 μL guaiacol (20 mM), 100 μL EDTA (2.5 mM), and 600 μL phosphate buffer (100 mM, pH 7). The absorbance was then measured with a spectrophotometer (UV 1800, Shaanxi, China) at 470 nm for 2 minutes, and the results were demonstrated in units per milligram of fresh weight (Chance & Maehly 1955).

Statistical analysis

The factorial arrangement was used in a completely randomized design with three replications (each replication contained four fruits) to analyze the data that had been collected. The experimental data were evaluated using analysis of variance (ANOVA). Variations resulted from the different coatings and storage times. All computations and calculations were done using the Statistical Tool for Agricultural Research (STAR, Version 2.0.1; IRRI, Laguna, Philippines). The LSD test calculated statistical differences between mean values (P ≤ 0.05). The principal component analysis (PCA) was used to identify potential relationships between variables using the R statistical program (version 4.3.1; R Core Team 2023).

RESULTS
Effect of coatings on quality parameters

As indicated in Figure 1A, all samples’ weight loss increased with storage progression, although the weight loss of control fruits was much higher than in other treatments. By the end of storage, CH + AV resulted in the minimum weight loss (9.8%), whereas control treatment resulted in the maximum weight loss (14.0%). The weight loss rates of the CH, AV, CO, and CO + AV gels were 10.8%, 10.9%, 13.8%, and 12.1%, respectively. The interaction between storage time and coating treatment greatly affected fruit firmness. Regardless of treatment, firmness steadily diminished throughout the storage period. The initial mango firmness value of 6.4 kg·cm−2 decreased dramatically over 15 days of storage, reaching values of 2.3 kg·cm−2, 2.1 kg·cm−2, 2.8 kg·cm−2, 1.8 kg·cm−2, 3.3 kg·cm−2, and 1.4 kg·cm−2 for control, CH, AV, CO, CH + AV, and CO + AV, respectively (Fig. 1B).

Figure 1.

Effect of storage time and fruit coatings on weight loss (A), firmness (B), and decay (C) of ‘Haribhanga’ mangoes during 15 days of storage at 25 ± 2 °C and 80–85% relative humidity

The vertical bars indicate the standard errors of the means (n = 3); the means indicated by the same letters do not differ significantly according to LSD test (p < 0.05); control – distilled water, CH – 1.5% chitosan solution, AV – Aloe vera gel, CO – coconut oil, CH + AV – 1.5% chitosan + A. vera gel, and CO + AV – coconut oil + A. vera gel

Fruit decay began between days 5 and 10 of storage in the control, AV, and CO + AV treatments. After 15 days, decay occurred in all treatments, the highest in control (over 16%) and CO (15.5%) and the lowest in CH + AV (8.4%) and CH (10%) (Fig. 1C).

Edible coatings and storage duration exhibited a substantial effect on mango ascorbic acid, TSS, TA, and pH (Table 1). The initial level of ascorbic acid was 28.2 mg·100 g−1 and decreased significantly with storage time in all treatments. CH and CH + AV-coated mango retained the most ascorbic acid during storage – 22.33 and 21.40 mg·100 g−1, compared to 16.11 mg·100 g−1 in the control. The TSS content in mango fruits increased noticeably during storage, reaching the highest value (17.32%) after 15 days. Compared to the control, the mangoes coated with CH + AV displayed a reduced mean TSS (9.20%), statistically similar to the AV-coated fruits. Significant results were also obtained for the interactions between treatments and storage time. The fruits coated with CH + AV and the control had the lowest (11.7%) and highest (22.5%) TSS after 15 days of storage. The initial TA concentration (0.12%) was permanently reduced by half within the first five days of storage. The highest mean percentage of TA (0.14%) over the entire storage time was observed in fruits coated with CH + AV. The pH of the fruit increased with the storage time. Fruits treated with CO + AV had the lowest mean pH values (4.31) compared to control fruits (4.92).

Table 1.

