Ultraviolet B (UV-B) radiation had deleterious effects on plants (1). These changes included the production of reactive oxygen species (ROS), serious damage at the DNA level, a decrease of water use efficiency rate, impair photosynthesis and decrease in biomass productivity of plants (1, 2). On the other hand, synthesis of plant secondary metabolites stimulated at low level exposure to UV-B, and played a regulatory role in antioxidant defense mechanism (3). These compounds include phenols, flavonoids, anthocyanin, alkaloids and terpenoids (3). Pharmaceutical and culinary properties of medicinal and aromatic plants associated with these plant health sensory secondary compounds. Therefore, even though UV-B triggers the secondary metabolic pathway, it may serve as a significant stimulator for plant antioxidant activity. Due to this concern, UV-B is proven as beneficial aspect in case of medicinal and aromatic plants (4, 5), if supplemented below sub-lethal dose (6).
Secondary metabolites derived from the intermediates of primary housekeeping metabolism and the compounds are not important for plant growth. But these compounds acted as components of plant defense, chemical messengers, and transcription regulators (3). Synthesis of phenolics and flavonoids increased in response to UV-B radiation for the screening of the radiation and oxidative stress via antioxidant effects. (7). Thus the defensive mechanism operates during UV-B stress had beneficial effects that improved culinary and medicinal qualities of spices and medicinal plants. Evidently, ultraviolet radiation resulted in an increment of antioxidants such as tocopherol, ascorbic acid, and flavonoids (8, 9).
Phenolics had health promotive activities in human including prevention of cancer and oxidative stress associated disorders (10, 11). Most of the studies of the UV-B effect on plants showed an increase of phenolics (3). These compounds mitigated the deleterious effects UV-B induced oxidative stress (12). Sweet flag and blueberries responded to UV-B radiation with an increment in antioxidant activity through an increase in the content of phenolics (12, 13). Phenolics absorbed ultraviolet radiation between 270 and 290 nm, and therefore these compounds called as UV screening agents. Flavonoids rapidly induced by UV-B exposure. This response was directly linked to both increases in activity of enzymes participate in flavonoid biosynthesis. One of the well studied enzyme response during UV-B radiation was phenylalanine ammonia lyase (14). Transcription factors involved in synthesis and channeling of flavonoids also responded to UV-B radiation with an increase of flavonoids in the cell (14).
UV-B supplementation in a controlled manner increased the aromatic oil content of the plants (9). An increase of essential oil and changes in the ingredients of volatile oils observed in Ocimum basilicum, Mentha piperata, Glycyrrhiza uralensis (15, 16, 17).The chemical changes in the essential oil composition found to decrease the toxic chemicals in medicinal plants. For example, b- asarone which is a potentially toxic constituent an important Indian medicinal plant Acorus calamus decreased after UV-B supplementation (10). Thus, UV-B treatment poses beneficial changes on metabolism that improve medicinal as well as aromatic qualities. Trigonella foenum-graecum L. (Methi) is an annual, leguminous plant in the family Fabaceae. The fresh leaves and seeds of the plant used as a green vegetable and spice respectively. Leaves consist of three oblong to obovate leaflets and are aromatic. Apart from the aroma, the plants are a good source of calcium, phosphorous, iron, and polyphenolics with antioxidant properties (11, 18). The major medicinal properties of this plant are hypoglycemic, hypocholesterolemic, anti-lipidemia, hepatoprotective, anti-inflammatory, anti-bacterial, anti-fungal, anti-ulcer, anti-lithigenic and anti-carcinogenic (18). Studies also demonstrated the medicinal properties of Trigonella seeds as a carminative, gastric stimulant, antidiabetic and galactogogue (lactation-inducer) (19). Leaf of this plant is known for its appetizing fragrance and is a basic ingredient in many Indian culinary preparations. It is assumed that UV-B treatment increase medicinal and aromatic ingredients in the plants. Therefore, the present study intended to evaluate UV-B induced responses in Trigonella for captive farming aim towards enhancement in medicinal and aromatic values of the plant.
