Good teachers are essential for ensuring the quality of education. Therefore, understanding the mechanisms of selection and self-selection to the profession is necessary to craft policies resulting in the recruitment of better teachers. Although outstanding academic achievements do not always imply high teaching ability, it has been proven that prior educational achievements correlate with both the pedagogical and content knowledge of math teachers (Blömeke et al., 2012). Furthermore, teachers’ cognitive skills are correlated with the achievements of their students (Hanushek, Piopiunik, & Wiederhold, 2019). The ability to attract the brightest graduates to teaching is widely believed to stand behind the success of the Finnish educational system, exemplified by the outstanding achievements of Finnish students in the PISA programme (Barber & Mourshed, 2007).
The existing literature on who becomes a teacher provides ample evidence of negative selection to teaching, as far as the academic skills of teachers are concerned. Teachers tend to have lower academic achievements and come from less-educated families than other university graduates (Hanushek & Pace, 1995; Bacolod, 2007; Gilpin & Kaganovich, 2012). Scholars suggest that the relatively low wages offered to teachers discourage talented candidates from working at schools (Hanushek & Rivkin, 2006; Gilpin & Kaganovich, 2012; Han et al., 2018).
However, a growing body of evidence increasingly challenges these conclusions. Studies from outside the US show that the nature of self-selection to teaching varies significantly across countries and that it can hardly be described merely in terms of a positive versus negative dichotomy (Denzler & Wolter, 2009, Roloff, Henoch et al., 2015; Heinz, 2015). Other works question the dominant role of wage incentives in the professional choices of students (Beffy et al., 2012) and point out non-pecuniary factors, such as the risk of unemployment, the intrinsic motivations of students, their social attitudes, or even geographical preferences with respect to future employment (Boyd et al., 2005; Watt et al., 2012; Neugebauer, 2015; Glutsch & König, 2019; Herbst, 2021).
Despite all the existing evidence, some aspects of self-selection into teaching remain under-researched. First, few studies differentiate between modes of teacher education, that is, whether it is concurrent or consecutive. In the concurrent mode, students are provided with general course components (e.g., subject and educational studies) together with teaching-focused components (including school practice) at the same time, and from the very start of the programme. In the consecutive mode, teaching-oriented courses usually constitute a distinct specialisation path at the later stage or after completion of the primary programme (e.g., mathematics or biology). The modes thus differ significantly in the timing of the decision to become a teacher. Second, relatively little is known about the variation in self-selection into teaching across academic fields, which offer different labour market prospects. Third, a vast majority of the available evidence comes from the US. This makes it difficult to ascertain whether the findings can be generalised to other countries with differing education systems and labour markets.
This study seeks to overcome the shortcomings of previous research and close the aforementioned gaps in scholarly knowledge on self-selection into teaching. We leverage a large-scale administrative dataset comprising detailed records of the educational trajectories of 10 cohorts of graduates (n = 39,779) from the University of Warsaw (UW), the largest higher education institution in Poland, in order to learn more about self-selection into teaching and to gain a fuller understanding of differences in the selection process between modes of teacher training and fields of study. We achieve that by using detailed information on educational paths within the university and different measures of ability that are unique to our data to explore curvilinear relationships between educational achievement and choosing to become a teacher. Furthermore, by focusing on Poland, a country rarely appearing in the literature on teacher self-selection, we add a new case study to the body of research on the topic.
The existing research on self-selection to the teaching profession focuses predominantly on the American schooling system (Heinz, 2015). For example, Hanushek and Pace (1995) investigated a cohort of college students from the early 1980s to show that graduates completing teacher training fell low in the overall graduate distribution. A decade later, Bacolod (2007) documented a systematic drop in the test scores of entrants to the teaching profession, clearly a sign of increasingly negative selection. However, more recently, Lankford et al. (2014) suggested that this adverse trend might reverse. Furthermore, researchers often point to low wages as one of the main reasons for negative self-selection into teaching (Hanushek & Rivkin, 2006; Gilpin & Kaganovich, 2012).
The Education at a Glance report (OECD, 2020) shows that low wages in the US education sector are by no means exceptional among OECD countries, although US teachers are among the worst paid. On average, the salaries of teachers in lower secondary schools in the OECD amount to 89% of the earnings of tertiary-educated workers overall. Only in Lithuania, Portugal, and Germany does this index surpass 100%. It is lowest in the US, the Czech Republic, and Hungary (65%–66%).
Due to methodological differences, it is not always easy to compare American and European studies on self-selection to teaching. While US studies rely mostly on standardised test scores as ability measures, researchers in Europe, where standardised tests are less common, usually provide a fuller sociodemographic background of prospective teachers. When measures of academic performance are available, the conclusions of European studies are often less pessimistic than those of American research. For example, Heinz and Keane (2018) find that in Ireland teacher education attracts academic high achievers. Further, Roloff Henoch et al. (2015) examined a sample of German tertiary students and did not find any evidence supporting the negative selection hypothesis in terms of cognitive characteristics. The authors argue that what is commonly perceived as a gap in cognitive skills between future teachers and students in other fields is, in fact, a difference between STEM students and the rest of the student population.
Researchers have also demonstrated associations between social background and choosing to become a teacher. For instance, Lautenbach (2019) shows that in Germany, the teaching profession is especially attractive to students from working-class homes, as it is perceived as a means of social advancement. Similarly, Denzler and Wolter (2009) describe a typical Swiss student planning to enroll to a teacher college as a woman from a non-academic family, interested in a socially oriented career that is also compatible with family commitments. The primary perceived benefit of teacher training turns out to be its short duration and practical orientation.
International comparative studies on self-selection to teaching are rare. Hanushek et al. (2019) used combined 2011 and 2015 OECD PIAAC data on the cognitive skills of adults in 24 OECD member countries to investigate teachers’ ability. Finnish and Japanese teachers have been found to have the highest abilities within the OECD in terms of both numeracy and literacy, and teachers in Turkey and Chile achieved the lowest results. More importantly, countries differ markedly on the position of teachers within the distribution of achievements. In Finland, teachers are on average in the 59th percentile of distribution in numeracy within the tertiary-educated population, indicating positive self-selection. Other countries with high levels of ability among teachers include Ireland (58th), Singapore (55th), and Chile (60th). In Poland and Slovakia, teachers exhibit low levels of numeracy skills (they are in the 38th percentile), and in Denmark and Slovakia teachers rank low on literacy skills (44th percentile), all of which suggest negative self-selection.