Effect of storage time and fruit coating treatments on ascorbic acid, TSS, TA, and pH of mango fruit (‘Haribhanga’) during storage at 25 ± 2 °C and 80–85% relative humidity for 15 days

Storage time (days)051015Mean (coatings)
Ascorbic acid (mg·100 g−1)

Control28.2 ± 0.46a16.7 ± 0.37de14.7 ± 0.5fg12.2 ± 0.36i16.11C
CH28.2 ± 0.31a23.1 ± 1.22b19.8 ± 0.49c12.9 ± 0.58hi21.33A
AV28.2 ± 0.41a19.8 ± 0.44c17.5 ± 0.29d13.8 ± 0.46gh18.63B
CO28.2 ± 0.48a19.7 ± 0.18c16.5 ± 0.24de14.3 ± 0.38gh19.12B
CH+AV28.2 ± 0.6a22.3 ± 0.38b19.4 ± 0.78c15.8 ± 0.43ef21.40A
CO+AV28.2 ± 0.83a17.5 ± 0.29d13.6 ± 0.33gh11.6 ± 0.3i16.72C
Mean (storage periods)28.2A19.84B16.91C13.41D

TSS (%)

Control6.1 ± 0.09m13.4 ± 0.1g15.2 ± 0.15d22.5 ± 0.29a14.29A
CH6.1 ± 0.07m12.9 ± 0.19h14.3 ± 0.15f17.7 ± 0.44c12.68C
AV6.1 ± 0.09m9.0 ± 0.09k10.5 ± 0.29j12.0 ± 0.09i9.33D
CO6.1 ± 0.06m15.0 ± 0.12e15.0 ± 0.06e18.7 ± 0.15b13.66B
CH+AV6.1 ± 0.06m8.4 ± 0.23l10.5 ± 0.29j11.7 ± 0.27i9.20D
CO+AV6.1 ± 0.09m13.4 ± 0.09g15.9 ± 0.19h22.4 ± 0.1a14.44A
Mean (storage time)6.1D12.01C13.73B17.32A

TA (%)

Control0.15 ± 0.01a0.14 ± 0a0.13 ± 0.01b0.10 ± 0de0.13B
CH0.15 ± 0.01a0.13 ± 0bc0.12 ± 0bc0.11 ± 0de0.13B
AV0.15 ± 0.01a0.13 ± 0.01b0.11 ± 0cd0.09 ± 0fg0.12C
CO0.15 ± 0.01a0.11 ± 0de0.09 ± 0ef0.07 ± 0g0.11D
CH+AV0.15 ± 0.01a0.15 ± 0a0.14 ± 0.01b0.12 ± 0de0.14A
CO+AV0.15 ± 0.01a0.10 ± 0de0.11 ± 0.01de0.10 ± 0ef0.11D
Mean (storage time)0.15A0.13B0.12C0.10D

pH

Control3.4 ± 0.02m3.8 ± 0.01l6.0 ± 0.06b6.5 ± 0.03a4.92A
CH3.4 ± 0.02m4.1 ± 0.02j5.4 ± 0.03de6.4 ± 0.06a4.82B
AV3.4 ± 0.02m5.0 ± 0.01h5.1 ± 0.03g5.7 ± 0.06c4.82B
CO3.4 ± 0.01m3.8 ± 0.02l4.9 ± 0.06h5.2 ± 0.06fg4.33D
CH+AV3.4 ± 0.02m4.0 ± 0.01k5.3 ± 0.03ef5.4 ± 0.03d4.52C
CO+AV3.4 ± 0.01m3.8 ± 0.03l4.6 ± 0.06i5.4 ± 0.06d4.31D
Mean (storage time)3.4D4.07C5.21B5.77A

Mean followed by the same letter (s) is not significantly different within the columns or rows according to an LSD test (P < 0.05); n = 3 replicates, ± SE, control – distilled water, CH – 1.5% chitosan solution, AV – Aloe vera gel, CO – coconut oil, CH + AV – 1.5% chitosan solution + A. vera gel, CO + AV – coconut oil + A. vera gel

Regardless of treatment, the skin brightness (L*) value indicated a diminishing tendency as storage time progressed (Fig. 2A). Control fruits had a significantly lower L* value compared to coated fruits throughout storage. Fruits coated with CH and CH + AV had higher L* values during storage. Their value after 15 days was 43.3 and 44.5 compared to L* 32.6 of control fruits. In the remaining treatments, the fruits had intermediate values. The a* values increased with storage time. After 15 days of storage, the CH + AV-coated fruits had the lowest (−3.2) a* value, whereas the control and the CO + V-coated fruits had the highest (−1.9) a* value (Fig. 2B). The b* values decreased consequently after 5 days of storage. Through all the storage, the value of the fruits coated with CH + AV had the highest b* values (Fig. 2C).

Figure 2.