Trigonella seeds sterilized in 5.0 % hydrogen peroxide for 15.0 min and thereafter cleaned using double distilled water. Germination of seeds performed at a light intensity of 50.0 + 5.0 μmol photons m-2 s-1 inside a pot containing soil. The soil airdried and sieved (3 mm) for removing debris of root and tiny particles of stones prior to pot culture. Seedlings of 21.0 days of growth selected for U VB supplementation.
UV-B treatments performed with UV-B light having an intensity of 3.0 KJ/Sec (Fig. 1). Daily UV-B treatment performed on two separate groups of plants for 4.0 hrs and 8.0 hrs respectively along with white light (14.0 hrs). Control plants maintained under 14.0 hrs of white light exposure daily. White light intensity (700.0 + 5.0 μmol photons m-2 s-1), photoperiod (18.0 hrs light and 6.0 hrs dark), temperature (25.0 + 2 oC) and water supply (20.0 mL per day) and relative humidity (50.0 + 10.0 %) maintained all the 7.0 days of the experimental tenure.

Experimental plant and UV-B light exposure: a. Trigonella plants; b. Plants under white light; c. Plants under UV-B light.
Chlorophyll and carotenoids quantified using leaf extract in acetone: dimethyl sulphoxide (50:50). The optical density of leaf extract measured at 470.0, 646.0 and 663.0 nm and content of pigments estimated with the following formulae (20). Total chlorophyll = 20.2 (A646) + 8.02 (A663); Chlorophyll a = 12.21 (A663) - 2.81 (A646); Chlorophyll b = 20.13 (A646) - 5.03 (A663); Carotenoids = (1000 A470 - 3.27[chl a] – 104 [chl b])/227. Anthocyanin quantified from methanol/HCl/water (90:1:1) extract of leaf powder. The absorbance of the extracts read at 530 (A530) and 657(A657). Amount of anthocyanin calculated using formulae A530 - A 657 (21). Amount of pigments expressed in absorbance per gram fresh weight of leaf tissue.
Total phenolics estimated from the methanol extract of dried leaf powder. Leaf powder (1.0g) extracted with 10.0 ml methanol. To the extract, 5.0 ml of 0.1 % Folin Ciocalteu reagent and 4.0 ml of 1.0 M sodium carbonate added. The reaction mixture incubated for 15.0 min.The amount of phenolics determined after measuring absorbance at 765.0 nm (22). Gallic acid dissolved in 50.0 % methanol used to make a standard graph, and the result represented as the equivalent of gallic acid.
A colorimetric assay with aluminum chloride performed for the estimation of total flavonoids in plants (23). Leaves dried and powdered. Leaf powder (1.0 g) extracted using 10.0 ml of methanol in an orbital shaker (100.0 rpm) for 12.0 hrs. The clear extract obtained after centrifugation at 10000.0g. Reaction mixture comprised 3.0 ml extract, 0.3 ml 5.0 % NaNO2 and 0.3 ml 10.0 % AlCl3. The mixture incubated for 6.0 min and after that mixed with 2.0 ml of 1 M NaOH. The final of the reaction mixture made to 10.0 ml using double distilled water. The reaction mixture very well mixed and the optical density measured at 510 nm. Quercetin used to make a standard graph, and the amount of flavonoids expressed in terms of quercetin g equivalents mg per g dried plant tissue.
The phosphomolybdenum method used to determine total antioxidants (24). The reagent prepared by mixing 0.6 M sulphuric acid, 28.0 mM sodium phosphate and 4.0 mM ammonium molybdate. Methanol extract (100.0 μl) prepared from 10.0 g dried leaf powder in 10.0 ml methanol mixed with 1.0 ml of phosphomolybdenum reagent and the vials kept in boiling water bath for 90.0 min. The vials canned and incubated in a water bath at 95°C for 90.0 min. The optical density of the reaction mixture read at 695.0 nm after cooling. Ascorbic acid used for preparing standard graph and the result expressed in μg of ascorbic acid equivalents present in per dry tissue.