Other cross-country studies rely on contextual surveys that accompany the PISA assessment. As such, they refer to the very early expectations of students (at the age of 15) regarding the likelihood of choosing teaching as their future profession. One example is the recent study by Han (2018), who observes that highly skilled students in countries using test-based accountability are less interested in a teaching career than their counterparts from countries not using such measures.
Surprisingly, given how often negative self-selection into teaching features in the Polish public debate (NIK, 2017; Krzyżaniak, 2018), evidence on self-selection in Poland is limited to international studies. To our best knowledge, there has been no dedicated research on who becomes a teacher in Poland, which we attribute to the lack of reliable data. Moreover, the existing international research is affected by several methodological and scope limitations. The number of Polish teachers in the PIAAC study is small (199 in the combined 2011 and 2015 samples). Moreover, many of them started their careers years or even decades before the study, thus often while Poland was under communist rule. Their decision process might therefore have been shaped by vastly different factors. Further, the small sample prevents any analysis of heterogeneity within the teacher population. In effect, relatively little is known about teacher self-selection in Poland, which is an interesting case, as we demonstrate in the next section.
Poland's schooling system is predominantly public. Out of 2.5 million elementary school students, only 5.1% attend non-public institutions. The share of private schools in general secondary education is somewhat higher, at around 11% (GUS, 2020). Public schools are typically run by local governments who hire teachers and set their wages. However, both statutory teaching time and the wages of teachers in public education are strictly regulated by a piece of national legislation known as the Teacher's Charter. These regulations result in relatively little variation of wages within groups of teachers with similar work experience and also little variation of teacher wages between locations or schooling tiers (Herbst et al., 2009).
Although Poland has introduced several structural and programmatic reforms of education over the last 30 years, they have not achieved much in terms of closing the earnings gap between teachers and other professions. Teachers’ salaries have been low compared to other sectors for decades and are a recurring theme in public debate. The average salary of a lower secondary school teacher is about 75% of the average for all tertiary-educated workers. Therefore, it remains well below the OECD average (89%), although it is more attractive compared to some other countries in the region, such as Hungary and the Czech Republic (OECD, 2020). The only meaningful policy initiative to improve working conditions for teachers was introduced in 2008. It involved a one-time raise of statutory salaries for early-career teachers by roughly one-third (Herbst & Zając, 2022).
Despite relatively low salaries, the teaching profession occupies a high position in rankings of most respected occupations. Surveys of this kind have been systematically conducted in Poland since 1975. In 2013 teachers were the seventh most reputable profession (out of thirty). A 2019 study yielded a similar result (CBOS, 2013, 2019).
Salaries do not seem to cause teachers to quit their jobs, either. In 2020 there were approximately 570,000 teachers employed in Polish schools (full-time equivalent). Following a drop in their number in the early 2000s due to a demographic decline resulting in school closures, employment in the education sector has been slowly increasing over the last 15 years. The number of posts in 2020 is 14.06% higher than it was in 2007 (GUS, 2007, 2021). Recently, however, the number of graduates from pedagogical programmes has been falling. The share of pedagogy graduates among all university graduates fell from 9.6% in 2014 to 6.7% in 2019 (Herbst & Herczyński, 2021).
It is important to note that the latter statistics do not capture all students interested in a teaching career, but only those trained within concurrent training programmes (as opposed to consecutive ones). In the concurrent model, students attend general programme components (e.g., subject and educational studies) and teaching-focused courses (including school practice) at the same time from the very start of the programme. Concurrent training is typically offered by a distinct unit within a university (e.g., a school of education or pedagogical faculty), but such training courses may also be available at other faculties as teaching-oriented specialisation paths. Students typically enter concurrent training directly after graduating from secondary education. In Poland, this type of training is common among early education teachers who are required to graduate from a university-level pedagogical programme designed specifically for future teachers (Gołębniak & Krzychała, 2015). In contrast, in the consecutive model, students first enroll in programmes in their fields of interest, such as mathematics or biology. Only later do they take teaching-oriented courses, which usually constitute a distinct specialisation path at the later stage of their primary programme. The consecutive mode is typical for teachers specialising in subjects taught in later school grades, such as mathematics, biology, geography, and foreign languages.
Both types of teacher training are available at specialised institutions as well as universities offering a broader selection of academic programmes. The University of Warsaw (UW), where our data come from, belongs to the latter category. It is one of the most renowned tertiary institutions in Poland, located in the capital, which is also the largest and most affluent city in the country. UW has been repeatedly ranked as the first or second university in Poland (Perspektywy, 2021). UW attracts mostly better than average secondary school graduates in terms of the results of Egzamin Maturalny, commonly called Matura, a standardised exam taken at the end of secondary school, which is also the primary and most often sole criterion for university admissions (Zając, 2011). The average Matura rank among UW students in our sample is 0.73, which means it is close to the 75th percentile of all Matura takers. According to Herbst & Herczyński (2021), UW is the third university in the country in terms of the number of subject teachers trained in consecutive mode, and 24th when it comes to programmes designed for early education teachers – this, out of 130 higher education institutions that train teachers.
As previously noted, the current study seeks to close gaps in scholarly knowledge on self-selection into teaching. First, as we explain in more detail below, the data comprise records on ten cohorts of UW graduates, the major tertiary educational institution in Poland, including detailed information about the educational trajectories of those graduates. UW offers both concurrent and consecutive modes of teacher training, which allows us to observe the differences between the two mechanisms of decision-making, as suggested by the literature (Denzler & Wolter, 2009). Furthermore, consecutive training is offered to students of diverse fields of study. Differences in the academic culture and labour market prospects across fields of study might affect self-selection into teaching as well (Roloff Henoch et al., 2014). The scale and richness of the data leveraged in the present study make it possible to investigate self-selection across the modes of teacher training, as well as across the broad fields of studies, which is uncommon in previous studies.
