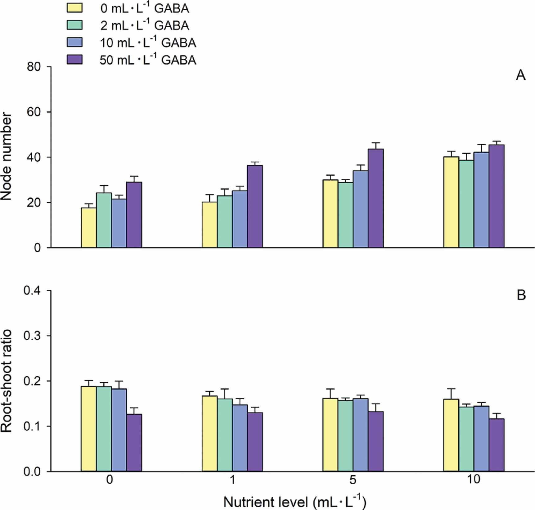
Figure 1.

Figure 2.

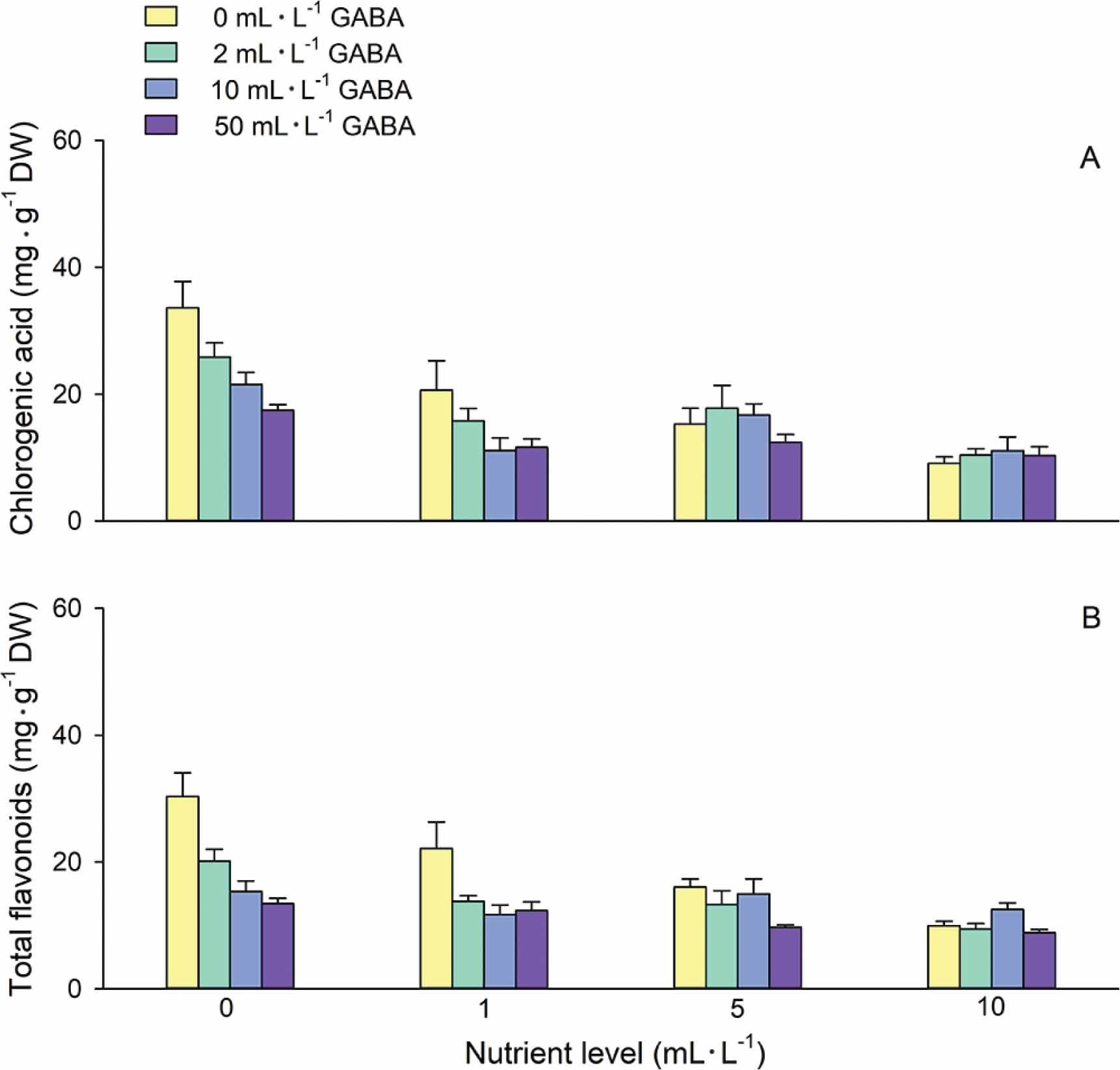
Figure 3.

Figure 4.

ANOVA results for the effects of GABA and nutrients on contents of chlorogenic acid and total flavonoids in the shoots of Glechoma longituba in all treatments_
| Variable | GABA (G) | Nutrient (N) | G × N | |||
|---|---|---|---|---|---|---|
| F3,61 | p | F3,61 | p | F9,61 | p | |
| Chlorogenic acid | 25.724 | <0.001 | 3.667 | 0.017 | 1.694 | 0.110 |
| Total flavonoids | 20.302 | <0.001 | 12.917 | <0.001 | 2.964 | 0.005 |
ANOVA results for the effects of GABA and nutrients on total dry mass, shoot dry mass, root dry mass, node number and root-shoot ratio of Glechoma longituba in all treatments_
| Variable | GABA (G) | Nutrient (N) | G × N | |||
|---|---|---|---|---|---|---|
| F3,61 | p | F3,61 | p | F3,61 | p | |
| Total dry massa | 3.417 | 0.023 | 17.811 | <0.001 | 0.444 | 0.906 |
| Shoot dry massa | 4.475 | 0.007 | 19.616 | <0.001 | 0.468 | 0.890 |
| Root dry massa | 0.129 | 0.942 | 7.299 | <0.001 | 0.278 | 0.978 |
| Node number | 15.914 | <0.001 | 42.325 | <0.001 | 1.051 | 0.412 |
| Root-shoot ratioa | 6.484 | 0.001 | 2.593 | 0.061 | 0.312 | 0.968 |
ANOVA results for the effects of GABA and nutrients on contents of soluble sugar and protein in the shoots of Glechoma longituba in all treatments_
| Variable | GABA (G) | Nutrient (N) | G × N | |||
|---|---|---|---|---|---|---|
| F3,60 | p | F3,60 | p | F9,60 | p | |
| Soluble sugar | 2.362 | 0.080 | 50.749 | <0.001 | 0.779 | 0.636 |
| F3,61 | P | F3,61 | P | F9,61 | P | |
| Protein | 2.352 | 0.081 | 0.922 | 0.436 | 1.197 | 0.313 |