Figure 1.

Figure 2.

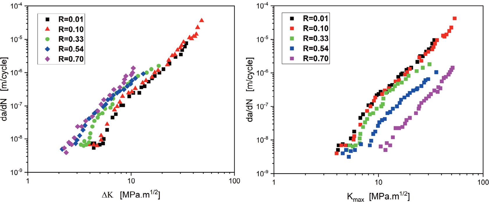
Figure 3.

Figure 4.

Figure 5.

Figure 6.

Figure 7.

Figure 8.

Figure 9.

Figure 10.

Figure 11.

Figure 12.

Figure 13.

Figure 14.

Figure 15.

Figure 16.

Figure 17.

Figure 18.

Figure 19.

Figure 20.

Figure 20.

Mechanical properties of the aluminum alloy 2024 T351_
| yield stress (MPa) | ultimate tensile strength (MPa) | elongation (%) | cyclic strength coefficient, K′ (MPa) | Hardening coefficient, n |
| 318 | 524 | 12.8 | 652 | 0.104 |
Transition-related parameters_
| R | 0.01 | 0.10 | 0.33 | 0.54 | 0.70 | |
|---|---|---|---|---|---|---|
| T1 | ΔK | 8 | 7.5 | 6 | 6 | 5 |
| Kmax | 8.5 | 8.5 | 9 | 12 | 15 | |
| da/dN | 10−8 | 10−8 | 8 × 10−9 | 7.5 × 10−9 | 8 × 10−9 | |
| T2 | ΔK | 12 | 11 | 9 | 7 | 7 |
| Kmax | 12 | 12 | 12 | 15 | 23.3 | |
| da/dN | 1.30 × 10−7 | 1.30 × 10−7 | 1.70 × 10−7 | 7.2 × 10−8 | 2 × 10−7 | |
| T3 | ΔK | 19.8 | 18 | 21 | 13 | 12 |
| Kmax | 20 | 20 | 31 | 28 | 37 | |
| da/dN | 3 × 10−6 | 3 × 10−6 | 1.6 × 10−6 | 7 × 10−7 | 4 × 10−7 | |
Lifespan in number of blocks and relative error_
| Block | Number of blocks | Error (%) | |
|---|---|---|---|
| A | Measured Maachou et al. (2016) Present model Elber (1976) | 75120 | - |
| B | Measured Maachou et al. (2016) Present model Elber (1976) | 23900 | - |
| C | Measured Maachou et al. (2016) Present model Elber (1976) | 9600 | - |
| D | Measured Maachou et al. (2016) Present model Elber (1976) | 5500 | - |
Nomenclature
| symbols | Designations | symbols | Designations |
|---|---|---|---|
| da/dN | Crack growth rate (m/cycle) | Qi | Energy dissipated per cycle i |
| A | a dimensionless constant | Qenv | Enclosed energy (total area enclosed by all the cycles) |
| A | Elongation (%) | R | Load Ratio |
| B | Thickness (mm) | S1, S2 | Ductile and brittle Striations |
| D1, D2 | Dimples | US | Specific energy (J/m2) |
| Kmin, Kmax | Minimal and maximal stress intensity factor (MPa.m1/2) | W | Width (mm) |
| K′ | Cyclic strength coefficient (MPa) | α | The maximum specimen compliance during a cycle and Po |
| ΔK | Amplitude stress intensity factor (MPa.m1/2) | δ, δ′ | Crack opening displacement (mm) and differential crack opening (mm) |
| L | Length (mm) | γ | Energy necessary for creating surface (J/m2) |
| n | Hardening coefficient | μ | Shear modulus, MPa |
| Pmin, Pmax | Minimum and maximum load (N) | σc | Critical stress at fracture MPa |
| Po | Crack opening load (N) | σu | Ultimate tensile strength (MPa) |
| Q | hysteretic energy dissipated (J/cycle) | σy | yield stress (MPa) |
Nominal composition of the aluminum alloy 2024 T351_
| Element | Si | Fe | Cu | Mn | Mg | Cr | Zn | Ti | Al |
| Mean % | 0.90 | 0.22 | 4.46 | 0.66 | 1.5 | 0.01 | 0.04 | 0.02 | rest |
Loading conditions under constant amplitude loading_
| R | 0.01 | 0.10 | 0.33 | 0.54 | 0.70 | |||
|---|---|---|---|---|---|---|---|---|
| Pmin (daN) | 4 | 6 | 40 | 50 | 158 | 178 | 324 | 588 |
| Pmax (daN) | 400 | 600 | 400 | 500 | 480 | 540 | 600 | 840 |
| ΔP (daN) | 396 | 594 | 360 | 450 | 322 | 362 | 276 | 252 |
Different load levels with specific steps_
| Type of spectrum | Level 1 | Level 2 | Level 3 | Level 4 |
|---|---|---|---|---|
| N1 | N2 | N3 | N4 | |
| A | 1 | 1 | 1 | 1 |
| B | 10 | 10 | 10 | 2 |
| C | 10 | 10 | 50 | 2 |
| D | 10 | 10 | 100 | 2 |
Repartition of features at da/dN = 5 × 10−7 m/cycle_
| R | 0.10 | 0.70 |
|---|---|---|
| % Striations | 60 | 30 |
| % Dimples | 15 | 30 |
| Kmax [MPa.m1/2] | 13 | 31.27 |