Second, our data enable in-depth insight into students’ prior achievements thanks to the availability of various measures of achievements. The first measure summarises Matura results. We use graduates’ ranks among all exam takers in the country, which also helps us better understand and mitigate the effect of student selection to UW in our results. The second measure is based on all grades received by students within their study programmes at UW. A distinction between students’ achievements in secondary school (Matura) and their early outcomes at the university is important in light of the theoretical models of student choices of study programmes that emphasise the multi-stage character of such decisions (Altonji et al., 2016).
Third, as we explain in the next section, we depart from the oversimplifying binary classification of self-selection into teaching as positive or negative. Instead, we model the relationship between prior achievements and the propensity to choose specific professional paths as curvilinear. This allows us to model more varied relationships than basic models.
Finally, most of the evidence on self-selection to teaching comes from the US. It is thus important to investigate this issue in the context of other educational systems. Poland is an interesting case. Its arrangements regarding teacher formation and the organisation of schooling show a number of similarities with solutions in many other European countries, where education is predominantly public, the training of teachers is largely provided by universities and offered in multiple modes, and teacher wages are at least partially regulated by the state – and are typically not very attractive for the top-performing university graduates.
In the next section, we describe our model of self-selection to teaching as well as methods used in our analysis.
In our analysis, we use a large-scale administrative dataset exported from the student management and admissions systems of UW. The systems store detailed information on student educational trajectories within the university, including all data collected in the admissions process, Matura results, as well as records on courses taken, grades, and more.
Our sample comprises graduates who commenced their BA or five-year MA studies between the academic years 2005/06 and 2016/17 and completed their education between 2009/10 and 2018/19. We excluded older students who finished secondary school before the advent of the standardised Matura, some international students, and International Baccalaureate takers. Finally, we made some exclusions due to missing data. The resulting database consists of 39,779 graduates. We use full data to analyze self-selection to concurrent teacher training. In the case of students who might have considered consecutive training as a teacher, we excluded all students whose first programme at UW was at the Department of Pedagogy (which constitutes a concurrent path of teacher formation). We also chose not to include students of programmes that do not offer any courses related to teaching and are not directly related to any of the subjects taught at primary or secondary schools. These include inter alia programmes run by the Department of Law and Administration, the Department of Management, and the Department of Economic Sciences. The resulting restricted sample numbers 23,790 observations.
As noted before, UW offers two paths to teacher credentials. The concurrent path involves obtaining a degree at the Department of Pedagogy (DP). DP offers courses preparing early-education teachers, general pedagogical training, specialised training in childcare, preparing for special education, and introduction to educational management. Although not all students in these programmes will ultimately teach, we consider admission to DP as a sign of primary interest in working as an educator at school, and therefore we treat all DP graduates as trained within the concurrent model. There are 1,384 such graduates in our data (3.5% of the total sample).
In contrast, other teachers trained in the consecutive mode, as a follow-up or specialised track within their major programme. These tracks vary across departments, but they are all capped by an internship, during which students practice teaching in schools. As completing an internship is required to obtain teacher credentials, we use them to identify graduates who finished consecutive training. There are 2,592 such graduates (10.9% of the restricted sample).
Academic achievement is our key explanatory variable and is captured by two measures. First, the Matura rank is an indicator based on Matura results. Matura takers choose different sets of subjects. Moreover, between-subject and between-year comparisons are problematic. For that reason, we opted for relative measures of Matura performance described by Zając (2016).
First, using national data on the distribution of results for each subject in each year, we turned every individual result into a rank – one representing, for each individual, the number of Matura takers within their cohort who performed worse at a particular exam. The individual ranks were then divided by the number of individuals taking the same Matura exam in the same year minus one. The results were then averaged for each individual. The resulting average Matura rank represents the share of Matura takers with lower Matura results than individual i and is given by the following formula:
The second measure of academic achievement, the first-year rank (Siuniv) is based on a student's grades in the first year of their studies at UW. The ranking process is very similar to the one applied to Matura results. Each grade is turned into the share of students with lower results among all course takers. Then the shares are averaged.
Furthermore, in the analysis of self-selection into consecutive training, we introduce the field of study in our model. We divide the restricted sample into four subcategories: STEM (Mathematics, IT, Physics, Chemistry, Biology, Geography, Geology), humanities (Polish studies, Anthropology, Archeology, History, Cultural studies, Musicology), social sciences (Journalism, Psychology, Political science, European studies), and foreign languages (Neophilology, Foreign languages programmes).
To reduce the impact of potentially confounding variables, we introduce a series of control variables in the models. These include gender; type of secondary institution; population of the municipality in which a student attended secondary school, budget revenues and unemployment rate in this municipality relative to country averages; mode of study (full-time, part-time, evening); level of study (BA vs. MA); eligibility for financial aid (a proxy for low income); participation in the Erasmus student exchange; region of origin; university department; and the number of Matura subjects that a student took at the advanced level. Tables 1a–1b present summary statistics of all variables included in the analyses.
