Metabolic syndrome (MetS) is a cluster of metabolic risk factors including central or visceral obesity, insulin resistance, hypertension, and lipid disorder [1, 2]. These metabolic risk factors appear to be directly associated with cardiovascular disease, leading to an increased risk of morbidity and mortality [3, 4, 5, 6]. Several diagnostic criteria were established by such as the World Health Organization, American Heart Association/National Heart, Lung, and Blood Institute, the European Group for the Study of Insulin Resistance and the International Diabetes Federation (IDF) [7, 8, 9]. The current index diagnosis of MetS requires anthropometric measures (e.g., waist circumference; WC) plus metabolic laboratory results [8, 9]. There are many studies regarding the utility of anthropometric indices to indicate MetS apart from WC, including body mass index (BMI) and neck circumference (NC) [10, 11, 12, 13, 14, 15]. Because central obesity is strongly correlated to MetS [15, 16], several reports indicate that BMI is an important variable for detecting MetS, and incorporate BMI in their diagnostic criteria of MetS [13, 17, 18, 19, 20]. Numerous studies show that NC is an alternative and innovative approach to indicate MetS [11, 13, 15, 22, 23, 24, 25, 26] because it represents upper body subcutaneous tissue, which relates to cardiovascular diseases and MetS [2, 23, 24, 25, 27, 28]. The mechanism can explained by the evidence that upper body fat is a major contributor to systemic fatty acids, and is an important index in metabolic risks [27]. Identification of a person or persons at risk of established MetS using simple tools before a metabolic examination for diagnosis of MetS would be worthwhile for allied healthcare workers. However, studies regarding the performance of these anthropometric measures are few in Southeast Asian populations where ethnic differences are an issue. Therefore, the primary objective of this study was to compare the performance of BMI and NC in predicting MetS in a Thai population. The secondary objectives of this study were to determine the correlations of WC, BMI, and NC, and to identify the optimal NC and BMI cut-off points that indicate MetS in Thais.
This study was approved the Ethics Committee for Human Research of the Faculty of Medicine, Khon Kaen University (reference No. HES41323) and followed the principles of the World Medical Association Declaration of Helsinki 1964 and its contemporary amendments.
This prospective cross-sectional study was a part of the wider Healthy Ageing Khon Kaen University (KKU) Campus Project. We included were KKU employees and their relatives who were aged ≥50 years old and resided in Khon Kaen province. Eligible participants were excluded if there was loss to follow up or incomplete data in medical records. The complete details of the study population are described elsewhere [15].
Metabolic syndrome (MetS) was identified using the index criteria from the International Diabetes Foundation (IDF) [8] that requires for South Asians (based on a Chinese, Malay and Asian-Indian population), Chinese, and Japanese “central obesity as waist circumference (WC) ≥90 cm in men and ≥80 cm in women plus any two of the following four factors: (1) hypertriglyceridemia: fasting plasma triglycerides ≥150mg/dL, (2), reduced HDL cholesterol: fasting HDL cholesterol <40 mg/dL in men and <50 mg/dL in women, or specific treatment for this abnormality, (3) raised blood pressure: blood pressure ≥130/85 mmHg or treatment for previously diagnosed hypertension, (4) a hyperglycemic fasting glucose level of ≥100 mg/dL, or treatment for previously diagnosed type 2 diabetes”.
We collected baseline data including age, sex, comorbid diseases, blood pressure as described previously [15]. “Blood pressure was measured after each participant had been lying for 10 min. Anthropometric measures were taken while subjects were lightly clothed and wore no shoes. Waist circumferences (WC) were taken midway between the inferior margin of the last rib and the iliac crest at the end of expiration. Neck circumference (NC) was measured with head erect and eyes facing forward, horizontally at the upper margin of the laryngeal prominence (Adam’s apple). Measurements of standing height were performed without shoes with a stadiometer. Body mass index (BMI) was calculated as weight (kg) divided by height squared (m2). Fasting blood samples were collected to measure including blood sugar, uric acid, lipid profiles, and liver function profiles.”
We invited all KKU personnel and their relatives aged ≥50 years to participate as described previously [15]. The volunteer participants completed required written informed consent forms, and were scheduled for an appointment at a special outpatient clinic in Srinagarind Hospital, Khon Kaen, Thailand. We collected baseline descriptive data from consecutive participants from March 21st, 2012 to April 28th, 2015. Physicians conducted a systemic physical examination of participants including blood pressure, and collected blood samples for fasting blood sugar levels, uric acid levels, lipid profiles, and liver function profiles. A flow diagram of participants is shown in Figure 1.

