Publisher's note: A correction article relating to this paper has been published and can be found at http://doi.org/10.5334/oq.91.
Introduction
To produce high-resolution microfossil-based reconstructions of relative sea level (RSL) from salt-marsh environments requires an understanding of the modern distribution of the microfossil of interest (e.g., Scott and Medioli, 1978; Gehrels et al. 2000; Kemp et al., 2013). Salt-marsh foraminifera in particular have proven useful, because their modern distributions are intrinsically linked to inundation frequency and, therefore, elevation with respect to the tidal frame (Scott and Medioli 1978). Furthermore, salt-marsh foraminifera’s relatively low diversity (species richness) coupled with high abundance and preservation potential provides a strong statistical basis for paleoenvironmental interpretations (e.g., Horton, 1999). While similarities exist in the spatial distribution of modern salt-marsh foraminiferal assemblages (Edwards and Wright, 2015), inter- and intra-site variability necessitates site specific investigations of local modern training sets from which accurate reconstructions of RSL change can based (e.g., Horton and Edwards, 2005; Wright et al., 2011; Shaw et al., 2016).
Along the U.S. Atlantic coast, modern salt-marsh foraminiferal training sets have primarily been established in regions north of Cape Hatteras, North Carolina (Figure 1) (e.g., Scott and Medioli, 1980b; Gehrels et al., 2000; Edward et al., 2004; Kemp et al., 2009, 2012a) with only a few studies to the south (Kemp et al., 2014; Hawkes et al., 2016; Gerlach et al., 2017). Goldstein and Watkins (1998) investigated the salt-marsh foraminiferal distributions from St. Catherine’s Island, Georgia and demonstrated while assemblages exhibit relationships with elevation, they are regionally distinct. For example, Miliammina fusca and some high marsh species (e.g., Trochammina inflata, Trochammina macrescens, Arenoparrella mexicana) are found throughout the intertidal zone, while only a few species (e.g., Reophax nana, Textularia palustris, Siphotrochammina lobata) are constrained to the low marsh environment. In mainland Georgia where extensive salt marshes are characterized with diverse vegetation and salinity regimes, there is an absence of studies establishing salt-marsh foraminiferal zonations.

Figure 1
(A) U.S. Atlantic coast and location of study area in northern Georgia (B) Locations of two study sites at northern Georgia salt marshes. Tidal station is located at Fort Pulaski. Modern transect across the salt marshes at locations of (C) Thunderbolt and (D) Georgetown.
The salt-marsh training sets along the U.S. Atlantic coast have used epifaunal assemblages contained within the upper 1 cm of surface sediment to reconstruct RSL changes from fossil analogues (Edwards and Wright, 2015). However, the occurrence of infaunal foraminiferal populations (e.g., Goldstein and Watkins, 1998; Goldstein and Watkins, 1999; Hippensteel, 2002; Culver and Horton, 2005; Tobin, 2005; Milker et al., 2015) can make the surface samples an inadequate modern analogue. Indeed, their potential effects on RSL reconstructions are often not thoroughly considered. Furthermore, post-depositional taphonomic processes may also result in a decline in foraminiferal tests. If these taphonomic processes are biased towards individual species, this may cause disparity between modern surface assemblages and their fossil counterparts (Berkeley et al., 2007).
To address the knowledge gaps identified above, we present modern foraminiferal distributions from two salt marshes in mainland northern Georgia. Using this data, we aimed to identify elevation-dependent ecological zones with respect to tidal level. We also investigate living and dead foraminifera from six short sediment cores taken from different vascular floral zones to examine the influence of infaunal populations, taphonomy, and selective preservation and discuss their implications for RSL reconstructions from this region.
Study region and sample sites
Georgia has one of the most extensive areas of salt-marsh environment (more than 1500 km2) along the U.S. Atlantic coast (Howard and Frey, 1985). The salt marshes are characterized by distinct vegetation zones along a gradient of frequency and duration of tidal inundation (Haines, 1976) and are typically divided into low and high salt-marsh environments (Basan, 1979; Letzsch and Frey, 1980). The low marsh environment is characterized by tall Spartina alterniflora vascular vegetation and fine-grained substrate (Haines, 1976; White, 2004). The high-marsh environment is characterized by Juncus roemerianus, Spartina cynosuroides, Distichlis spicata, Salicornia virginica, and short form Spartina alterniflora on narrow sandy substrates (Basan, 1979; White, 2004).
Our investigation focuses on two salt-marsh environments located in mainland northern Georgia at Thunderbolt and Georgetown (Figure 1). Tides from the nearest National Oceanic and Atmospheric Administration (NOAA) tide-gauge station in Fort Pulaski (NOAA ID 8670870) are semidiurnal and mesotidal (Table 1). The observed mean diurnal range (Mean Highest High Water (MHHW) to Mean Lowest Low Water (MLLW) is 2.29 m.