Frequencies for categorical variables
| Variables | Full sample | Of which: | Restricted sample | Of which: | |||
|---|---|---|---|---|---|---|---|
| Pedagogy | STEM | Humanities | Foreign languages | Social Sciences | |||
| Dependent variables | |||||||
| Teachers in concurrent mode | 3.5 | 100 | - | - | - | - | - |
| Teachers in consecutive mode | 6.29 | - | 10.90 | 10.57 | 12.67 | 24.67 | 0.89 |
| Independent variables | |||||||
| Gender | |||||||
| Female | 69.30 | 96.53 | 69.92 | 53.09 | 76.93 | 85.38 | 67.89 |
| Male | 30.70 | 3.47 | 30.08 | 46.91 | 23.07 | 14.62 | 32.11 |
| Type of secondary school | |||||||
| General | 97.99 | 96.82 | 98.75 | 99.33 | 98.67 | 99.32 | 97.99 |
| Vocational | 2.01 | 3.18 | 1.25 | 0.67 | 1.33 | 0.68 | 2.01 |
| Social stipend | |||||||
| receiving | 12.56 | 20.38 | 13.13 | 14.84 | 16.40 | 13.14 | 10.72 |
| not receiving | 87.44 | 79.62 | 86.87 | 85.16 | 83.60 | 86.86 | 89.28 |
| Mode of studying | |||||||
| full time | 75.95 | 72.90 | 84.75 | 98.51 | 88.93 | 87.13 | 72.25 |
| part time | 11.78 | 0.22 | 7.78 | 0.36 | 2.82 | 8.17 | 14.39 |
| evening | 12.27 | 26.88 | 7.47 | 1.13 | 8.25 | 4.70 | 13.36 |
| Highest degree obtained | |||||||
| MA | 52.34 | 44.80 | 48.94 | 50.94 | 48.64 | 46.54 | 49.38 |
| BA | 47.66 | 55.20 | 51.06 | 49.06 | 51.36 | 53.46 | 50.62 |
| Starting on time | |||||||
| starting the programme on time | 95.06 | 97.18 | 95.27 | 94.05 | 95.48 | 94.83 | 96.32 |
| joining later | 4.94 | 2.82 | 4.73 | 5.95 | 4.52 | 5.17 | 3.68 |
| N | 39,779 | 1,384 | 23,790 | 5,834 | 3,298 | 5,999 | 8,659 |
Descriptive statistics (mean, sd) for continuous variables
| Independent variables | Full sample | Of which: | Restricted sample | Of which | |||
|---|---|---|---|---|---|---|---|
| Pedagogy | STEM | Humanities | Foreign languages | Social Sciences | |||
| Hometown population†* | 874,298 (805,313) | 793,140 (820,562) | 886,023 (802,214) | 875,805 (797,393) | 901,727 (809,809) | 855,417 (801,783) | 908,130 (802,173) |
| Hometown revenues per capita (PLN) †† | 3,541 (1,826) | 3,393 (2,124) | 3,578 (1,834) | 3590 (1766) | 3589 (1810) | 3508 (1961) | 3613 (1797) |
| Hometown unemployment (%)†† | 7.99 (5.85) | 8.45 (5.94) | 7.892085 (5.84) | 7.90 (5.74) | 7.86 (5.91) | 8.11 (5.96) | 7.74 (5.78) |
| Matura subjects at advanced level | 2.61 (1.05) | 2.08 (1.08) | 2.67 (1.01) | 2.71 (0.87) | 2.53 (0.98) | 2.71 (0.98) | 2.68 (1.11) |
| Matura outcome (Si sec) ††† | 0.727 (0.152) | .609 (.140) | .737 (0.146) | 0.768 (0.136) | .0723 (0.139) | 0.754 (0.139) | 0.712 (0.156) |
| Achievements at UW (Si univ) †††† | 0.557 (0.115) | .525 (0.095) | .559 (0.114) | (0.576) (0.130) | (0.546) (0.120) | 0.564 (0.114) | (0.549) (0.096) |
Natural logarithm of the variable used in the estimation;
Variables are standardized (0,1) within student cohorts in the estimation;
Relative to all Matura takers in Poland within the same cohort;
Relative to UW students within the same cohort taking the same courses during the 1st year of the programme
Student's hometown is the town where he/she attended secondary school
Self-selection into the teaching profession with respect to academic skills is typically debated in dichotomic terms – as either positive or negative. Our approach acknowledges the fact that the labour market return on cognitive skills is not linear. Returns on skills vary across the distribution of academic achievements, between fields of studies, professions, and along the wage ladder (Psacharopoulos & Patrinos, 2018; Gregg et al., 2019; Gunderson & Oreopolous, 2020). Therefore, it is reasonable to expect a curvilinear rather than a linear relationship between students’ skills and enrolling in teacher training.
The probability of entering concurrent teacher training could be modeled in the following way:
The model for the consecutive mode of training is more complex, as students have more information on their academic performance while they decide on whether to engage in training for teachers. In addition to Matura results, they are already aware of their early achievements at the university. In the spirit of Altonji et al. (2016), we therefore assume that individuals initially decide on entering a college and their major and later update their choice based on their early experience at university. However, we do not model the initial choice; rather, we focus on students’ later decisions about a teaching specialisation, at which point the student takes into account both their Matura outcome and their achievements during the first year at university. Furthermore, our model accounts for potential differences in students’ motivations across fields of study.
As a result, the model for the probability of entering consecutive training has the following form:
By including both Sisec and Siuniv in Equation 2, we distinguish between the background academic performance (Matura results) and the grades received at the university. The latter measure is important because it reflects an update of students’ academic self-concept, based on their performance within the specific academic programme. Moreover, while Matura results refer to the general cognitive skills of students, the latter measure shows how well students are matched to the programme of their primary choice.
Both models include quadratic terms for measures of academic ability, and this allows us to model curvilinear, including nonmonotonic, relationships between entering teacher training and both Matura results and grades received by students at the university. This allows us to represent the mechanisms of self-selection more accurately. Table 2 includes some exemplary interpretations of estimated β1–β4 parameters from Equation 2. While categorising the mechanisms of students’ attraction to the teacher training programmes, we assume that unequivocally positive or negative self-selection represent extremes in the array of more nuanced but also more likely schemes. For example, in the “middling skills” selection scheme, the attractiveness of the teaching career increases along with student achievements, but it does so at a strongly diminishing rate, so that ultimately the main target group are those with just average skills. Another possibility is the strong representation of the “falling-back” students, who are disappointed by their early experience at the university, or “thriving specialists”, that is, those with relatively low Matura results yet who perform well within their university programmes.
