Bitcoin is a purely peer-to-peer electronic version of electronic cash that allows one party to send money to another without going through a financial institution. Some versions of electronic cash systems existed even before Bitcoin, but they did not solve the double-spending problem.
Bitcoin and other digital assets are well-known for their volatility; as an example, Bitcoin reached the highest value of all times on 16 December 2017 and was traded for 19,497.4 USD per a single coin, while on 12 November 2017 the Bitcoin market price was 5,950.07 USD. The return on investment of such a trade is 228% in a single month. Since the cryptocurrency market is very volatile, understanding of potential risks and losses is particularly important for better decision making. Value-at-risk is arguably the most widely used instrument of risk management. Value-at-risk (denoted as VaR(1)) is a maximum potential loss of portfolio or a financial instrument that can occur in a certain time horizon with a given probability.
There are several methods for VaR estimation, but GARCH (Generalized Autoregressive Conditional Heteroscedasticity model) dominates the empirical literature as volatility process estimator. The overall objective of this paper is to perform comprehensive volatility and VaR estimation and compare the results with the empirical market price data. The results should suggest how the estimates differ and which methods are more appropriate for the digital assets. The techniques used for volatility and VaR estimation are the following:
- a)
standard GARCH model defined by Bollerslev (1986),
- b)
EWMA (Exponentially Weighted Moving Average),
- c)
historical value-at-risk,
- d)
simulation given by Geometric Brownian Motion.
Satoshi Nakamoto developed an idea of network that timestamps transactions by hashing them into an ongoing chain (currently known as a blockchain) of hash-based proof-of-work, forming a record that cannot be changed without redoing the proof-of-work (Nakamoto, 2008). In the last decade, Bitcoin gained an enormous value mainly because of its anonymity (Ardia, Bluteau and Rüede, 2018), transparency (Urquhart, 2016) and security (Klein, Pham Thu and Walther, 2018). While only computer enthusiasts invested in Bitcoin in its early days, today it has become mostly a speculative asset that is used as a high-risk, high-reward investment. Additionally, Baur, Hong and Lee (2018) state that bitcoin returns are uncorrelated with all major asset classes and thus fit into portfolios for risk diversification. Blau (2018) rejected the hypothesis that extreme volatility is caused by a speculative trading.
Of course, Bitcoin is a major player among other digital assets, but it is by far not the only one. According to Yi, Xu and Wang (2018) total market capitalization of all cryptocurrencies was 295 billion USD in April 2018 and the total number of cryptocurrencies surpassed 1,600.
Several papers analysed cryptocurrencies using GARCH-type models. Chu et al. (2017) examined seven most popular cryptocurrencies, Bitcoin, Dash, Dogecoin, Litecoin, Maidsafecoin, Monero and Ripple, using twelve different GARCH-type models and comparing goodness-of-fit of each model. Furthermore, Value-at-Risk was computed for 25 out of the sample days. Chu et al. (2017) found that IGARCH and GJRGARCH models provided the best fits, in terms of modelling the volatility.
Dyhrberg (2016) compared Bitcoin to US dollars and Gold and found out that they shared several similarities, implicating hedging capabilities and advantages as a medium of exchange. Ardia, Bluteau and Rüede (2018) tested the presence of regime changes in GARCH volatility dynamics of Bitcoin logarithmic returns using Markov-switching GARCH. They found a strong evidence of regime changes in the GARCH process and demonstrated that Markov-switching GARCH models outperform the single-regime specifications when predicting VaR.
Conrad, Custovic and Ghysels (2018) explored the relationship between Standard & Poor’s 500 index and Bitcoin volatility. They found that S&P 500 realized volatility had a negative and highly significant effect on the long-term Bitcoin volatility. Stavroyiannis (2018) examined VaR for the Bitcoin and compared the findings with S&P 500 and the gold spot price. Findings suggest that Bitcoin violates VaR measures more than the other assets.