Table 1
Tidal datum’s relative to MTL for Fort Pulaski, Georgia.
| Datum | MLLW | MLW | MSL | MTL | NAVD88 | MHW | MHHW | HAT |
|---|---|---|---|---|---|---|---|---|
| Relative to MTL | –1.12 | –1.05 | 0.05 | 0.00 | 0.12 | 1.05 | 1.17 | 1.72 |
[i] Mean lower low water = MLLW, Mean low water = MLW, Mean sea level = MSL, Mean tidal water = MTL, North American Vertical Datum of 1988 = NAVD88, Mean high water = MHW, Mean Higher high water = MHHW, Highest Astronomical Tide = HAT.
At Thunderbolt marsh, along the Wilmington River, the local vegetation includes tall form Spartina alterniflora dominating the low marsh environment and short form Spartina alterniflora and Juncus roemerianus above MHHW in the high marsh environment with an average salinity of 17‰. At Georgetown salt marsh, situated within the Ogeechee River catchment, there is no clear distinction between low and high marsh environments. The vegetation is dominated by Juncus roemerianus. Spartina cynosuroides and tall form Spartina alterniflora in both higher and lower elevations along the transects, with an average salinity from all stations of 6‰.
Methodology
Sampling strategy
We established 54 sampling stations across four separate modern transects at Thunderbolt and Georgetown salt marshes. At Thunderbolt marsh, one transect was established perpendicular to the Wilmington River (Figure 1C). At Georgetown marsh, three transects were established to track the changes of variable vegetation in high marsh margin which is around 300 m away from the Little Ogeechee River (Figure 1D). Sampling stations were placed along the transects to reflect changes in elevation and vascular vegetation. The elevation of each sampling station was surveyed using a total station to a nearby benchmark CK0250 (Thunderbolt) and CK5831 (Georgetown) tied into North American Vertical Datum of 1988 (NAVD88). All elevations presented are relative to MTL using the tide-gauge station at Fort Pulaski (Figure 1); the nearest tide gauge with an NAVD88 value. However, we acknowledge that tidal datums may change moving inland from the outer estuary at Fort Pulaski to inner estuary and fluvial sites such as Georgetown marsh. Such changes in tidal levels moving inland have been observed along U.S. Atlantic coast salt marshes (e.g. Molen, 1997). In New Jersey, Kemp et al. (2012b) showed a decrease in tidal range upstream up to 22% compared with tides at the mouth of the estuary. The decrease in tidal range on the Thunderbolt marsh site is negligible based on available tidal data from gauges close to the site, but may be significant for the Georgetown marsh. Data from a USGS streaming gage at Ogeechee River (02203536), 8.0 km from Georgetown marsh, supports a similar reduction in tidal range to that reported by Kemp et al. (2012b) for New Jersey. Unfortunately, datums cannot be calculated from this gage and thus we retain the datums from Fort Pulaski with the caveat that these may overestimate the tidal range at the Georgetown site.
At each sampling station, we collected 10-cm2 of surface (0–1 cm depth) sediment for modern foraminiferal analyses. The sample thickness and volume for foraminiferal analysis allows comparisons with similar studies (e.g., Scott and Medioli, 1978; Jennings and Nelson, 1992; Horton and Edwards, 2006; Kemp et al., 2009; Milker et al., 2015). We performed porewater salinity measurements at the time of sample collection from each sampling station using a Hanna pH/salinity meter and we report the average salinity values for each salt marsh.
We selected six sample stations from differing salinity and vegetation settings for the extraction of short 50 cm-length cores using a Russian corer, which is a widely used chamber corer that extracts uncompacted, undisturbed samples (Glew et al., 2001). We used the short 50 cm-length cores to analyze infaunal foraminiferal populations. Stations TB-1-1, TB-1-22 and TB-1-24 were collected from the low marsh, low – high marsh boundary and high marsh environment at Thunderbolt (Table 2). At Georgetown marsh, GT-2-4 was extracted from a mixed vegetation zone of Spartina cynosuroides and Juncus roemerianus, GT-2-5 from a Juncus roemerianus zone and GT-2-10 from a mixed zone of mostly Juncus roemerianus with Spartina alterniflora. We subsampled the sediment cores at 2 cm intervals from 0 to 10 cm depth and at intervals of 5 cm from 10 to 45 cm depth with a thickness of 2 cm for each sample.