Exemplary mechanisms of self-selection to teacher training
| Sign of β | Description | |||
|---|---|---|---|---|
| sisec | sisec2 | siuniv | siuniv2 | |
| + | 0 | + | 0 | Double positive selection. Positive and linear self-selection to teacher training with respect to both Matura score and early achievements at UW |
| − | − | + | + | Thriving specialists. Many teachers recruit themselves from among students who scored low on their Matura, but who perform very well within their UW programme. |
| − | 0 | 0 | 0 | Random selection from among low-profile students. The effect of Matura score on self-selection to teaching is linearly negative. Later experience at the university has no impact on students’ decisions |
| + | − | 0 | 0 | Middling skills selection. Teaching career is not attractive for low-performing students, but its attractiveness increases at a falling rate as we move along the achievements distribution. |
| 0/+ | 0 | + | − | Falling back students. Achievements on Matura do not affect students’ choices, but teaching is more likely to be chosen be those struggling academically while at UW |
| + | 0 | − | 0 | Mismatched. Prospective teachers had good scores on their Matura, but nevertheless they struggle at their university programme. |
| − | 0 | − | 0 | Double negative. Negative and linear self-selection to teacher training with respect to both Matura score and early achievements at UW |
As the outcome variable is binary, the equations are estimated using logit regression. To ease interpretation of the estimation outcomes, we discuss the model results as predicted probabilities (obtained with Stata's margins post-estimation procedure).
We start by analyzing self-selection to concurrent training. Figure 1 presents the predicted conditional probabilities of entering teacher training by student achievement, and Table 3 contains full sets of model coefficients. The solid line in Figure 1, which illustrates the relationship between predicted conditional probabilities of entering concurrent training by deciles of the Matura rank, suggests strong negative self-selection. Individuals with the lowest Matura results (in the first decile in the sample) are most likely to undergo concurrent training. The predicted probability stands at almost 9%. At the same time, the predicted probability of choosing concurrent training is 2.5% among the fifth-decile graduates and less than 0.5% among the top-decile graduates.

Predicted probability of completing concurrent and consecutive teacher training, by percentile of the average Matura rank outcome and by percentiles of achievements during the first year at UW
Logit regression outcomes: concurrent versus consecutive mode of teacher training
| (1) | (2) | |
|---|---|---|
| Concurrent | Consecutive | |
| Gender (f) | 2.374*** | 0.462*** |
| (0.148) | (0.0675) | |
| While in secondary school | ||
| General sec. (vs. vocational) | 0.578*** | 0.666 |
| (0.170) | (0.355) | |
| Matura outcome | 12.54*** | −4.234** |
| (1.358) | (1.474) | |
| Matura^2 | −14.24*** | 4.371*** |
| (1.109) | (1.045) | |
| N of subjects at advanced level | −0.303*** | 0.0785** |
| (0.0311) | (0.0282) | |
| Log_hometown population | −0.094*** | 0.0422 |
| (0.0318) | (0.0421) | |
| Unemployment in hometown | −0.0306 | 0.0454 |
| (0.0474) | (0.0424) | |
| Local revenues in hometown | 0.112* | −0.187* |
| (0.0568) | (0.0946) | |
| While at the university | ||
| Starting on time_ | 0.687*** | −0.688*** |
| (0.170) | (0.140) | |
| 1st year achievements | 5.924*** | |
| (1.555) | ||
| 1st year achievements^2 | −6.513*** | |
| (1.378) | ||
| Social stipend | 0.293*** | 0.361*** |
| (0.0752) | (0.0667) | |
| Evening mode | −4.793*** | −1.072*** |
| (0.579) | (0.213) | |
| Part-time mode | −0.267*** | −0.845*** |
| (0.0799) | (0.140) | |
| MA (vs. BA) | −0.226*** | 1.199*** |
| (0.0651) | (0.0647) | |
| Erasmus experience | −0.0638 | |
| (0.0616) | ||
| constant | −6.132*** | −6.380*** |
| (0.786) | (0.972) | |
| Pseudo r2 | 0.195 | 0.311 |
| N | 39779 | 23336 |
Standard errors in parentheses
p < 0.05,
p < 0.01,
p < 0.001
Furthermore, entering concurrent teacher training is less likely in the case of students who have taken more subjects at the advanced level. The log odd for this variable is −0.3 (p < 0.01). This shows that a more ambitious approach to Matura is also associated with lower chances of choosing concurrent teacher education.
Specification includes also dummies for student cohorts and regions (voivodeships) in which students have graduated from secondary school
To examine self-selection to the consecutive teacher training, we turn to the results of the second model, which includes both measures of academic achievement. The dash-dotted line in Figure 1 shows the predicted probability of completing consecutive training by Matura results. The relationship is markedly different from the previous model. In contrast to concurrent training, the predicted probability of completing consecutive training rises with the Matura rank. The predicted probability stands at 8.3% among students with the lowest values of the Matura rank and reaches 16% among the best-performing students.
However, the picture becomes more complex when we consider students’ performance during the first year of their studies. The curve representing the relationship between first-year rank and probability of completing consecutive teacher training (dashed line in Figure 1) has an inverted u shape. This suggests that the mid-ranking graduates with a predicted probability of 11.9% are most likely to become teachers, while worst and best-performing students have lower probabilities of becoming a teacher, 6.9% and 2.8%, respectively. Thus, overall, the prospect of teaching specialised subjects at school is attractive for those with a solid academic background, but not necessarily for students performing best in their fields.