Katsiampa (2017) compared optimal heteroskedasticity models of Bitcoin price data. According to goodness-of-fit, it has been found that the best model is the AR-CGARCH, highlighting the significance of including both, a short-run and a long-run component of the conditional variance.
Bitcoin network automatically adjusts the difficulty for mining, so a new block is found approximately every 10 minutes. (Li and Wang, 2017) The difficulty is increased when a total hash rate of the network rises. From today’s perspective, mining bitcoins requires a powerful ASIC hardware that is specifically dedicated to mining and designed to generate the highest hash rate. Running such hardware for 24/7 consumes a lot of energy and according to Symitsi and Chalvatzis (2018) the total annual energy consumption is 57.69 TWh. Symitsi and Chalvatzis (2018) explored spillover effects between Bitcoin and energy and technology companies using VAR(1)-AGARCH model. The findings suggest significant return spillovers from energy and technology stocks to Bitcoin.
Although Chu et al. (2017) performed a comprehensive financial analysis in terms of volatility modelling, the cryptocurrency market is very dynamic and some of the features have changed; (i) only three out of seven modelled cryptocurrencies remained in TOP 7 and others gained increase in popularity, (ii) Chu et al. (2017) did not examine Ether due to the volume of available data, (iii) for the better informed decisions, continuously adjusted volatility models are appropriate, (iv) only GARCH-type models were used for VaR estimation.
The data are publicly available and are obtained from CoinMarketCap API. The Bitcoin daily market price data were observed from 04/28/2013 to 11/11/2019 (2,389 observations), Ether covered the period from 08/07/2015 to 11/11/2019 (1,558 observations) and Ripple covered the period from 08/04/2013 to 11/11/2019 (2,291 observations). This is the longest data range that CoinMarketCap has provided.
We use the market price included in the ‘Close’ column which is, according to CoinMarketCap, defined as the latest data in range (UTC time). The close market price data are then transformed to logarithmic returns, defined as:
Time series array is then, of course, shortened by one observation. Figure 1 shows some standard features that are typical to financial time series, such as excess kurtosis and volatility clustering.

Daily logarithmic returns
Source: Data from CoinMarketCap, own research
According to Charles and Darné (2005), it is often observed that the standardized residuals by the conditional volatility computed by using an estimated GARCH model still have excess kurtosis. Volatility clustering, first observed by Mandelbrot (1963), is the price behaviour in financial time series when large changes tend to be followed by large changes – of either sign – and small changes tend to be followed by small changes. As an example, in the Figure 1, evident volatility clustering can be seen around the year 2018. Excess kurtosis, or leptokurtic distribution, is the scaled fourth moment of probability distribution and is defined by Cipra (2013) as:
For the case of Bitcoin, kurtosis coefficient is:
We can observe positive kurtosis also in Ether and Ripple logarithmic returns. See “Histogram” below (Figure 2) and “Basic statistics” in the Table (Table 1) for more detailed information.

Histogram of Bitcoin, Ether and Ripple
Source: Data from CoinMarketCap, own research
Basic statistics
| Bitcoin | Ether | Ripple | |
|---|---|---|---|
| Minimum | −0.266198 | −1.302106 | −0.616273 |
| Maximum | 0.357451 | 0.412337 | 1.027356 |
| 1st Quartile | −0.012615 | −0.024548 | −0.022698 |
| 3rd Quartile | 0.018402 | 0.0284860 | 0.020083 |
| Mean | 0.001750 | 0.002700 | 0.001679 |
| Median | 0.001883 | −0.000802 | −0.002762 |
| Sum | 4.178293 | 4.204154 | 3.845187 |
| Variance | 0.001848 | 0.005229 | 0.005384 |
| Stdev | 0.042991 | 0.072313 | 0.073372 |
| Skewness | −0.162197 | −3.412472 | 2.057162 |
| Kurtosis | 7.637610 | 70.186393 | 29.374596 |
Source: Data from CoinMarketCap, own research
Value-at-risk estimates can be divided into two groups of methods: a parametric and a non-parametric. We start with the former.