Effect of storage time and fruit coatings on color parameters (L*, a* and b*) of ‘Haribhanga’ mangoes during 15 days of storage at 25 ± 2 °C and 80–85% relative humidity

Note: see Figure 1

Effect of coatings on phenol content and scavenging activity

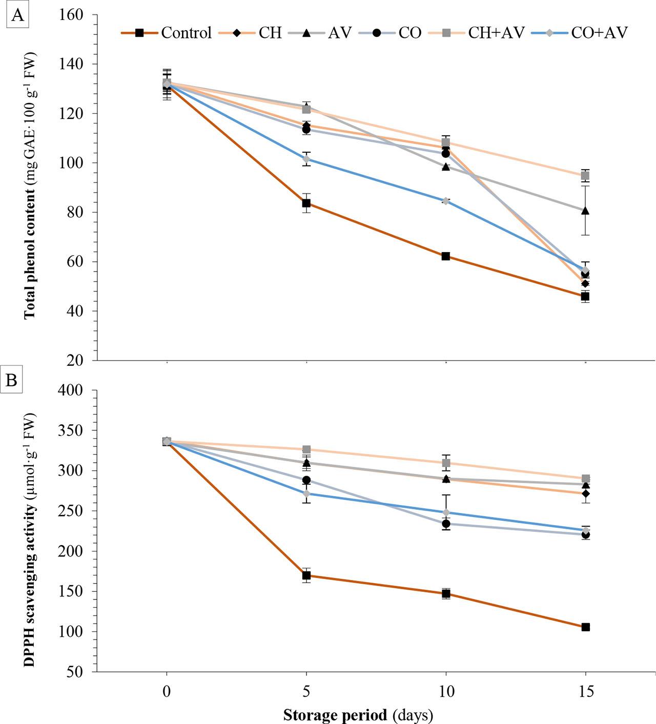
TPC in mango fruits decreased significantly in all treatments during storage, and most significantly in control fruits (46.0 mg GAE·100 g−1 FW) (Fig. 3A). The highest TPC was in fruits coated with CH + AV (94.8 mg GAE·100 g−1 FW).

Figure 3.

Effect of storage time and fruit coatings on the content of phenols (A) and antioxidants (B) in ‘Haribhanga’ mangoes during 15 days of storage at 25 ± 2 °C and 80–85% relative humidity

Note: see Figure 1

The DPPH scavenging activity in all coated fruits and control progressively decreased with storage time. However, the rate of reduction was faster in control fruits. At the end of storage, the highest DPPH activity was observed in fruits coated with CH + AV, AV, and CH – 290.3 μmol·g−1 FW, while in the noncoated control it was 105.5 μmol·g−1 FW (Fig. 3B).

Effect of coatings on respiration rate and production of ethylene

As seen in Figure 4A, the initial respiration rate was 17.4 ml CO2·kg−1·h−1, which increased significantly during 5 days of storage before dropping. The highest value of 49.3 ml CO2·kg−1·h−1was found in control fruit, and 21 ml CO2·kg−1·h−1 in CH + AV-coated fruit, before a slight decrease or stabilization. Coated fruit released less ethylene than noncoated fruit during storage. Noncoated fruit showed the highest ethylene production, followed by CO-coated fruit (Fig 4B). It may be inferred that the coated treatments, independent of storage length, significantly delayed fruit ripening by suppressing ethylene production during storage. After 15 days of storage, fruit treated with CH + AV and CH had the lowest ethylene level (0.2 μl C2H4·kg−1·h−1) compared with control fruits (0.9 μl C2H4·kg−1·h−1) and CO-coated (0.7 μl C2H4·kg−1·h−1).

Figure 4.

Effect of storage time and fruit coatings on respiration rate (A) and ethylene production (B) of ‘Haribhanga’ mangoes during 15 days of storage at 25 ± 2 °C and 80–85% relative humidity

