Figure 1

Figure 2

Figure 3

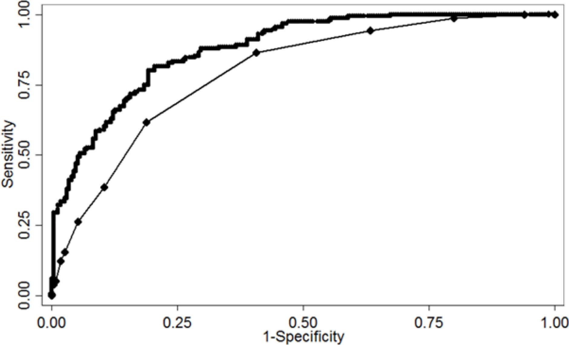
Figure 4

Performance of BMI and NC to predict metabolic syndrome by sex
| Indices | Women | Men | ||
|---|---|---|---|---|
| BMI | NC | BMI | NC | |
| AUC (95%CI) | 0.8 | 0.73 | 0.84 | 0.76 |
| Cut-point | 24.5 | 33 | 24.5 | 39 |
| Sensitivity | 81.4 | 86.5 | 94.9 | 70.9 |
| Specificity | 79.5 | 59.4 | 73 | 81.2 |
| PPV | 73 | 59.2 | 69.4 | 70.9 |
| NPV | 86.3 | 86.6 | 95.7 | 81.2 |
| LR+ | 4 | 2.1 | 1.3 | 3.8 |
| LR- | 0.2 | 0.2 | 0.1 | 0.4 |
Baseline data of studied population
| Variables | MetS n = 235 (40.1%) mean (SD); n (%) | No MetS n = 351 (59.9%) mean (SD); n (%) | Unadjusted OR | P | 95%CI | ||
|---|---|---|---|---|---|---|---|
| Age, years | 60.1 | (7.4) | 57.8 | (6.5) | 1.04 | <0.001 | 1.1, 3.4 |
| Men | 79 | (33.6) | 122 | (34.76) | 0.95 | 0.8 | 0.7, 1.3 |
| DM | 33 | (14) | 21 | (6) | 2.6 | <0.001 | 1.4, 4.6 |
| HTN | 96 | (40.9) | 50 | (14.3) | 4.2 | <0.001 | 2.8, 6.2 |
| Dyslipidemia | 97 | (41.3) | 74 | (21.1) | 2.6 | <0.001 | 1.8, 3.8 |
| CHD | 8 | (3.4) | 7 | (2) | 1.7 | 0.3 | 0.6, 4.8 |
| Weight, kg | |||||||
| Men | 75.6 | (7.3) | 63.3 | (7.1) | 1.4 | <0.001 | 1.2, 1.5 |
| Women | 65.1 | (8.4) | 54.5 | (6.3) | 1.3 | <0.001 | 1.2, 1.4 |
| Height, m | |||||||
| Men | 1.65 | (0.1) | 1.7 | (0.1) | 2.2 | 0.8 | 0.01, 341.4 |
| Women | 1.6 | (0.1) | 1.5 | (0.1) | 4.1 | 0.47 | 0.09, 197.7 |
| BMI, kg/m2 Men | 27.5 | (2.5) | 23.1 | (2.5) | 2.3 | <0.001 | 1.8, 2.9 |
| Women | 27.1 | (3.1) | 22.8 | (2.5) | 1.9 | <0.001 | 1.7, 2.2 |
| WC, cm | |||||||
| Men | 96.8 | (5.2) | 83.2 | (6.1) | 2.3 | <0.00 | 1.7, 3.0 |
| Women | 87.8 | (6.6) | 74.7 | (6.1) | 1.6 | <0.001 | 1.5, 1.8 |
| NC, cm | |||||||
| Men | 39.8 | (2.2) | 36.8 | (2.1) | 2.0 | <0.001 | 1.6, 2.4 |
| Women | 34.3 | (2.2) | 32.2 | (2.0) | 1.7 | <0.001 | 1.5, 2.0 |
| SBP, mmHg | 133.4 | (19) | 120.9 | (17.2) | 1.03 | <0.001 | 1.02, 1.04 |
| DBP, mmHg | 76.7 | (10.4) | 70.2 | (10.1) | 1.1 | <0.001 | 1.04, 1.08 |
| TC, mg/dL | 215.5 | (40.3) | 215.9 | (40.8) | 1 | 0.9 | 0.9, 1.0 |
| TG, mg/dL | 154 | (92.9) | 113.7 | (69.8) | 1.01 | <0.001 | 1.0, 1.01 |
| HDL, mg/dL | 54.4 | (14.1) | 63.9 | (17.4) | 0.96 | <0.001 | 0.95, 0.97 |
| LDL, mg/dL | 138.7 | (36.2) | 136.1 | (37.5) | 1 | 0.4 | 0.9, 1.01 |
| FPG, mg/dL | 102.5 | (38.3) | 92.2 | (18.5) | 1.02 | <0.001 | 1.01, 1.03 |
| Uric, mg/dL | 5.8 | (1.3) | 5.4 | (1.3) | 1.3 | <0.001 | 1.1, 1.4 |
| ALT, U/L | 28.9 | (18.5) | 21.9 | (13.1) | 1.03 | <0.001 | 1.01, 1.04 |
| AST, U/L | 24.2 | (10.1) | 22.2 | (9.6) | 1.02 | 0.01 | 1.01, 1.04 |