Flow of participants
Sample size calculations were based on the areas under receiver operating characteristic (ROC) curves (AUC) [29]. As described earlier, ROC curves were used to summarize the diagnostic accuracy of the tests. This method varied the sample size until a sufficiently small standard error (SE) of the area under the ROC curve was achieved. A web-based calculator (www.anaesthetist.com/mnm/stats/roc/#stderr) was used to determine the SE. Ultimately, a sample size of at least 500 participants of men and women was found to be adequate to conduct the trial at an AUC of 0.8 and SE of 0.02 [15].
Demographic data and anthropometric variables were defined with descriptive statistics. Univariate logistic regression was used to examine the magnitude of factors associated with MetS as unadjusted odds ratios (OR) and 95% confidence intervals (CI). Pearson’s correlation coefficients were calculated to quantify associations between anthropometric measures (WC, BMI, and NC). The ROC curves were used to summarize the overall accuracy of the anthropometric measures for MetS detection. Subsequently, optimal cut-off points were determined. The performance of the BMI and NC were indicated by the sensitivity, specificity, positive predictive values (PPV), negative predictive values (NPV), and likelihood ratios.
All of the data analyses were conducted by using STATA (version 10.0; StataCorp, College Station, TX, USA).
MetS was found in around 40% of participants. Participants with MetS were significantly older, had greater BMI, NC, uric acid and ALT levels than participants without MetS as shown in Table 1. Simple correlations between all anthropometric indices (WC, BMI, and NC) in both sexes are presented in Figure 2. They all showed positive linear correlations, which were statistically significant (P < 0.001). The BMI (r = 0.83 in women and 0.88 in men) was better correlated to WC than the NC in either sex (r = 0.62 in women and 0.72 in men).

Correlation of waist circumference (WC), neck circumference (NC), and body mass index (BMI) by sex using Pearson’s correlation coefficients
Baseline data of studied population
| Variables | MetS n = 235 (40.1%) mean (SD); n (%) | No MetS n = 351 (59.9%) mean (SD); n (%) | Unadjusted OR | P | 95%CI | ||
|---|---|---|---|---|---|---|---|
| Age, years | 60.1 | (7.4) | 57.8 | (6.5) | 1.04 | <0.001 | 1.1, 3.4 |
| Men | 79 | (33.6) | 122 | (34.76) | 0.95 | 0.8 | 0.7, 1.3 |
| DM | 33 | (14) | 21 | (6) | 2.6 | <0.001 | 1.4, 4.6 |
| HTN | 96 | (40.9) | 50 | (14.3) | 4.2 | <0.001 | 2.8, 6.2 |
| Dyslipidemia | 97 | (41.3) | 74 | (21.1) | 2.6 | <0.001 | 1.8, 3.8 |
| CHD | 8 | (3.4) | 7 | (2) | 1.7 | 0.3 | 0.6, 4.8 |