Note: see Figure 1

Effect of coatings on antioxidant enzymes

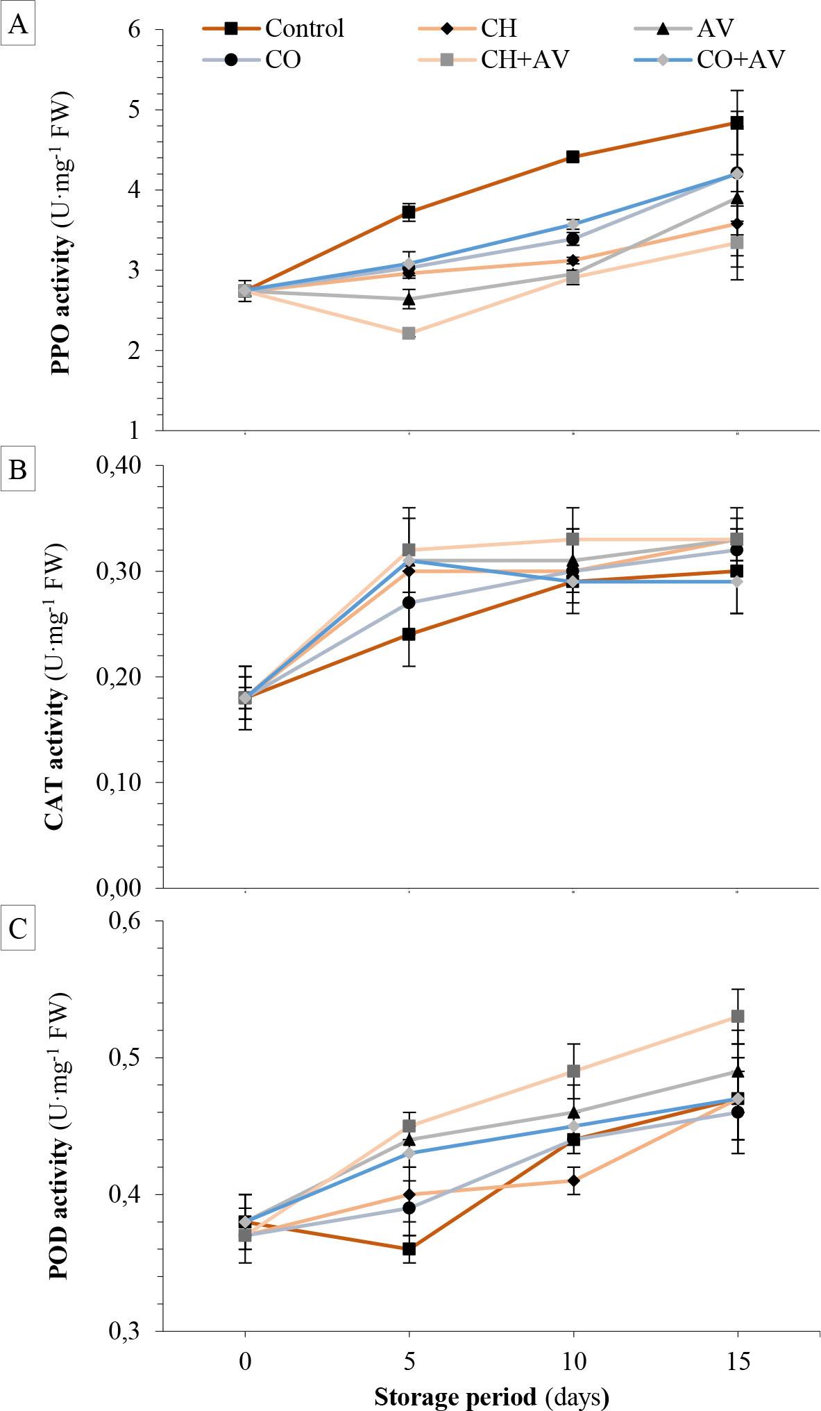
PPO activity increased gradually during storage and was highest in noncoated and CO-coated fruit, followed by CO + AV (Fig. 5A). CAT activity increased over five days of storage in all treatments. An increase in CAT activity was observed in control and CO-coated fruit until the tenth day (Fig. 5B). POD enzyme activity also increased over time (Fig. 5C) and was highest in CH + AV-coated fruit, followed by AV-coated fruit. The only exception was noncoated fruit, in which POD activity decreased during the first five days of storage.

Figure 5.