Parametric methods of VaR models that are based on standard statistical distributions determine the conditional return distribution and estimate the standard deviation (or covariance matrix) of the returns of asset (Aussenegg and Miazhynskaia, 2006). General value-at-risk definition for a long position of financial instrument X with probability given by p in time t for a time horizon t + k can be defined as:
Commercial software RiskMetrics by JPMorgan uses up = 1.65 for 95% confidence interval. VaR estimation using EWMA volatility forecast is then computed as:
Exponentially weighted moving average is a method for variance (and thus volatility) estimation using exponentially declining weight. Variance for time t + k is forecasted as:
Next volatility process estimation we used is standard GARCH(1,1), defined as (Bollerslev, 1986; Cipra, 2013):
First order of the GARCH model is used for several reasons. The optimal lag was checked using corresponding information criterions (such as Akaike information criterion, Bayesian criterion and Hannah-Quinn criterion). The criterions improvement was not sufficient and thus the parsimonious design is preferred. The first order of standard GARCH process is dominating the empirical literature, which enables a greater variety of comparison.
We use Xt = 1000 for EWMA and GARCH model, due to easier visual comparison. Note that EWMA model is a special case of iGARCH (integrated GARCH see Engle and Bollerslev, 1986) model where α0 = 0 and μt = 0.
Arguably the simplest of all VaR estimates is historical value-at-risk which is simply the p-quantile of the negative returns at a probability level p. It is ex-post analysis of the return distribution. This method is included in the paper just for benchmarking.
The last method used is the Monte Carlo simulation which is harder to perform since we must draw thousands of potential outcomes. The price behaviour that follows our simulation is Geometric Brownian Motion (GBM), defined as:
Equation (14) consists of a constant drift and a diffusion coefficient. Note that the drift process is deterministic whereas the diffusion process is stochastic. It is easy to prove that:
If we set E (rt) and var(rt) equal to sample mean (
Following some standard properties of the Wiener process, such as that ΔWt ~ N (0, Δt), then we obtain:
The Monte Carlo simulation is done in R statistical environment and the code is included in appendix. We ran the simulation 1 000 times and computed the VaR simply as p-quantile.
We start to describe the results in the same order as the methods in the empirical strategy were introduced. First, EWMA was computed as iGARCH model with fixed parameters (see R code included in appendix). If we fix only a constant in variance equation, then the estimated parameter β is close(3) to the RiskMetrics value of .94. The Figure 3 shows series with two conditional standard deviations compared to the actual volatility for Bitcoin with β set to .94.

Series with 2 Conditional SD Superimposed
Source: Data from CoinMarketCap, own research
According to the visual representation in Figure 3, the empirical volatility is well captured by the estimated model even though the extreme values exceed two standard deviations. Table 2 sums the volatility and corresponding VaR for all three digital assets. Computed VaR is, of course, negative because VaR represents a maximum possible loss, but note that we use absolute values of the VaR. It is useful to forecast VaR for more than one step ahead, so we picked 10 days (for no particular reason). We use 95% confidence level for all our VaR estimations.
Volatility and VaR forecast based on EWMA model
|
|
| VaRt+1 | VaRt+10 | |
|---|---|---|---|---|
| Bitcoin | 0.03351 | 0.03358 | $ 55.41 | $ 175.21 |
| Ether | 0.02972 | 0.02925 | $ 48.26 | $ 152.62 |
| Ripple | 0.03503 | 0.03489 | $ 57.57 | $ 182.05 |
Source: Data from CoinMarketCap, own research
According to EWMA volatility estimation, the smallest financial risk in terms of price drop is expected to be for Ether. This is somewhat an unexpected result, because the total variance in logarithmic returns is around 0.005 for Ether and 0.002 for Bitcoin. We can explain this behaviour by the fact that EWMA model penalises less recent data with exponentially declining weights.
Just for comparison, we used EWMA model to estimate the volatility for PX index, which is capitalization-weighted index of financial assets that trade on the Prague Stock Exchange. The estimated VaR for ten days ahead is $ 34 which is more than four times less than VaR for Ether.