Peroxidase assay performed from enzyme homogenate prepared using of 50.0 mM L-1 potassium phosphate buffer (pH 7.0). Leaves (1.0g) powdered and homogenized with phosphate buffer. The homogenate centrifuged at 10000.0 g for 20.0 min at a temperature of 4.0 oC. The supernatant containing enzymes used for assay after quantification of protein (25). Assay of peroxidase performed using hydrogen peroxide and O-diasidine (26). The reaction carried out after the addition of extract containing enzyme at 25.0 oC for 3.0 min. The increase of optical absorbance at 420.0 nm per minute used to calculate the activity of the enzyme.
The enzyme extracted from 300.0 g leaf tissues using 6.5 ml of 50.0 mM Tris-HCl buffer (pH 8.8) containing 15.0 mM of ß-mercaptoethanol (27). The resulting homogenate centrifuged at 10000.0 g for 30.0 min. The amount of protein in the supernatant assayed by the method of Lowry et al. 1951(25). The activity of the enzyme calculated on the basis of formation of cinnamic acid. The reaction mixture contained 1.0 ml extraction buffer, 0.5 ml of 10.0 mM L-phenylalanine, 0.4 ml of Milli Q water and 0.1 ml of enzyme extract. The reaction carried out at 37 °C for 1h and terminated using 0.5 ml of 6.0 M HCl.The absorbance of the reaction mixture recorded at 290.0 nm. A unit of the enzyme activity defined as 1.0 μmol of cinnamic acid formed in a minute.
Total lipids in the dried leaf tissues initially extracted using chloroform and methanol mixture (50:50) and homogenized for 30.0 s. Subsequently, chloroform added for second and third times with a homogenization period of the 30s. After that, the extract mixed with water. The organic and aqueous phases separated using a clinical centrifuge run at 3000.0 rpm. The lower organic solvents phase was taken out with the help of a syringe and filtered using Whatman No.1 filter paper. Gravimetric quantitative estimation of lipids performed after the removal of the chloroform using a rotary vacuum evaporator.
Leaves dried using hot air oven at 40 oC. The samples powdered, and 5.0 g of powder extracted with propanol using a
soxhlet apparatus for 4.0 hr at 100 ˚C and the volume made to 1.0 ml using a rotary evaporator for GC-MS analysis. Gas chromatography coupled to mass spectrometry performed using DB-1HT capillary column and after that mass of the components (Agilent 7890A) (28). Sample (1.0 μl) injected manually for electron ionization (70.0 eV). The initial oven temperature maintained at 70 ˚C for 5.0 min, and the temperature increased to 290 ˚C at a rate of 5 ˚C per minute. Helium used as carrier gas, and the flow rate was 1.5 ml per minute. The temperature of mass spectrometer injector and transfer line adjusted to 250 ˚C and 225 ˚C respectively. The chemical identity of the compounds screened via comparison of the mass spectra with the NIST14 library (29).