| Weight, kg | |||||||
| Men | 75.6 | (7.3) | 63.3 | (7.1) | 1.4 | <0.001 | 1.2, 1.5 |
| Women | 65.1 | (8.4) | 54.5 | (6.3) | 1.3 | <0.001 | 1.2, 1.4 |
| Height, m | |||||||
| Men | 1.65 | (0.1) | 1.7 | (0.1) | 2.2 | 0.8 | 0.01, 341.4 |
| Women | 1.6 | (0.1) | 1.5 | (0.1) | 4.1 | 0.47 | 0.09, 197.7 |
| BMI, kg/m2 Men | 27.5 | (2.5) | 23.1 | (2.5) | 2.3 | <0.001 | 1.8, 2.9 |
| Women | 27.1 | (3.1) | 22.8 | (2.5) | 1.9 | <0.001 | 1.7, 2.2 |
| WC, cm | |||||||
| Men | 96.8 | (5.2) | 83.2 | (6.1) | 2.3 | <0.00 | 1.7, 3.0 |
| Women | 87.8 | (6.6) | 74.7 | (6.1) | 1.6 | <0.001 | 1.5, 1.8 |
| NC, cm | |||||||
| Men | 39.8 | (2.2) | 36.8 | (2.1) | 2.0 | <0.001 | 1.6, 2.4 |
| Women | 34.3 | (2.2) | 32.2 | (2.0) | 1.7 | <0.001 | 1.5, 2.0 |
| SBP, mmHg | 133.4 | (19) | 120.9 | (17.2) | 1.03 | <0.001 | 1.02, 1.04 |
| DBP, mmHg | 76.7 | (10.4) | 70.2 | (10.1) | 1.1 | <0.001 | 1.04, 1.08 |
| TC, mg/dL | 215.5 | (40.3) | 215.9 | (40.8) | 1 | 0.9 | 0.9, 1.0 |
| TG, mg/dL | 154 | (92.9) | 113.7 | (69.8) | 1.01 | <0.001 | 1.0, 1.01 |
| HDL, mg/dL | 54.4 | (14.1) | 63.9 | (17.4) | 0.96 | <0.001 | 0.95, 0.97 |
| LDL, mg/dL | 138.7 | (36.2) | 136.1 | (37.5) | 1 | 0.4 | 0.9, 1.01 |
| FPG, mg/dL | 102.5 | (38.3) | 92.2 | (18.5) | 1.02 | <0.001 | 1.01, 1.03 |
| Uric, mg/dL | 5.8 | (1.3) | 5.4 | (1.3) | 1.3 | <0.001 | 1.1, 1.4 |
| ALT, U/L | 28.9 | (18.5) | 21.9 | (13.1) | 1.03 | <0.001 | 1.01, 1.04 |
| AST, U/L | 24.2 | (10.1) | 22.2 | (9.6) | 1.02 | 0.01 | 1.01, 1.04 |
MetS, metabolic syndrome; P < 0.05 was considered significant; OR, odds ratio; CI, confidence interval; SD, standard deviation; n, numbers of participants; DM, diabetes mellitus; HTN, hypertension; CHD, coronary heart disease; BMI, body mass index; WC, waist circumference; NC, neck circumference; SBP, systolic blood pressure; DBP, diastolic blood pressure; TC, total cholesterol; TG, triglyceride; HDL, high-density lipoprotein cholesterol; LDL, low-density lipoprotein cholesterol; FPG, fasting plasma glucose; ALT, alanine transaminase; AST, aspartate transaminase
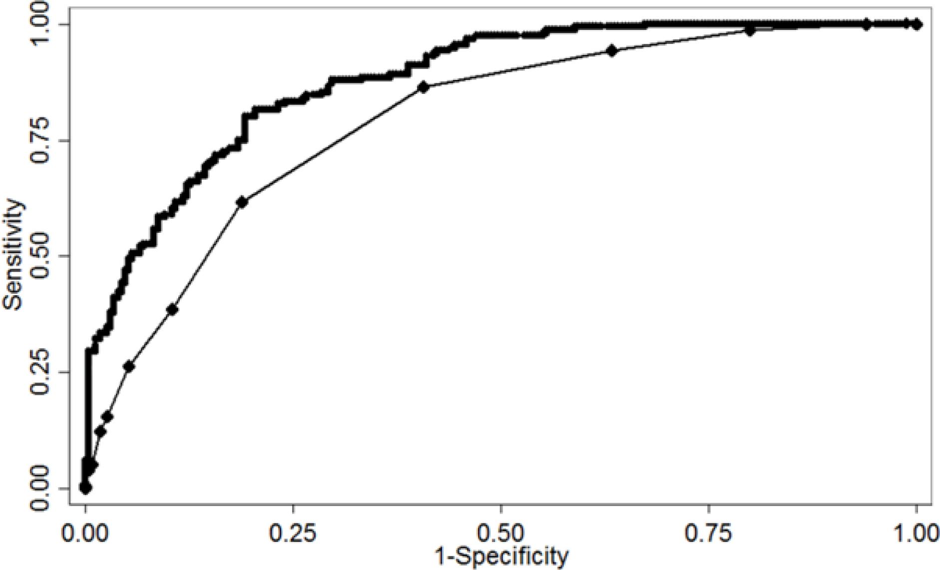
The overall performance of the BMI and the NC in both sexes using the AUCs are shown in Figures 3 and 4. In general, BMI was better than NC in predicting metabolic syndrome particularly in men; the AUC for predicting metabolic syndrome of the BMI was 0.88 (95%CI 0.84, 0.91) and the NC was 0.79 (95%CI 0.75, 0.84) in women, and for men, the AUC of the BMI was 0.91 (95%CI 0.87, 0.95) and the NC was 0.84 (95%CI 0.79, 0.90). The performance of the BMI and NC including the cutoff points for all variables corresponding to the criterion values with the best compromises are shown in Table 2.