Next, we modelled the volatility using standard GARCH(1,1). The results of GARCH(1,1) modelling are summarized in Table 3.
Optimal parameters based on standard GARCH modelling
| mu | alpha0 | alpha1 | beta1 | |
|---|---|---|---|---|
| Bitcoin | 0.001095* | 0.000073*** | 0.143602*** | 0.824987*** |
| Ether | 0.000148 | 0.000407*** | 0.194669*** | 0.704177*** |
| Ripple | −0.003432*** | 0.000417*** | 0.397415*** | 0.594709*** |
Note: Asterisks denote significance level at 10% (5% and 1% respectively)
Source: Data from CoinMarketCap, own research
All variance equation coefficients are statistically significant on the 1% significance level. The weighted Ljung Box test on standardized squared residuals also verifies the model. However, Ljung Box Q-statistics of standardized residuals do not meet the assumption of no partial autocorrelation in the Bitcoin and Ripple model. It usually implies that mean equation is not correctly specified, but since the Ripple mean equation constant is statistically significant at 1% level, Bitcoin’s at 10% level and corresponding information criterions hold the models, standard GARCH(1,1) model is good trade-off between fit and complexity.
To determine value-at-risk for 10 days ahead, we first had to forecast out-of-sample volatility. The VaR estimation procedure using standard GARCH model is defined in equation (12) and (13).
VaR computed using GARCH model
|
| VaRt+1 | VaRt+10 | |
|---|---|---|---|
| Bitcoin | 0.03340 | $ 54.015 | $ 175.33 |
| Ether | 0.04028 | $ 66.314 | $ 257.69 |
| Ripple | 0.03958 | $ 68.740 | $ 336.26 |
Source: Data from CoinMarketCap, own research
As shown in the Table 4, we can expect the maximum potential loss 17.53% (25.77% and 33.63% respectively). Furthermore, in comparison with EWMA model, VaR is approximately the same for Bitcoin, but significantly differs for Ether and Ripple. The minimum potential loss exhibits Bitcoin, whereas Ether – the “winner” according to EWMA model – has now reached the second post.
We present the benchmark the same way we did with the EWMA model. We estimated GARCH(1,1) model for PX index and computed 10-days VaR. We are not going to discuss detailed properties of such model because it is not the objective of this paper; but note that higher ARMA terms or model distribution other than normal might be more appropriate. However, ten days value-at-risk for PX index using GARCH model is $ 34.18 which is approximately the same as VaR computed using EWMA model.
Value-at-risk revealed a standard hypothesis that digital assets are much more risky than other typical financial assets. This is due to the number of factors, such as that most of the digital asset networks are purely peer-to-peer and thus not regulated.
We now proceed to the non-parametric VaR estimations, starting with historical VaR. As discussed in the empirical strategy, the historical VaR uses the empirical distribution of logarithmic returns and then computes given quantile for which VaR is measured. The historical VaR is a basic risk measurement and is somewhat oversimplifying, because it does not account for outliners, recent volatility process etc. We included this method for benchmarking reasons. Figure 4 displays the histogram of logarithmic returns with 95% historical VaR threshold.
The historical VaR is not predicted the same way as EWMA and GARCH model with 10-days ahead forecast but rather as a single future risk possibility. If we assume that we invested $1000 into Bitcoin (Ether and Ripple respectively) then the historical VaR is shown in the Table 5.
Historical VaR
| Digital asset | Historical VaR |
|---|---|
| Bitcoin | $ 66.16 |
| Ether | $ 92.81 |
| Ripple | $ 91.88 |
Source: Data from CoinMarketCap, own research

Histogram with 95% VaR
Source: Data from CoinMarketCap, own research
The estimated historical VaR is higher than using both EWMA and GARCH models. This behaviour is connected to the fact that EWMA and GARCH models account better for recent volatility process, whereas historical volatility uses simple p-quantile of the observed logarithmic returns.