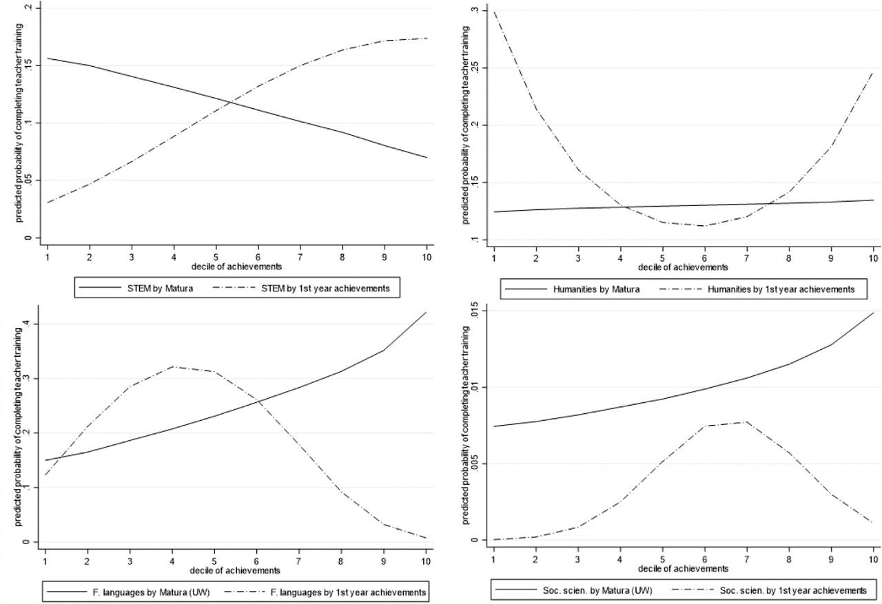
In the next step, we investigate self-selection to teaching within four broad areas of study – STEM, humanities, foreign languages, and social sciences. Figure 2 presents predicted probabilities of completing consecutive teacher training by the Matura and first-year ranks, separately for each of the four broad fields of studies. In turn, Table 4 presents full sets of regression results. We observe marked differences between the areas of study. The teaching career is most popular among graduates of foreign language programmes (predicted probability of 24.7%). Graduates of STEM and humanities programmes have a similar inclination towards teaching (12.3% and 12.8%, respectively). In turn, those who studied social sciences are very unlikely to complete teacher training (1%). As noted before, the differences stem probably from the fact that not all university programmes have a corresponding school subject.

Predicted probability of completing consecutive teacher training, by field of studies, and by decile of Matura outcome/first-year achievements
Logit regression outcomes by field: consecutive mode of teacher training
| (1) | (2) | (3) | (4) | |
|---|---|---|---|---|
| STEM | Humanities | Foreign languages | Social sciences | |
| Gender (f) | 0.540*** | 0.411* | 0.229* | 0.874* |
| (0.116) | (0.164) | (0.110) | (0.370) | |
| While in secondary school | ||||
| General secondary (vs. vocational) | −0.0238 | 1.279 | 0.950 | 0 |
| (0.582) | (0.759) | (0.648) | (.) | |
| Matura outcome | 6.506 | 0.290 | −8.758*** | −2.727 |
| (3.473) | (3.121) | (2.174) | (8.127) | |
| Matura^2 | −6.053* | −0.0324 | 8.889*** | 3.100 |
| (2.503) | (2.287) | (1.524) | (5.629) | |
| N of subjects at advanced level | −0.216** | −0.161* | 0.242*** | 0.550*** |
| (0.0696) | (0.0645) | (0.0402) | (0.148) | |
| Log hometown population | 0.0182 | −0.127 | 0.119* | −0.0114 |
| (0.0938) | (0.0964) | (0.0602) | (0.225) | |
| Unemployment in hometown | 0.172* | 0.0111 | −0.0288 | 0.0976 |
| (0.0843) | (0.0943) | (0.0653) | (0.245) | |
| Local revenues in hometown | −0.194 | 0.0285 | −0.191 | −0.0481 |
| (0.208) | (0.214) | (0.138) | (0.535) | |
| While at the university | ||||
| Starting on time | −0.167 | −0.700* | −1.042*** | −1.414* |
| (0.307) | (0.308) | (0.215) | (0.700) | |
| 1st year achievements | 5.752 | −6.753* | 11.45*** | 21.00 |
| (3.409) | (2.928) | (2.457) | (12.81) | |
| 1st year achievements^2 | −2.920 | 6.437* | −13.48*** | −17.03 |
| (2.903) | (2.670) | (2.214) | (10.82) | |
| Social stipend | 0.410*** | 0.340* | 0.345** | 0.0373 |
| (0.123) | (0.143) | (0.106) | (0.449) | |
| Evening mode | −0.274 | 0.453 | −1.771*** | 0.679 |
| (1.054) | (0.393) | (0.370) | (0.471) | |
| Part-time mode | −2.310** | −0.904*** | −0.856*** | 1.016 |
| (0.746) | (0.258) | (0.198) | (0.632) | |
| MA (vs. BA) | 1.487*** | 0.827*** | 1.365*** | 0.341 |
| (0.150) | (0.145) | (0.0934) | (0.388) | |
| Erasmus experience | −0.282 | −0.935*** | 0.108 | −0.0865 |
| (0.154) | (0.245) | (0.0803) | (0.296) | |
| constant | −7.683*** | 0.887 | −5.897*** | −9.973 |
| (2.072) | (2.328) | (1.621) | (5.592) | |
| Pseudo R2 | 0.255 | 0.118 | 0.276 | 0.311 |
| N | 4975 | 3158 | 5815 | 7355 |
Standard errors in parentheses
p < 0.05,
p < 0.01,
p < 0.001
Specification includes also dummies for student cohorts, faculties at UW, and regions (voivodeships) in which students have graduated from secondary school
Moreover, the nature of within-field selection to teacher training is also heterogeneous. Among STEM graduates, the predicted probability of completing teacher training decreases with Matura results but increases with the first-year rank. While around 3% of individuals with the lowest values of the first-year rank completed teacher training, the corresponding value for those with the highest values of the first-year rank is 17.3%. In contrast, while the predicted probability of completing teacher training is 15.6% for those at the first decile of the Matura rank, it is only 7% for the top scorers.
The patterns are entirely different among graduates of humanities. In this group, we do not observe any significant relationship between the probability of completing teacher training and the Matura rank. Moreover, the relationship with the first-year rank is u-shaped, with the lowest predicted probabilities, at 11.5%, for individuals with the rank at the median values. The probabilities are highest for the extremes of the first-year rank distribution, at 29.9% for the first decile and 24.7% for the top decile.
For social sciences and foreign languages, we observe yet another pattern. Although these areas differ in the overall share of graduates with teacher qualifications, they look similar in the way the probabilities of completing teacher training change with measures of achievement. However, an important difference is that all coefficients for social science turn out insignificant due to the very small number of teacher trainees within the field. In contrast, among foreign languages graduates, the predicted probability rises with the Matura rank, from 15% for students at the first decile to 42% for the top-performing ones. In what concerns the relationship between first-year achievements of students and the predicted probability of completing teacher training, we observe an asymmetric bell-like curve. The probability reaches its maximum (32.1%) for the fourth decile of the first-year rank, while the lowest values are observed for the top-performing students (below 1%).