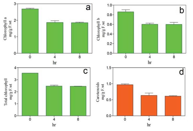
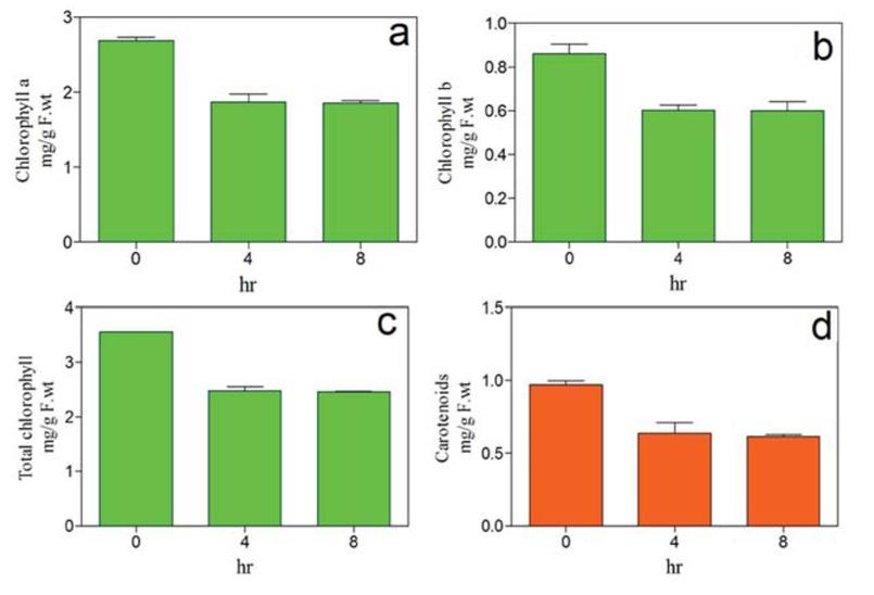
UV-B light treatment caused a decrease of photosynthetic pigments in Trigonella (Fig. 2). Maximum percentage decrease of pigments take part in photosynthesis such as chlorophyll a, chlorophyll b, total chlorophyll, and carotenoids were 31.0, 30.0, 30.0 and 36.0 % respectively upon UV-B treatment (Fig. 2a-d).

Effect of UV -B exposure on photosynthetic pigment contents of Trigonella: a. Chlorophyll a; b. Chlorophyll b; c. Total chlorophyll; d. Carotenoids.
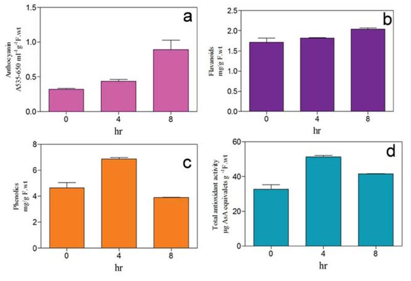
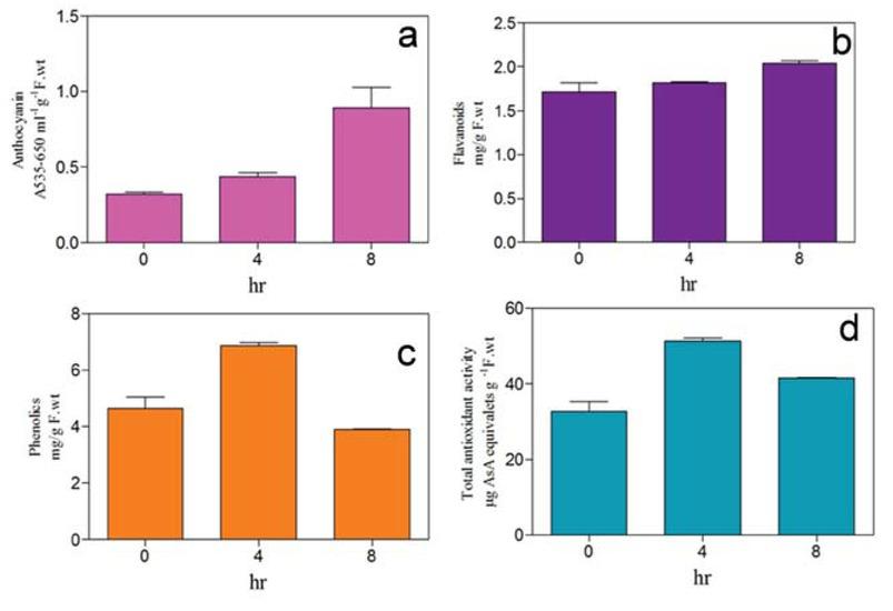
Bioactive compounds that protect plants from oxidative stress increased upon UV-B exposure (Fig. 3) Anthocyanin which detoxifies reactive oxygen species increased with UV-B treat

UV- B exposure related changes of bioactive compounds in herbal extract of Trigonella: a. Anthocyanin; b. Flavanoids; c. Phenolics; d. Total antioxidant activity.