Effect of storage time and fruit coatings on polyphenol oxidase (PPO) (A), catalase (CAT) (B), and peroxidase (POD) (C) activity of ‘Haribhanga’ mangoes during 15 days of storage at 25 ± 2 °C and 80–85% relative humidity

Note: see Figure 1

Principal component analysis (PCA)

PCA was applied to analyze several biochemical constraints and antioxidant enzymes to assess the effect of various treatments on postharvest mango fruit quality (Fig. 6). The data revealed that two principal components, PC1 and PC2, accounted for 87.8% of the overall variance. PC1 explained 79.3% of the variation in the dataset, whereas PC2 explained 8.5% of the variance. Positive correlations between PC1 and the firmness, ascorbic acid, titratable acidity, TPC, antioxidant activity, CAT and POD enzymes, b* and L* values were found. Conversely, there was a negative correlation of PC1 and weight loss, TSS, occurrence of decay, respiration, ethylene, PPO enzyme, and a* value of skin. Only TSS and b* value were positively correlated with PC2; in contrast, pH was strongly negatively correlated. The DPPH, CAT, ascorbic acid, and TPC exhibited a high positive correlation with CH and CH + AV treatments, but fruit firmness was strongly connected with AV. In contrast, TSS, weight loss, and respiration had stronger associations with the treatment of CO and CO + AV. The skin color (a*), ethylene production, PPO, and decay incidence exhibited positive correlations with control samples.

Figure 6.

Principal component loading plot of physiochemical and antioxidant enzymes activities of ‘Haribhanga’ mangoes during storage

Note: see Figure 1

DISCUSSION
Effect of coatings on quality parameters of mango fruits

Weight loss can be related to water loss from the cells of the fruit induced by respiration and transpiration processes. Water loss during postharvest storage is a serious issue, causing weight loss and changes in texture, appearance, and shriveling (Ncama et al. 2018). Edible coatings form semipermeable barriers that limit transpiration, respiration, and ethylene production (Falguera et al. 2011). AV improved the water retention capacity in tomatoes when combined with other edible coatings (Chauhan et al. 2015). Duan et al. (2019) reported that CH coating extended the shelf life of mango fruit and reduced weight loss without affecting the fruit's flavor, aroma, or digestibility. Our findings agree with Seyed et al. (2021), who found that CH + AV significantly slowed the weight loss of mango fruit during storage at room temperature. Shah and Hashmi (2020) found that applying CH + AV coating can enhance mango fruit weight reduction, similar to what we found.

Firmness is a crucial mango quality indicator for customers since it indicates the ripening phases of the fruit and is also predictive of the shelf life and quality of fresh fruit (Dotto et al. 2015). The fruit ripening stage is often accompanied by softening of the texture and modifications of the cell walls, which results in increased pectin solubility. As a result, the coating may preserve fruit firmness by lowering cell wall activity and degrading enzymes, for example, polygalacturonase (PG), pectin methylesterase (PME), and galactosidase (Rastegar & Atrash 2021). It is widely assumed that the effect of coatings on firmness preservation is primarily related to reducing enzyme activity, respiration, and metabolic activity; consequently, the ripening process is hampered by the limitation of gas exchange, moisture loss, and moisture movement from the fruit skin (Hassan et al. 2018). The chitosan coating effectively preserved mango firmness, corresponding with Cosme Silva et al. (2017) report. Our findings demonstrated that the CH coating alone or combined with AV successfully delayed mango fruit firmness, coinciding with Rastegar and Atrash (2021) results.

Ascorbic acid is one of the strongest antioxidants in fruit, scavenging reactive oxygen species (ROS) and free radicals during ripening (Fenech et al. 2018). L-ascorbic acid is converted into dehydroascorbic acid during oxidation, which may cause of the ascorbic acid's decline as storage time advances (Akram et al. 2017). In this experiment, the use of CH and AV, alone or in combination, can help reduce surface permeability to oxygen and carbon dioxide and regulate ascorbic acid losses in fruit. These results are in close agreement with those of Khalil et al. (2022), who found that the use of CH in the treatment of mango increased vitamin C content compared to other treatments, and Shah and Hashmi (2020), who found that mango fruit provided large amounts of vitamin C as a result of CH + AV coating.

The progressive increase in TSS during the fruit's postharvest storage might be caused by water loss, starch degradation into simple sugars, or cell wall polysaccharides being hydrolyzed (Seyed et al. 2021). Nevertheless, edible coatings can prevent drastic increases in TSS by restricting respiration and reducing the metabolic rate in the covered fruits (Dong & Wang 2018). Aloe vera alone or combined with chitosan had reduced TSS throughout mango storage, consistent with the findings of Yin et al. (2019) and Yu et al. (2021).

Fruit TA is progressively reduced with storage and a dramatic fall signals senescence (Shah & Hashmi 2020). The higher TA value in the coated fruits may be attributable to reduced gas exchange and, as a result, the fruit respiration rate, avoiding the oxidation of organic acids (Cosme Silva et al. 2017). Previous results showed that coating mango fruits with Aloe vera gel with chitosan increased TA content (Seyed et al. 2021). Regardless of treatment, TA decreased while pH increased during storage. The pH of strawberries increased after storage under greater control than in AV-coated fruit (Sogvar et al. 2016).

