Figure 1.

Figure 2.

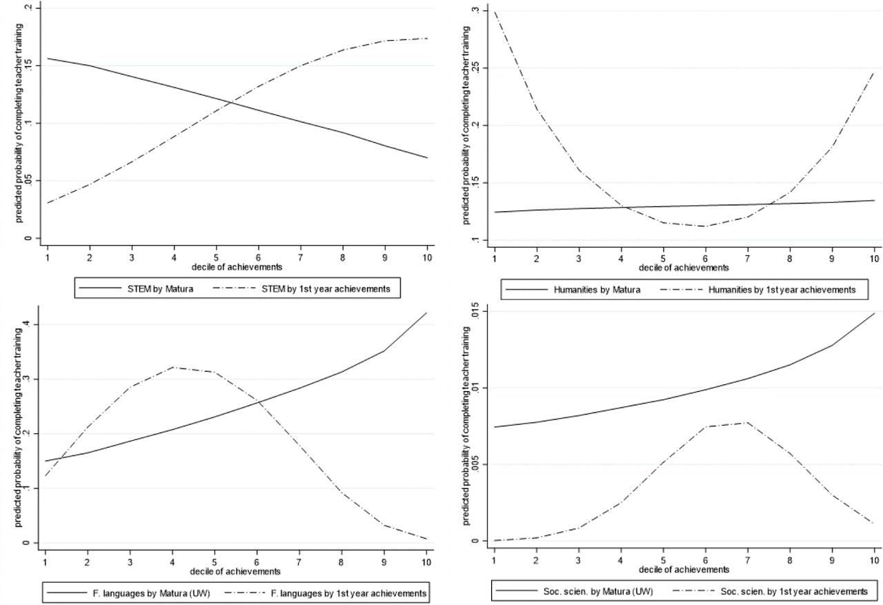
Predicted probabilities of completing teacher training
| (1) | (2) | (3) | (4) | (5) | (6) | ||
|---|---|---|---|---|---|---|---|
| Variable | Categories | Concurrent mode | Consecutive mode | STEM | Human | Foreign languages | Social sciences |
| Gender | |||||||
| Male | 0.47% | 8.42% | 9.43% | 9.80% | 22.26% | 0.57% | |
| Female | 4.54% | 11.56% | 13.81% | 13.63% | 25.18% | 1.20% | |
| Social stipend | |||||||
| Yes | 4.30% | 13.21% | 15.29% | 15.88% | 28.76% | 1.06% | |
| No | 3.32% | 10.46% | 11.61% | 12.20% | 24.13% | 1.03% | |
| Number of Matura subjects taken at advanced level | |||||||
| 1 | 4.89% | 9.98% | 15.32% | 15.41% | 19.37% | 0.39% | |
| 3 | 2.84% | 11.08% | 11.44% | 12.1% | 25.41% | 1.06% | |
| 5 | 1.61% | 12.27% | 8.33% | 9.23% | 32.27% | 2.46% | |
| Mode of university programme | |||||||
| full-time | 4.49% | 11.32% | 12.57% | 13.50% | 25.83% | 0.97% | |
| part-time (evening) | 0.04% | 5.20% | 10.39% | 18.90% | 8.18% | 1.69% | |
| part-time | 3.54% | 6.20% | 1.93% | 6.37% | 15.64% | 1.16% | |
| Population of hometown | |||||||
| 5,000 | 4.82% | 9.77% | 11.78% | 18.73% | 19.07% | 1.07% | |
| 500,000 | 3.32% | 11.08% | 12.45% | 12.20% | 25.59% | 1.03% | |
| Unemployment rate in hometown | |||||||
| mean − 1 std. dev. | 3.58% | 10.53% | 10.71% | 12.75% | 25.19% | 0.95% | |
| mean + 1 std. dev. | 3.39% | 11.19% | 13.62% | 13.00% | 24.44% | 1.12% | |
| MA/BA | |||||||
| MA | - | 15.20% | 17.20% | 16.82% | 34.38% | 1.12% | |
| BA | - | 6.67% | 5.56% | 8.56% | 16.49% | 0.84% | |
| Erasmus experience | |||||||
| Yes | - | 10.55% | 10.41% | 6.30% | 25.72% | 0.99% | |
| No | - | 11.00% | 12.65% | 13.70% | 24.31% | 1.06% | |
Logit regression outcomes: concurrent versus consecutive mode of teacher training
| (1) | (2) | |
|---|---|---|
| Concurrent | Consecutive | |
| Gender (f) | 2.374*** | 0.462*** |
| (0.148) | (0.0675) | |
| While in secondary school | ||
| General sec. (vs. vocational) | 0.578*** | 0.666 |
| (0.170) | (0.355) | |
| Matura outcome | 12.54*** | −4.234** |
| (1.358) | (1.474) | |
| Matura^2 | −14.24*** | 4.371*** |
| (1.109) | (1.045) | |
| N of subjects at advanced level | −0.303*** | 0.0785** |
| (0.0311) | (0.0282) | |
| Log_hometown population | −0.094*** | 0.0422 |
| (0.0318) | (0.0421) | |
| Unemployment in hometown | −0.0306 | 0.0454 |
| (0.0474) | (0.0424) | |
| Local revenues in hometown | 0.112* | −0.187* |
| (0.0568) | (0.0946) | |
| While at the university | ||
| Starting on time_ | 0.687*** | −0.688*** |
| (0.170) | (0.140) | |
| 1st year achievements | 5.924*** | |
| (1.555) | ||
| 1st year achievements^2 | −6.513*** | |
| (1.378) | ||
| Social stipend | 0.293*** | 0.361*** |
| (0.0752) | (0.0667) | |
| Evening mode | −4.793*** | −1.072*** |
| (0.579) | (0.213) | |
| Part-time mode | −0.267*** | −0.845*** |
| (0.0799) | (0.140) | |
| MA (vs. BA) | −0.226*** | 1.199*** |
| (0.0651) | (0.0647) | |
| Erasmus experience | −0.0638 | |
| (0.0616) | ||
| constant | −6.132*** | −6.380*** |
| (0.786) | (0.972) | |
| Pseudo r2 | 0.195 | 0.311 |
| N | 39779 | 23336 |
