Figure 1

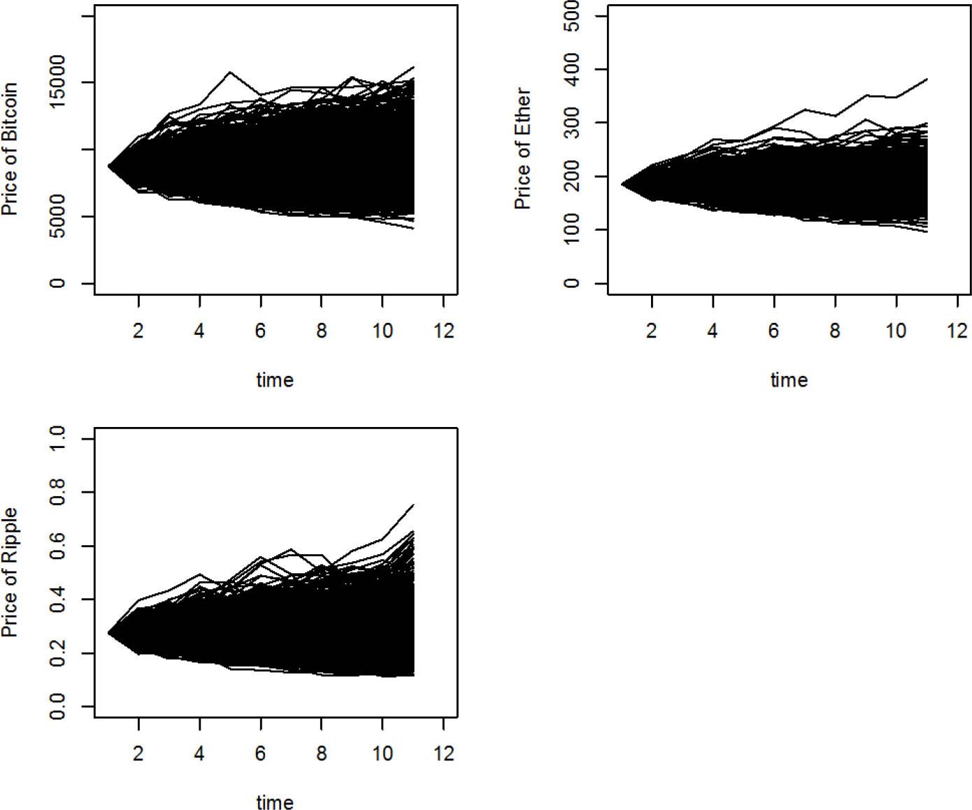
Figure 2

Figure 3

Figure 4

Figure 5

Figure 6

Basic statistics
| Bitcoin | Ether | Ripple | |
|---|---|---|---|
| Minimum | −0.266198 | −1.302106 | −0.616273 |
| Maximum | 0.357451 | 0.412337 | 1.027356 |
| 1st Quartile | −0.012615 | −0.024548 | −0.022698 |
| 3rd Quartile | 0.018402 | 0.0284860 | 0.020083 |
| Mean | 0.001750 | 0.002700 | 0.001679 |
| Median | 0.001883 | −0.000802 | −0.002762 |
| Sum | 4.178293 | 4.204154 | 3.845187 |
| Variance | 0.001848 | 0.005229 | 0.005384 |
| Stdev | 0.042991 | 0.072313 | 0.073372 |
| Skewness | −0.162197 | −3.412472 | 2.057162 |
| Kurtosis | 7.637610 | 70.186393 | 29.374596 |
VaR computed using GARCH model
|
| VaRt+1 | VaRt+10 | |
|---|---|---|---|
| Bitcoin | 0.03340 | $ 54.015 | $ 175.33 |
| Ether | 0.04028 | $ 66.314 | $ 257.69 |
| Ripple | 0.03958 | $ 68.740 | $ 336.26 |
Volatility and VaR forecast based on EWMA model
|
|
| VaRt+1 | VaRt+10 | |
|---|---|---|---|---|
| Bitcoin | 0.03351 | 0.03358 | $ 55.41 | $ 175.21 |
| Ether | 0.02972 | 0.02925 | $ 48.26 | $ 152.62 |
| Ripple | 0.03503 | 0.03489 | $ 57.57 | $ 182.05 |
Optimal parameters based on standard GARCH modelling
| mu | alpha0 | alpha1 | beta1 | |
|---|---|---|---|---|
| Bitcoin | 0.001095* | 0.000073*** | 0.143602*** | 0.824987*** |
| Ether | 0.000148 | 0.000407*** | 0.194669*** | 0.704177*** |
| Ripple | −0.003432*** | 0.000417*** | 0.397415*** | 0.594709*** |
Historical VaR
| Digital asset | Historical VaR |
|---|---|
| Bitcoin | $ 66.16 |
| Ether | $ 92.81 |
| Ripple | $ 91.88 |
Monte Carlo VaR
| VaRt+1 | VaRt+10 | |
|---|---|---|
| Bitcoin | $ 124.079 | $ 342.515 |
| Ether | $ 88.355 | $ 291.802 |
| Ripple | $ 160.696 | $ 490.118 |