The last method used to estimate VaR is Monte Carlo simulation. As discussed in previous chapter, we must draw the simulation 1 000-times and generate random scenarios. Our Monte Carlo simulation uses Geometric Brownian Motion given by equation (19). The simulation was made in R statistical environment and the code that was used is similar to Yang and Aldous (2012) and included in the Appendix.
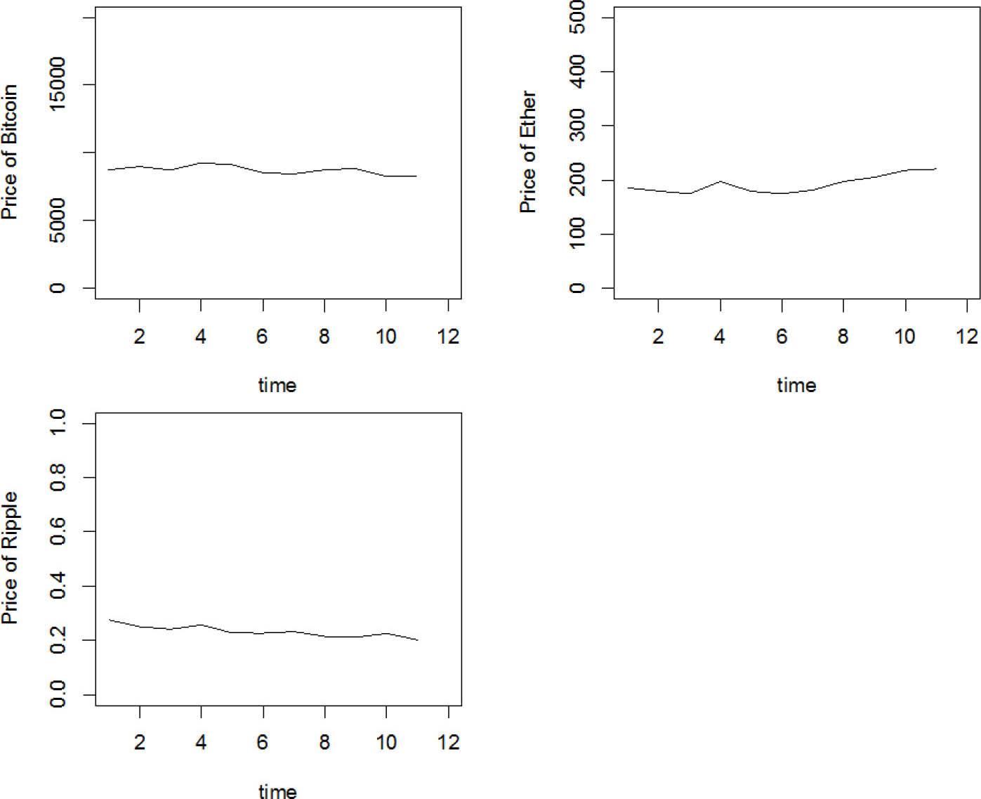
Figure 5 illustrates one random path for Bitcoin, Ether and Ripple given by Geometric Brownian Motion. We used the latest close price in range for P0, such as $ 8 757 ($ 184, $ 0.275 respectively).

One price path given by Geometric Brownian Motion
Source: Data from CoinMarketCap, own research
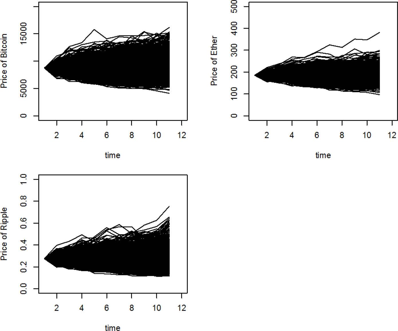
If we run the simulation 1 000-times and plot the data, then all possible outcomes are represented in Figure 6.