Table 2
Sampling information for infaunal short cores.
| Core ID | Elevation (m MTL) | Salinity (‰) | Environment | Vegetation |
|---|---|---|---|---|
| TB-1-1 | –0.05 | 25 | Low marsh | Spartina alternaflora (50%), 50% bare clay, near riverbank |
| TB-1-22 | 1.16 | 20 | Low marsh margin | Spartina alternaflora (80%) |
| TB-1-24 | 1.19 | 0 | High marsh | Juncus roemerianus marsh. |
| GT-2-4 | 0.97 | 5 | High marsh | Spartina cynosuroides (25%), Juncus roemerianus (75%) |
| GT-2-5 | 0.91 | 10 | High marsh | Nearly 100% Juncus roemerianus |
| GT-2-10 | 0.69 | 0 | Mostly high marsh | Slight Spartina alternaflora, mostly Juncus roemerianus |
All modern and core sediment samples were immersed in the field at the time of sample collection using a mixed solution of distilled water (70%) and ethanol (30%) with the rose Bengal stain (1.5 g per l of solution) and 0.5 g of sodium carbonate (Walton, 1952; Murray and Bowser, 2000; Berkeley, 2008). The solution allowed the differentiation between live (at the time of collection) and dead specimens and minimized taphonomic alterations post-collection.
Foraminiferal analyses
We sieved each sediment sample to isolate the 63–500 µm size fraction, which was then sub – divided into eight equal aliquots using a wet splitter (Scott and Hermelin, 1993). Foraminifera were counted wet under a binocular microscope and, where possible, a minimum of 200 specimens were enumerated. Where samples yielded less than 200 specimens, the entire sample was enumerated. Only specimens with the last few chambers stained red were enumerated as living at the time of collection. Specimens with patchy or pale pink stain were counted as unstained and, therefore, dead at the time of collection (Culver and Horton, 2005).
Our taxonomic identifications follow previous salt-marsh foraminiferal studies from the U.S. Atlantic coast (e.g., Vance et al., 2006; Kemp et al., 2009; Wright et al., 2011). Specimens were also compared with type slides held at the National Museum of Natural History, Smithsonian Institution, Washington, D.C. Due to difficulties in identifying broken individuals, specimens of Ammobaculites were recorded as a single generic group following Kemp et al. (2012a). Species Haplophragmoides wilberti and Haplophragmoides manilaensis were grouped together to Haplophragmoides spp. following Horton and Edwards (2005). Most species in this study were photographed using a scanning electron microscope (Plates 12). Live and dead foraminiferal counts from surface samples and short cores, together with elevations and salinity can be found in Appendix A.

Plates 1
1, 2, 3, 4. Ammobaculites dilatatus (Cushman&Brönnimann, 1948) 5. Ammobaculites crassus (Warren, 1957) 6, 7. Ammobaculites sp. 8. Ammotium directum (Cushman & Brönnimann, 1948) 9. Ammotium salsum (Cushman & Brönnimann, 1948) 10, 11, 12. Ammotium spp. 13, 14. Miliammina fusca (Brady, 1870) 15, 16. Miliammina petila (Saunders, 1958) 17, 18. Miliammina spp. 19, 20. Balticammina pseudomacrescens (Brönnimann, Lutze & Whittaker, 1989).

Plates 2
1, 2, 3 Haplophragmoides manilaensis (Andersen, 1952) 3. Haplophragmoides wilbert (Andersen, 1953) 4. Warrenita palustris (Warren, 1957) 5, 6, 7, 8. Tiphotrocha comprimata (Cushman&Brönnimann, 1948) 9,10. Arenoparrella mexicana (Kornfeld, 1931) 11, 12. Trochammina inflata (Montagu, 1808) 13, 14. Ammoastuta inepta (Cushman&McCulloch, 1939) 15. Ammodiscus sp. 16. Textularia earlandi (Parker, 1952).
Statistical analyses
We defined and described ecological zones at Thunderbolt and Georgetown salt marshes (site specific and combined regional dataset). We applied two statistical methods: unconstrained cluster analysis and detrended correspondence analysis (DCA). Cluster analyses were performed using the ‘cluster’ package Partitioning Around Medoids (PAM) with R (Reynolds et al., 1992; R Development Core Team, 2011). PAM is particularly robust because it minimizes a sum of dissimilarities without requirements on clusters’ size and structure (Kemp et al., 2012a). The medoid is the object for which average dissimilarity to all other samples in the same group is minimal and generates a silhouette width, which provides an estimate of a sample’s classification. Silhouette widths range from –1 to 1, with values close to –1 representing incorrect assignment to a cluster and values close to 1 representing appropriate assignment. The appropriate number of partitions (clusters) was determined by maximum average silhouette widths (Rousseeuw, 1987; Kaufman and Rousseeuw, 1990), which enabled us to objectively select the optima number of clusters. Furthermore, we used DCA to position samples in a multi-dimensional statistical space defined by their species composition using Canoco 5 (Ter Braak and Smilauer, 2012). Similar samples are located close together whilst dissimilar samples plot apart from one another (Hill and Gauch Jr, 1980). We use two approaches in unison to determine the samples that constitute an ecological group and to establish the boundaries between groups (Birks, 1986, 1995), aimed to identify elevation-dependent foraminiferal assemblages at northern Georgia salt marshes. PAM cluster and DCA analyses were performed on relative abundances (%) of dead assemblages to minimize seasonal fluctuations (Horton, 1999; Horton and Edwards, 2006).