Descriptive statistics (mean, sd) for continuous variables
| Independent variables | Full sample | Of which: | Restricted sample | Of which | |||
|---|---|---|---|---|---|---|---|
| Pedagogy | STEM | Humanities | Foreign languages | Social Sciences | |||
| Hometown population†* | 874,298 (805,313) | 793,140 (820,562) | 886,023 (802,214) | 875,805 (797,393) | 901,727 (809,809) | 855,417 (801,783) | 908,130 (802,173) |
| Hometown revenues per capita (PLN) †† | 3,541 (1,826) | 3,393 (2,124) | 3,578 (1,834) | 3590 (1766) | 3589 (1810) | 3508 (1961) | 3613 (1797) |
| Hometown unemployment (%)†† | 7.99 (5.85) | 8.45 (5.94) | 7.892085 (5.84) | 7.90 (5.74) | 7.86 (5.91) | 8.11 (5.96) | 7.74 (5.78) |
| Matura subjects at advanced level | 2.61 (1.05) | 2.08 (1.08) | 2.67 (1.01) | 2.71 (0.87) | 2.53 (0.98) | 2.71 (0.98) | 2.68 (1.11) |
| Matura outcome (Si sec) ††† | 0.727 (0.152) | .609 (.140) | .737 (0.146) | 0.768 (0.136) | .0723 (0.139) | 0.754 (0.139) | 0.712 (0.156) |
| Achievements at UW (Si univ) †††† | 0.557 (0.115) | .525 (0.095) | .559 (0.114) | (0.576) (0.130) | (0.546) (0.120) | 0.564 (0.114) | (0.549) (0.096) |
Logit regression outcomes by field: consecutive mode of teacher training
| (1) | (2) | (3) | (4) | |
|---|---|---|---|---|
| STEM | Humanities | Foreign languages | Social sciences | |
| Gender (f) | 0.540*** | 0.411* | 0.229* | 0.874* |
| (0.116) | (0.164) | (0.110) | (0.370) | |
| While in secondary school | ||||
| General secondary (vs. vocational) | −0.0238 | 1.279 | 0.950 | 0 |
| (0.582) | (0.759) | (0.648) | (.) | |
| Matura outcome | 6.506 | 0.290 | −8.758*** | −2.727 |
| (3.473) | (3.121) | (2.174) | (8.127) | |
| Matura^2 | −6.053* | −0.0324 | 8.889*** | 3.100 |
| (2.503) | (2.287) | (1.524) | (5.629) | |
| N of subjects at advanced level | −0.216** | −0.161* | 0.242*** | 0.550*** |
| (0.0696) | (0.0645) | (0.0402) | (0.148) | |
| Log hometown population | 0.0182 | −0.127 | 0.119* | −0.0114 |
| (0.0938) | (0.0964) | (0.0602) | (0.225) | |
| Unemployment in hometown | 0.172* | 0.0111 | −0.0288 | 0.0976 |
| (0.0843) | (0.0943) | (0.0653) | (0.245) | |
| Local revenues in hometown | −0.194 | 0.0285 | −0.191 | −0.0481 |
| (0.208) | (0.214) | (0.138) | (0.535) | |
| While at the university | ||||
| Starting on time | −0.167 | −0.700* | −1.042*** | −1.414* |
| (0.307) | (0.308) | (0.215) | (0.700) | |
| 1st year achievements | 5.752 | −6.753* | 11.45*** | 21.00 |
| (3.409) | (2.928) | (2.457) | (12.81) | |
| 1st year achievements^2 | −2.920 | 6.437* | −13.48*** | −17.03 |
| (2.903) | (2.670) | (2.214) | (10.82) | |
| Social stipend | 0.410*** | 0.340* | 0.345** | 0.0373 |
| (0.123) | (0.143) | (0.106) | (0.449) | |
| Evening mode | −0.274 | 0.453 | −1.771*** | 0.679 |
| (1.054) | (0.393) | (0.370) | (0.471) | |
| Part-time mode | −2.310** | −0.904*** | −0.856*** | 1.016 |
| (0.746) | (0.258) | (0.198) | (0.632) | |
| MA (vs. BA) | 1.487*** | 0.827*** | 1.365*** | 0.341 |
| (0.150) | (0.145) | (0.0934) | (0.388) | |
| Erasmus experience | −0.282 | −0.935*** | 0.108 | −0.0865 |
| (0.154) | (0.245) | (0.0803) | (0.296) | |
| constant | −7.683*** | 0.887 | −5.897*** | −9.973 |