One general conclusion from this part of the analysis is that the effect of students’ early achievements within the university programme on their willingness to join teacher training is very distinct from the impact of achievements at the Matura examination. We discuss a possible interpretation in section 4 of the paper. However, it is worth underscoring that our results are in favour of deeming students’ decision-making about their future careers to be a multi-stage process.
Our models allow us to analyze other aspects of self-selection – namely, the role of sociodemographic characteristics. Table 5 presents the predicted probabilities of completing teacher training by these variables. All models suggest that women are more interested in a teaching career. Women have a much higher probability of completing concurrent training than men (with a predicted probability of 4.5% versus 0.5% for men). In fact, they make up 96.5% of all PD graduates. Women are more likely to complete consecutive training, too, with the predicted probability of 11.5% for women compared to 8.4% for men. We observe this pattern across all areas of study, with the largest probability contrast (or, in other words – the average marginal effect – AME), among STEM and humanities graduates, at 4.4 and 3.8 percentage points (pp), respectively.
Predicted probabilities of completing teacher training
| (1) | (2) | (3) | (4) | (5) | (6) | ||
|---|---|---|---|---|---|---|---|
| Variable | Categories | Concurrent mode | Consecutive mode | STEM | Human | Foreign languages | Social sciences |
| Gender | |||||||
| Male | 0.47% | 8.42% | 9.43% | 9.80% | 22.26% | 0.57% | |
| Female | 4.54% | 11.56% | 13.81% | 13.63% | 25.18% | 1.20% | |
| Social stipend | |||||||
| Yes | 4.30% | 13.21% | 15.29% | 15.88% | 28.76% | 1.06% | |
| No | 3.32% | 10.46% | 11.61% | 12.20% | 24.13% | 1.03% | |
| Number of Matura subjects taken at advanced level | |||||||
| 1 | 4.89% | 9.98% | 15.32% | 15.41% | 19.37% | 0.39% | |
| 3 | 2.84% | 11.08% | 11.44% | 12.1% | 25.41% | 1.06% | |
| 5 | 1.61% | 12.27% | 8.33% | 9.23% | 32.27% | 2.46% | |
| Mode of university programme | |||||||
| full-time | 4.49% | 11.32% | 12.57% | 13.50% | 25.83% | 0.97% | |
| part-time (evening) | 0.04% | 5.20% | 10.39% | 18.90% | 8.18% | 1.69% | |
| part-time | 3.54% | 6.20% | 1.93% | 6.37% | 15.64% | 1.16% | |
| Population of hometown | |||||||
| 5,000 | 4.82% | 9.77% | 11.78% | 18.73% | 19.07% | 1.07% | |
| 500,000 | 3.32% | 11.08% | 12.45% | 12.20% | 25.59% | 1.03% | |
| Unemployment rate in hometown | |||||||
| mean − 1 std. dev. | 3.58% | 10.53% | 10.71% | 12.75% | 25.19% | 0.95% | |
| mean + 1 std. dev. | 3.39% | 11.19% | 13.62% | 13.00% | 24.44% | 1.12% | |
| MA/BA | |||||||
| MA | - | 15.20% | 17.20% | 16.82% | 34.38% | 1.12% | |
| BA | - | 6.67% | 5.56% | 8.56% | 16.49% | 0.84% | |
| Erasmus experience | |||||||
| Yes | - | 10.55% | 10.41% | 6.30% | 25.72% | 0.99% | |
| No | - | 11.00% | 12.65% | 13.70% | 24.31% | 1.06% | |
Economic status is somewhat associated with completing teacher training. Graduates getting need-based scholarships are 1pp more likely to complete concurrent training. The difference is larger in the case of consecutive training. Receiving a scholarship is associated with a 2.8 pp increase in the predicted probability of getting teacher qualifications. Although there are some differences in this matter between the fields, low-income students are always more likely to complete teacher training than those not eligible for scholarships.
Furthermore, we observe some association of completing teacher training with characteristics of the graduates’ geographic origin. However, these associations are not uniform across modes of teacher training. While originating from a large city (compared to a small town of 5,000) decreases the predicted probability of completing the concurrent training by 1.5 pp, its effect on the predicted probability of completing the consecutive training is insignificant, with the exception of foreign language programmes, where students from large cities are clearly more prone to engage in a teaching specialisation. In turn, unemployment in the place of origin does not have a significant effect on the probability of completing concurrent training for teachers, but higher unemployment is positively associated with interest in teaching among students of STEM programmes.
In sensitivity analyses, we tested other specifications of the models. As graduates from Warsaw make up more than half of the sample (53%), we compared the models in two subsamples: one including only students who have completed their secondary education outside Warsaw, and one including only those originating from Warsaw. The main findings remained unchanged, both with respect to the concurrent and consecutive modes. Although the size of the measured effects varies between samples, their direction and general interpretation remain the same.
Moreover, we tested an alternative definition of the dependent variable (engagement in teacher training). The approach used in the main analysis is rather conservative, as only those who reached the late stage of training (internship) were considered prospective teachers. In alternative variants, we used more detailed information on students’ engagement in courses related to didactics, pedagogy, and educational psychology in order to construct a whole range of variables identifying teaching-oriented students. This means that our main results are largely unaffected by the way we define our dependent variable.
Two opposing views of teachers seem to dominate the public debate. While some portray teachers as an esteemed and essential profession, others emphasise the presumed negative selection to the profession. However, empirical research shows that the debate should be more nuanced. For example, self-selection to the teaching career depends, among other factors, on the organisational and cultural setting in which students make their professional choices. Our study contributes to the literature by providing new evidence on self-selection to teaching from Poland. Utilising large scale data from the University of Warsaw – Poland's largest public university – allowed us to overcome shortcomings constraining previous studies and broaden the scope by examining concurrent and consecutive programmes of teacher training at the same time.