The color of the skin promotes consumer acceptance, which increases the market value of the fruit. Fruits are attractively bright and greenish when harvested. Still, the greenish hue progressively fades to yellowish or reddish yellow owing to the breakdown of chlorophyll pigment into carotenoids, anthocyanins, and xanthophyll. The findings of this study showed that the L* value gradually decreased in all treatments, while slowly degrading value in the coated fruits than in the control. In this study, all coated fruits prevented the loss of greenness (a*) during storage compared to the control. Previous research has shown that coated fruits may delay chlorophyll degradation, act as a barrier for gaseous exchange, and limit respiration rate, eventually extending shelf life with a skin greenness hue (Lo’ay & Taher 2018). Similarly, guava fruits covered with A. vera gel showed less chlorophyll loss during storage than the control (Rehman et al. 2020). In this regard, Seyed et al. (2021) discovered that the combination of AV with CH reduced fruit color change during storage compared to the control. Based on visual appearance, CH and AV-coated fruits had a superior skin color after 15 days of storage compared to control and other treatments.

The primary causes of mango fruit damage include postharvest diseases and fast ripening (Khaliq et al. 2019). In horticultural commodities, chitosan coating significantly reduced the frequency of disease-induced degradation of mango fruit while maintaining fruit quality (Hasan et al. 2020). Chitosan postharvest treatment is well-known for its antimicrobial activity (Basumatary et al. 2021). It can destroy the plasma membrane of pathogen spores, stifle mycelial development, and cause harm to the fungal cytoplasm (El Hadrami et al. 2010). Similarly, AV coating, single or combined with other treatments, can improve apricot shelf life quality by delaying microbial degradation (Nourozi & Sayyari 2020). In this study, with CH alone or combined with AV treatment, the frequency of deterioration in mango fruits during storage was significantly minimized.

Effect of fruit coating on the bioactive compound and antioxidant activity of mango fruit

Phenolic compounds that have the effect of fruit retaining their nutritional properties (color, flavor, astringency, acidity, and bitterness), which are continuously lost as the fruit ripens during storage. Phenols are secondary plant metabolites that scavenge ROS and in a result increase antioxidant capabilities (Swallah et al. 2020). Edible coatings play an essential role in phenolic component metabolism by modifying the environment surrounding the fruit and lowering rates of respiration and oxidation (Hassan et al. 2018). The findings of the current study are comparable to those of Seyed et al. (2021), who discovered that the use Aloe vera gel and chitosan coatings had a positive effect on the retention of phenolic components in mango during storage.

During fruit ripening and storage, ROS production increases, causing oxidative stress due to fruit degradation. Fruits can scavenge ROS through the enzymatic activities of CAT, superoxide dismutase, ascorbate peroxidase, and nonenzymatic antioxidant systems (phenolic substances, ascorbic acid, and glutathione). Our findings concerning superoxide dismutase are consistent with those of Shah and Hashmi (2020) and Seyed et al. (2021), who found that DPPH scavenging activity was enhanced in mango after post-harvest treatment with Aloe vera and chitosan. They further claimed that the enhanced DPPH scavenging activity could be attributed to the higher phenol content in mango treated with Aloe vera or chitosan. Similarly, the antioxidant activity of DPPH was retained during storage of banana fruit coated with Aloe vera (Khaliq et al. 2019). A similar tendency was found in guava fruits covered with Aloe vera, showing increased overall antioxidant levels (Rehman et al. 2020).

Effect of fruit coatings on respiration rate and ethylene production

Due to their climacteric nature and short shelf life when kept at room temperature, mangoes have limited marketing opportunities in faraway places (Sousa et al. 2021). The shelf life of fruit can be extended by using edible coatings that limit gaseous exchange and slow down fruit respiration and the accompanying physiological processes. The outcomes of the current investigation are consistent with those of Chauhan et al. (2015), who reported that chitosan and Aloe vera seem to be plasticized polymers that restrict oxygen access while storing CO2 in fruit tissues. Chitosan forms a thin layer on the fruit surface, acting as a barrier to gas and environment replacement, affecting respiration and maturation of the fruit (Ali et al. 2019).