Comparison of the performances of BMI (∙) and NC (♦) in detecting metabolic syndrome using receiver operating characteristic curve analysis according to the International Diabetes Foundation criteria in women

Comparison of the performances of BMI (∙) and NC (♦) in detecting metabolic syndrome using receiver operating characteristic curve analysis according to the International Diabetes Foundation criteria in men
Performance of BMI and NC to predict metabolic syndrome by sex
| Indices | Women | Men | ||
|---|---|---|---|---|
| BMI | NC | BMI | NC | |
| AUC (95%CI) | 0.8 | 0.73 | 0.84 | 0.76 |
| Cut-point | 24.5 | 33 | 24.5 | 39 |
| Sensitivity | 81.4 | 86.5 | 94.9 | 70.9 |
| Specificity | 79.5 | 59.4 | 73 | 81.2 |
| PPV | 73 | 59.2 | 69.4 | 70.9 |
| NPV | 86.3 | 86.6 | 95.7 | 81.2 |
| LR+ | 4 | 2.1 | 1.3 | 3.8 |
| LR- | 0.2 | 0.2 | 0.1 | 0.4 |
BMI, body mass index (kg/m2); NC, waist circumference (cm); AUC; area under the receiving operating characteristic curve; CI, confidence interval; PPV, positive predictive values; NPV, negative predictive values; LR+, likelihood ratio positive; LR–, likelihood ratio negative.
The prevalence of MetS in this study was about 40% as consistent with existing reports [12, 20, 30, 31]. Age, BMI, NC, uric acid and ALT levels were found to be significantly different in individuals with MetS than in those without the syndrome. These findings support the evidence that increasing age is correlated with a higher prevalence of MetS regardless of its definition [32]. Both BMI and NC had positive linear correlations with WC where BMI showed the greater association in either sex, but was greater in men than women [11], and was commonly higher in individuals with MetS. The results were consistent with previous studies where BMI and NC were measures of adiposity and associated with metabolic abnormalities [11, 13, 18, 19, 20, 21, 22, 23, 24, 25, 26]. There are numerous data that uric acid is an independent factor for MetS and cardiovascular diseases as it can exert an intracellular pro-oxidant effect together with an extracellular antioxidant activity, leading to endothelial dysfunction, MetS pathogenesis, and cardiovascular diseases [33]. Higher levels of ALT are correlated with features of individuals with MetS, which is linked to steatohepatitis [33].
The ROC AUCs in the present study show that both BMI and NC are good anthropometric variables with which to predict MetS in older Thai individuals of either sex as consistent with other studies of other populations [11, 13, 18, 19, 21, 22, 23, 24, 25, 26]. BMI showed a better performance than NC, although the NC also showed a large AUC [2, 11]. These findings imply that BMI; a surrogate marker of central obesity correlated with MetS (that is associated with visceral fat) is better than upper body subcutaneous fat as indicated by NC [11]. We also identified optimal cut-off points to indicate MetS in older Thai men and women. As there are differences in ethnicities, a variety of definitions of MetS occur in existing studies with different study designs and therefore there are limited available data from Southeast Asian populations [13, 35]. Specific cut-off points are required to predict MetS in Southeast Asians, here represented by older Thais, that might be applied as screening tests in the community to determine individuals at risk before extensive metabolic examinations because these anthropomorphic indices are quick and easy to measure. The present study found BMI ≥24.5kg/m2 in either sex, and NC ≥33 cm in women or ≥39 cm in men are suitable to suggest the presence of MetS.
Although while BMI is better than NC in predicting MetS in this study, the overall performance of NC is also good and it is reasonable to consider NC as a tool to screen individuals who are at risk of MetS, individuals with MetS, and individuals with established MetS, in combination with BMI. In limited circumstances when it is impractical to use BMI, such as for (1) individuals who are unable to stand, for whom it is difficult to measure height and weight, (2) individuals who wear thick clothes in cold weather (although this rarely applies in Thailand); it is impractical to perform measurements of BMI, especially in large population studies, and (3) individuals who have an abnormal body water distribution that could affect body weight, e.g. salt and water retention from medications or underlying conditions, then NC is a logical method to use to screen for MetS.
There are some limitations of this study. First, there was a selection bias as the participants were a self-selecting sample who were an urban middle-class population, and were generally late middle-age to older Thai adults. Thus, the findings might not generalize to all Thai or Southeast Asian adults. Second, the study design as a cross-sectional study could not infer causality from the results. Third, the study did not compare the performance of all existing anthropometric variables, such as waist-to-hip ratio and neck-to-thigh ratios because we did not measure hip circumference in this cohort, and the neck-to-thigh ratios demonstrated poor performance in previous studies [11]. Therefore, only easy, reliable, and available tools were selected for this study.
BMI and NC are simple, easy to measure, and reliable anthropometric variables with which to predict MetS. Both BMI and NC were positively correlated with WC. The overall performance of BMI was better than NC to detect MetS. We recommend a BMI of 24.5 kg/m2 for either sex, and a NC of 33 cm in Thai women or 39 cm in Thai men as optimal cutoff points to indicate MetS.