| (2.072) | (2.328) | (1.621) | (5.592) | |
| Pseudo R2 | 0.255 | 0.118 | 0.276 | 0.311 |
| N | 4975 | 3158 | 5815 | 7355 |
Frequencies for categorical variables
| Variables | Full sample | Of which: | Restricted sample | Of which: | |||
|---|---|---|---|---|---|---|---|
| Pedagogy | STEM | Humanities | Foreign languages | Social Sciences | |||
| Dependent variables | |||||||
| Teachers in concurrent mode | 3.5 | 100 | - | - | - | - | - |
| Teachers in consecutive mode | 6.29 | - | 10.90 | 10.57 | 12.67 | 24.67 | 0.89 |
| Independent variables | |||||||
| Gender | |||||||
| Female | 69.30 | 96.53 | 69.92 | 53.09 | 76.93 | 85.38 | 67.89 |
| Male | 30.70 | 3.47 | 30.08 | 46.91 | 23.07 | 14.62 | 32.11 |
| Type of secondary school | |||||||
| General | 97.99 | 96.82 | 98.75 | 99.33 | 98.67 | 99.32 | 97.99 |
| Vocational | 2.01 | 3.18 | 1.25 | 0.67 | 1.33 | 0.68 | 2.01 |
| Social stipend | |||||||
| receiving | 12.56 | 20.38 | 13.13 | 14.84 | 16.40 | 13.14 | 10.72 |
| not receiving | 87.44 | 79.62 | 86.87 | 85.16 | 83.60 | 86.86 | 89.28 |
| Mode of studying | |||||||
| full time | 75.95 | 72.90 | 84.75 | 98.51 | 88.93 | 87.13 | 72.25 |
| part time | 11.78 | 0.22 | 7.78 | 0.36 | 2.82 | 8.17 | 14.39 |
| evening | 12.27 | 26.88 | 7.47 | 1.13 | 8.25 | 4.70 | 13.36 |
| Highest degree obtained | |||||||
| MA | 52.34 | 44.80 | 48.94 | 50.94 | 48.64 | 46.54 | 49.38 |
| BA | 47.66 | 55.20 | 51.06 | 49.06 | 51.36 | 53.46 | 50.62 |
| Starting on time | |||||||
| starting the programme on time | 95.06 | 97.18 | 95.27 | 94.05 | 95.48 | 94.83 | 96.32 |
| joining later | 4.94 | 2.82 | 4.73 | 5.95 | 4.52 | 5.17 | 3.68 |
| N | 39,779 | 1,384 | 23,790 | 5,834 | 3,298 | 5,999 | 8,659 |
Exemplary mechanisms of self-selection to teacher training
| Sign of β | Description | |||
|---|---|---|---|---|
| sisec | sisec2 | siuniv | siuniv2 | |
| + | 0 | + | 0 | Double positive selection. Positive and linear self-selection to teacher training with respect to both Matura score and early achievements at UW |
| − | − | + | + | Thriving specialists. Many teachers recruit themselves from among students who scored low on their Matura, but who perform very well within their UW programme. |
| − | 0 | 0 | 0 | Random selection from among low-profile students. The effect of Matura score on self-selection to teaching is linearly negative. Later experience at the university has no impact on students’ decisions |
| + | − | 0 | 0 | Middling skills selection. Teaching career is not attractive for low-performing students, but its attractiveness increases at a falling rate as we move along the achievements distribution. |
| 0/+ | 0 | + | − | Falling back students. Achievements on Matura do not affect students’ choices, but teaching is more likely to be chosen be those struggling academically while at UW |
| + | 0 | − | 0 | Mismatched. Prospective teachers had good scores on their Matura, but nevertheless they struggle at their university programme. |
| − | 0 | − | 0 | Double negative. Negative and linear self-selection to teacher training with respect to both Matura score and early achievements at UW |