Thousands price paths given by Geometric Brownian Motion
Source: Data from CoinMarketCap, own research
Now that we have obtained the simulated data, we are able to compute the loss probability simply as historical VaR, but with the simulated data instead. The minimum Bitcoin price that was computed is $ 4 135 and maximum $ 16 160. However, to compute .95 quantile, we need to convert the prices into logarithmic returns again. We have also analyzed Ether and Ripple with the same Brownian Motion. Table 6 sums up the Monte Carlo simulation and corresponding VaR.
Monte Carlo VaR
| VaRt+1 | VaRt+10 | |
|---|---|---|
| Bitcoin | $ 124.079 | $ 342.515 |
| Ether | $ 88.355 | $ 291.802 |
| Ripple | $ 160.696 | $ 490.118 |
Source: Data from CoinMarketCap, own research
As shown in the Table 6, VaR is significantly higher than all of the previous VaR estimations. We present several reasonable explanations for this phenomenon. Diffusion (stochastic) process defined in Geometric Brownian Motion is generated using random draws from normal distribution, and since the approximated standard deviation is higher than other typical financial assets have, these random draws have a higher value. Next, we ran the simulation one thousand times for each digital asset and because of high standard deviation, it is more likely for GBM to generate big swings.
Another important feature of VaR is backtesting, which is simply testing whether the empirical loss exceeded estimated VaR in more than 5% of the time (remember that we used 95% confidence for all our models). We therefore pulled the latest empirical data and compared our VaR metrics.
The empirical 10-days loss from 2019/11/11 to 2019/11/21 was $ 136.19 for Bitcoin, $ 138.74 for Ether and $ 120.88 for Ripple. Even though all our VaR estimations passed the first test, looking at one day after (11th day), Bitcoin loss exceeded EWMA and GARCH estimated VaR. Note that this should happen only in 5% of the time.
We conclude that Monte Carlo simulation is the best VaR estimator for cryptocurrencies due to the robustness of the results (Monte Carlo estimated VaR passed all the tests). As previously noted, cryptocurrency market differs from most of the financial assets in many features and future performance is fundamentally harder to predict with the standard parametric methods.
This paper explored the volatility and corresponding value at risk (VaR) of the three major digital assets (based on total market capitalization), such as Bitcoin, Ether and Ripple. The volatility was estimated with EWMA (Exponentially Weighted Moving Average) and GARCH(1,1) model, introduced by Bollerslev (1986). Daily logarithmic returns of Bitcoin, Ether and Ripple exhibit typical signs of other financial data, such as the leptokurtic distribution and volatility clustering.
Among the most used instruments in risk management is value-at-risk which is a measurement of the potential loss that may occur for a portfolio or a financial asset in a given time horizon with a defined probability. We used both, the parametric and the non-parametric methods, for VaR estimations such as Monte Carlo method, historical VaR, GARCH and EWMA model.
The value-at-risk estimation based on the parametric methods is almost the same for Bitcoin but differs for Ether and Ripple. The historical VaR is a good and simple VaR estimator but does not account for outliners and a recent (more stable) volatility process. The last method used is Monte Carlo simulations where VaR was significantly higher than all other estimators, mainly due to the high diffusion process.
Market with digital assets tends to have some key features that are unique against other financial markets; (i) anybody can join trading at will – no licence or approval is required, (ii) market with digital assets is not based in a certain location – cryptocurrencies are traded all over the world. Moreover, since cryptocurrencies have not a fundamental price to fall back upon, many economists argue whether cryptocurrency market is a financial bubble or not.
The differences defined above make it fundamentally harder to predict future volatility, based on historical performance than for other typical financial assets. We conclude that the best instrument for predicting VaR for cryptocurrencies is Monte Carlo simulation, due to the different nature of the cryptocurrency market. As mentioned in Chu et al. (2017) the results could serve the investors and also financial institutions in terms of risk management.
Do not confuse with vector autoregression (VAR).
Note that RiskMetrics advices using λ = 0.94 which is also the weight we used.
To be specific, .957 for Bitcoin, .942 for Ether and .972 for Ripple.