ment in Trigonella (~2 fold) (Fig. 3a). Similarly flavanoids content found to increase up to 18.0 % (Fig. 3b). It is noteworthy that both anthocyanin and flavonoids content increased linearly with duration of UV-B exposure among test plants. Trigonella produced 48.0 % more phenolics after 4.0 hr UV-B radiation even though 8.0 hr UV-B treatments caused 15.0 % decrease in phenolics content (Fig. 3c). Total antioxidant capacity of plants represented in terms of ascorbic acid equivalents increased in Trigonella up to 56.0 and 26.0 % respectively after 4.0 and 8.0 hrs of UV-B treatments (Fig. 3d).
The activity of phenylalanine lyase increased 26.0 % increase after 4.0 hr UV-B exposure even though 8.0 hr exposure decreased the activity of this enzyme (Fig. 4a). Long-term UV-B exposure decreased peroxidase activity (up to 37.0 %) in Trigonella plant whereas short-term UV-B exposure enhanced peroxidase activity up to 14.0 % (Fig. 4b).

Effect of UV Antioxidant enzyme activies (a. Phenylalanine lyase; b. Guiacol peroxidase) and total lipid content of test plants up on UV- B exposure.
Total lipid is an indicator of oil content because oils are triacylglycerides. It has been found out that UV-B exposure enhances lipid content of both the test plants even though long-term exposure to UV-B decreased lipid content (Fig. 4c). Lipid content increased upon 4hr UV-B treatments up to 83.0 % and the lipid content decreased 18.0 % during 8.0 hr UV-B treatment.
GC-MS analysis revealed changes in 10 compounds in the aromatic oil of Trigonella after UV-B treatment (Fig. 5, Table 1). The compounds decreased after UV-B treatment are nonadecane, 2-methyl (15.255%), Phytol (11.534%), and nonacos-1-ene (8.697%). The compounds that increased during UV-B exposure are 2-Pentadecanone,6,10,14-trimethyl (9.7588%), n-Tetracosanol-1 (4.6159%), 11-methyldodecanol (2.2113%), 2-dodecanol,2-methyl (1.8447%), octadecane,2-methyl (1.8169%), Eicosane,2-methyl (1.7377%), and pentadecanoic acid 14-methyl-methyl ester (1.5965%).

GC-MS spectra revealing effect of UV- B radiation on essential oil composition of Trigonella. a. Control plants; b. UV- B exposed plants (4.0 hr).
UV-B radiation resulted in operation of stress defense responses in the experimental plants. UV-B treatment increased chlo
UV B induced changes in chemical composition of Trigonella leaves
| Peak No. | R.T.(s) | Area% | Control | Formula |
|---|---|---|---|---|
| 98 | 1830.4 | -11.534 | Phytol | C20H40O |
| 137 | 2226 | -15.255 | Nonadecane,2-methyl | C20H42 |
| 165 | 2549.8 | -8.697 | Nonacos-1-ene | C29H58 |
| 99 | 1525.4 | +1.8477 | 2-Dodecanol,2-methyl | C13H28O |
| 100 | 1534 | +9.7588 | 2- Pentadecanone,6,10,14-trimethyl | C18H36O |
| 115 | 1626.2 | +1.5965 | Pentadecanoic acid,14-methyl-,methylester | C17H34O2 |
| 143 | 1909.4 | +2.2113 | 11-methyldodecanol | C13H28O |
| 170 | 2230.2 | +1.8169 | Octadecane,2-methyl | C19H40 |
| 185 | 2564.4 | +4.6159 | n-Tetracosanol-1 | C24H50O |
| 193 | 2720.8 | +1.7377 | Eicosane,2-methyl | C21H44 |
- indicate decrease and + indicate increase
rophyll and carotenoid content in plants, and the effect was dependent on genetic makeup, growth stage of the plant, and duration of exposure (30). But plants adapt to highlight energy caused photo-oxidative stress through the diminution of chlorophyll (31). These changes helped to decrease the impact of high energy radiation by lowering of light energy harvest (32). Carotenes help to dissipative excess light energy through operation of non-photochemical quenching (30). Hence the decrease of both chlorophyll and carotenoids content in Trigonella upon UV-B exposure indicated that these plants subjected to photooxidative stress (31). The analysis of bioactive compounds and activities of antioxidant enzymes indicated photo-oxidative stress was more after 8.0 hr UV-B exposure.