Our results provide strong evidence of self-selection to concurrent teacher training at UW. A disadvantaged background, such as coming from smaller towns or low-income families, is associated with a higher probability of entering concurrent teacher training. This may indicate that a teaching career is perceived as a lever for social advancement for less privileged students. These findings, as well as the strong feminisation of concurrent teacher training, are consistent with results from other countries (e.g., Denzler & Wolter, 2009; Lautenbach, 2019).
Furthermore, we observe strong negative self-selection to concurrent teacher training with respect to students’ achievement at the Matura examination. However, the conclusions on the entrants to consecutive training for teachers are more nuanced. Looking globally at prospective subject teachers in all study fields, we observe positive self-selection with respect to Matura outcome. Our findings contradict the widespread belief that subject teachers recruit themselves only from among the weakest students. We observe a bell-shaped relationship between students’ achievements in their first year of university studies and the probability of subsequent accession to consecutive training. For those with grades above the median, the correlation is clearly negative. In other words, consecutive teacher training is more likely to be considered by those students who had good achievements back in secondary school, but their records at the university were just average. The education sector fails to attract outstanding university graduates, which, as suggested by other studies, may be caused by relatively low wages offered to teachers (Gilpin & Kaganovich, 2012; Han et al., 2018)
Decomposing the student population into broad fields of studies (STEM, the humanities, foreign languages, and social sciences) reveals differences in the mechanism of self-selection to a teaching specialisation. This echoes earlier findings, such as those of Roloff Henoch et al. (2015). Among STEM graduates, completing teacher training is associated with being female, a relatively low-profile approach to Matura (preferring to take exams at the standard level), and lower Matura scores by UW standards. Given that UW students generally recruit themselves from among the above-average graduates of secondary schools, we could suspect middling skills selection on the scale of the whole country. However, this hypothesis needs verification using a representative sample of Polish students. Interestingly, there is no clear self-selection of STEM students into teacher training based on grades received in the first year. Consequently, our analysis does not confirm the “fall-back” hypothesis in the case of STEM teachers. Instead, the observed mechanism resembles a “random selection from among low-profile students” (see typology in Table 1).
In contrast, among foreign language graduates, the predicted probability of becoming a teacher is highest among graduates with high Matura results and those with university grades in the initial stage of university studies close to the average. High university grades are associated with much lower chances of choosing teacher training. This finding is worrisome, as it suggests that the decision not to join teacher training may result from the unattractiveness of teacher work for the best students having better labour market options. Referring again to generic types of selection proposed in Table 1, one could say that potentially the best teachers of foreign languages remain “unattracted” (pushed out) by the education sector.
The humanities represent yet another mechanism of self-selection. Secondary school achievements do not seem to correlate with subsequent decisions on whether to join the teacher training. With respect to student performance at the university, prospective teachers in the humanities tend to recruit themselves from two different groups: those with very low grades in the first year and those with very high performance. Average students are highly underrepresented. In the spirit of our typology, the two groups may be labeled as “falling back/mismatched” students and “thriving specialists”.
Our results are thus consistent with the findings from Switzerland (Denzler & Wolter, 2009) and Germany (Bohndick, 2020), where the mechanism of self-selection to the teaching profession is both institution-specific and programme-specific. In the case of the University of Warsaw, programme specificity is well illustrated by the difference in the self-selection process between concurrent and consecutive teacher training, as well as between the broad fields of studies.
Although our study provides in-depth insight into the self-selection of students to a teaching career, it has limitations that need to be acknowledged. First, we perform our analysis using data from a single institution located in a large metropolitan city. We believe that our findings may be extended to other institutions of similar characteristics (large public universities offering a wide variety of programmes), but they may not be generalisable to the entirety of teacher education in Poland.
Second, by focusing on students’ academic performance and their sociodemographic features, we assume, following the evidence from earlier studies, that such characteristics are a good predictor of an individual's aptitude to work as a schoolteacher. Although this may be true in statistical terms (see literature review in sections 1 and 2), we omit some important factors, such as intrinsic motivations, which in some circumstances might counterweight the effect of observable characteristics (Olsen, 2021; Darling-Hammond, 2021). It would be most appropriate to declare that we investigate selected aspects of students’ self-selection to teacher work – ones that are measurable and that can potentially be influenced by policy measures and institutional arrangements.
Third, in our study, we examine the revealed intentions of becoming a teacher. Unfortunately, we do not have data on post-graduation outcomes. We cannot rule out another stage of self-selection during the school-to-work transition. Future studies should investigate this.
Our research carries important lessons for policymaking. Determining the nature of self-selection is important for better understanding who can be attracted to work at schools, given limited public resources and, realistically speaking, the inevitable unattractiveness of teacher wages for the most talented university graduates. Making the concurrent training of teachers the dominant form of teacher formation is sometimes presented as a way to improve teaching quality (Wiłkomirska, 2005). Proponents of this approach suggest that “full-time” teacher formation programmes not only do a better job in preparing students for working in a school, but they are positively correlated with a sense of teaching efficacy, a sense of responsibility for student learning, and with the willingness of teachers to remain in the profession (Darling-Hammond et al., 2002). Although we sympathise with many of these arguments, our results show that before any policy change in this matter may be considered, there is an urgent need to overturn the strong negative selection to such programmes. Currently, the concurrent mode of training might attract to teaching more talented students who are most interested in another subject. Furthermore, the concurrent mode might attract students at a later stage in their academic career, thereby opening the path to teaching to even more students.
Another important problem is whether providing concurrent training of teachers at prestigious universities is advantageous compared to offering similar programmes by specialised institutions. The latter solution might prevent students from exercising the fall-back strategies that we observed at UW and help to attract candidates with a strong interest in teaching. Especially, as shown by Herbst et al. (2014), as prospective students in Poland typically assign higher priority to the choice of university than they attach to the field of study. However, the consecutive mode might be more beneficial if initial courses began very early within the respective university programmes. In this way, they might attract more teaching enthusiasts within different fields of studies and reduce the fall-back strategies taken by students who struggle in the field of their primary choice, and for whom choosing a teaching specialisation is a contingency plan.