Throughout the ripening process, ethylene synthesis increases. It is usually accepted that ethylene production during climacteric ripening results in signal transduction, which raises the expression of genes encoding enzymes that control ripening traits, including color, flavor, texture, and scent (Dautt-Castro et al. 2019). Ethylene production is also affected by fruit respiration rate, which was reduced by CH + AV treatment; thus, coated fruits may contain significantly less ethylene (Shah & Hashmi 2020). A similar pattern was found in oranges treated with guar gum and pea starch, which resulted in lower ethylene production (Saberi et al. 2018). This study confirmed that combination of A. vera gel and chitosan reduces ethylene production in mango fruit.

Effect of fruit coatings on antioxidant enzymes

The expression of genes encoding enzymes involved in the antioxidant system of fruit, such as PPO, POD, and CAT, rises during ripening; also, endogenous defense against the formation of damaging ROS has been described (Lo’ay & EL-Ezz 2021; Yu et al. 2021). During the oxidation of phenolic compounds to quinones, the PPO enzyme causes browning of the tissues of most horticultural crops. As a result, PPO may be linked to browning (Rastegar et al. 2021). Coating treatments lowered PPO activity, which may have triggered defense-related enzymes and avoided mango fruit browning and prolonged storage (Adiletta et al. 2019). Endogenous CO2, O2, and ethylene from chitosan coating on fruit surfaces may have slowed PPO action and enzymatic browning (Romanazzi et al. 2018). This study discovered that coating treatments reduced PPO activity, which may have activated defense-related enzymes and increased fruit protection. These findings agree with earlier research published by Deng et al. (2015), who found that chitosan treatment reduces PPO activity and improves tomato quality during storage. Similarly, Molamohammadi et al. (2020) discovered that pistachio fruit coated with chitosan and salicylic acid had decreased PPO activity, which was caused by a reduction in the availability of gases, especially O2 (Petriccione et al. 2015). Higher CAT activity helps with O2 elimination and H2O2. Our findings are similar to those of Shah and Hashmi (2020), who observed that coating mango fruits with chitosan enhances CAT activity. Ali et al. (2019) stated that Aloe vera gel coating increases the CAT activity in litchi fruit under storage. Similar results have been published, showing that avocado fruit coated with Aloe vera increases CAT enzyme activity compared to control fruits (Khaliq et al. 2019). POD is a unique oxyradical detoxifying enzyme found in fruits that may aid in the reduction of oxidative damage (Xing et al. 2015). The above observations are nearly identical to those of Deng et al. (2015), who discovered that chitosan coatings enhance POD activity in oranges. Similarly, Xing et al. (2015) observed that a chitosan coating and cinnamon oil impacted the enhanced POD activity in jujube fruits, effectively encouraging fruit disease resistance throughout storage.

CONCLUSION

The findings of this study showed that combination of chitosan with Aloe vera coating might enhance the postharvest value of ‘Haribhanga’ mango fruit by reducing weight loss and declining changes in TSS, thereby expanding the shelf life of mangoes. Aloe vera gel with chitosan coating effectively reduces postharvest decay and preserved fruit quality characteristics such as ascorbic acid, titratable acidity, firmness, and skin color for 15 days of storage at ambient temperature. During storage, this coating enhances the activity of CAT and POD antioxidant enzymes while decreasing PPO. The combination of Aloe vera and chitosan increases the content of bioactive substances such as total phenol and antioxidants in mango fruit compared to the noncoated control. Additionally, Aloe vera and chitosan coatings substantially reduce the rate of respiration and ethylene production, thereby delaying fruit ripening. Given the potential for widespread concern about human health, edible coatings like chitosan and Aloe vera may be suggested to improve mango storage quality. Further study is required to commercialize edible coatings in mango fruit storage.

DOI: https://doi.org/10.2478/johr-2023-0024 | Journal eISSN: 2353-3978 | Journal ISSN: 2300-5009
Language: English
Page range: 79 - 96
Submitted on: May 1, 2023
Accepted on: Sep 1, 2023
Published on: Dec 11, 2023
Published by: National Institute of Horticultural Research
In partnership with: Paradigm Publishing Services
Publication frequency: 2 issues per year

© 2023 Lajina Begum, Maruf Ahmed, Atikur Rahman, Hassanur Rahman, Sadia Arfin, Nazmin Akter, Tariqul Islam, published by National Institute of Horticultural Research
This work is licensed under the Creative Commons Attribution 4.0 License.