Synthesis of bioactive compounds enhanced during plant stress (33). Phenolics were the chief bioactive compounds responded to photooxidative stress (34). These compounds acted as antioxidants and scavenger of free radicals (35). Hence, the phenolics considered as idyllic for maintaining the cellular redox level during photooxidative stress. Studies also showed that phenolics quickly repair DNA damage during the attack of free radical anions through electron transfer reaction (36). Flavonoids such as anthocyanin are the class of phenolics that enabled photo-oxidative stress tolerance in plants (37). Activity phenylalanine lyase (PAL) mediates the coumaroyl CoA synthesis critical for the production of phenolic acids and flavonoids in plants (14). Therefore increase in phenolics content and activity of PAL enzyme enhanced stress tolerance during short-term UV-B exposure. This result confirmed with an increase in total antioxidant activity among these plants. It could be the senescence-related metabolite degradation which resulted in plants to produce more anthocyanin and flavonoids during 8.0 hr UV-B exposure. The low activity of PAL and peroxidase among plants subjected to 8.0 hr UV-B treatment was the result of vulnerability to photooxidative stress. But the higher peroxidase activity helped plants to avoid severe photo-oxidative stress during 4.0 hr UV-B exposure.
Essential oils production from aromatic plants such as Trigonella gained attention because of antioxidants capacity due to biologically active compounds in these oils (3). Primary metabolism shifts towards the synthesis of lipids when the plant experiences UV-B stress (3, 38). These results adjoin to increase of lipid content after UV-B treatment. The increase of lipid content attributed as a consequence of diversion housekeeping metabolic pathways towards lipid synthesis (38). But 8.0 hr UV-B treatment created severe oxidative stress and resulted in lipid peroxidation in the present study. Hence, lipid content was less after 8.0 hr UV-B exposure. There occurred changes in essential oil composition during UV-B exposure in plants. In the present study, aliphatic compounds such as phytol, nonadecane, 2-methyl, and nonacos-1-ene decreased during 4.0 hr exposure to UV-B. This change indicated diversion of synthetic pathways such as that of chlorophyll towards lipids and antioxidants synthesis respectively (3). These findings confirmed with an increase of compounds such as 2-dodecanol 2-methyl, 2- Pentadecanone, 6, 10, 14-trimethyl, pentadecanoic acid, 14-methyl-methyl ester, 11-methyldodecanol, octadecane, 2-methyl, n-tetracosanol-1 and eicosane,2-methyl that belong to the class of lipids and antioxidants (39, 40). Thus, the findings in the present study well states towards stimulatory effects of 4.0 hr UV-B radiation to synthesis of lipids, phenolics, volatile production, and changes in active constituents. The results supported with earlier studies with regard to contribution of UV-B radiation causing stimulation of volatile production and changes in composition of active constituents. For example, UV-B treatment changed components in essential oil, phenolics, and antioxidants in Coleus aromaticus (4). Chang et al. (2009) also reported the increase of eugenol and linalool in volatile oil of Ocimum basilicum (41). Afreen et al. (2005) reported the increase in glycyrrhizic acid (a triterpenoid saponin) in Glycyrrhiza uralensis at optimum UV -B treatment but high intensity resulting in decreased value (17).
In conclusion, UV-B stress acts positively on Trigonella seedlings. UV-B exposure leads more production of flavonoids including anthocyanin in Trigonella. The increase of total lipids is a clear-cut evidence for an increase of biologically active compounds, especially essential oils upon UV -B treatment. Hence controlled UV -B exposure in captive farming (greenhouse cultivation) for 4.0 hr is a promising strategy for enhancing aromatic as well as active principles of Trigonella.