Results
Distributions of modern salt-marsh foraminifera
Fifteen taxa in 54 samples of dead foraminifera were identified from the modern surface transects at Thunderbolt and Georgetown salt marshes (Appendix A). Calcareous foraminifera were either absent or in very low numbers (<2 per 10 cc).
Thunderbolt marsh
Twenty-eight sampling stations were established across a 410 m transect covering an elevation range of –0.05 to 1.69 m MTL (Figure 2). In the high marsh environment above MHHW (1.68 m MTL) that was dominated by Juncus roemerianus, Haplophragmoides spp. was abundant (57–89%) with lower concentrations of Tiphotrocha comprimata (2–13%) and Trochammina inflata (4–14%). The low marsh environment, below MHHW that was dominated by Spartina alterniflora, was characterized by Ammobaculites spp. (3–46%), Miliammina fusca (15–67%) and Arenoparrella mexicana (3–27%). The lowest four stations (1–4) were dominated by high relative abundances of Ammobaculites spp. (40–46%). From stations 5 to 19, where the elevation changed from 0.19 to 1.01 m MTL, the relative abundance of M. fusca increased to a maximum 67%.

Figure 2
Modern distribution of the relative percentage of dead foraminifera plotted by distance for transect A-A’ at Thunderbolt. Vegetation zone and tide levels with respect to local mean tidal level (MTL) are shown. Transect locations are shown in Figure 1C. Only the taxa that are most important in defining ecological zones are presented. The dashed line divides the low and high marsh based on foraminifera. Red circles represent locations of infaunal cores.
Multivariate analyses identified two ecological groups at Thunderbolt (Figure 3). Group TB – 1 (average silhouette width of 0.77) was characterized by high relative abundances of Haplophragmoides spp. (57–89%) with a lower relative abundance of T. comprimata (2–13%). The elevation range of TB – 1 was 1.19 to 1.68 m MTL. Group TB – 2 (average silhouette width of 0.64) comprised the low marsh samples characterized by high relative abundances of A. Mexicana (3–27%), Ammobaculites spp. (3–46%) and M. fusca (15–67%). The elevation range of TB – 2 was – 0.05 to 1.14 m MTL.

Figure 3
(A) Composition of the foraminiferal distribution and average silhouette width determined by partitioning around medoids (PAM) from Thunderbolt. The dashed line indicates average silhouette width of two groups. Shaded zone emphasize two different groups, each group is labeled (e.g.TB-1). (B) Average silhouette width estimated by PAM for the foraminiferal dataset indicating two groups (dashed vertical line) was appropriate. (C) DCA plot of samples from Thunderbolt salt marsh on the first two discriminant axes.
Georgetown marsh
At Georgetown, eight sample stations were established across a 62 m transect at G1 (B – B’) covering an elevation range of 0.43 to 1.16 m MTL. At G2 (C – C’), ten sample stations were established across 33 m transect with an elevation range of 0.69 to 1.15 m MTL. At G3 (D – D’), eight stations were established along a 46 m transect with an elevation range of 0.57 to 1.15 m MTL (Figure 4). Six species were recorded from the three transects. The assemblages were dominated by Ammoastuta inepta (34–62%), M. fusca (5–45%), Ammobaculites spp. (0–26%) and T. comprimata (3–18%). The higher elevation sample stations within Spartina cynusoroides and Juncus roemerianus floral environments had mixed assemblages dominated by A. inepta. The lower elevation sampling stations (<0.7 m MTL) had greater abundances of M. fusca (e.g. 45% and 42% in sample stations 8 in G1 and G3, respectively).

Figure 4
Modern distribution of the relative percentage of dead foraminifera plotted by distance for transects at Georgetown. Vegetation zones and tide levels with respect to local mean tidal level (MTL) are shown. Transect locations are shown in Figure 1D, G1 is for transect B-B’, G2 is for transect C-C’, and G3 is for D-D’. Only the taxa that are most important in defining ecological zones are presented. Red circles represent the locations of infaunal cores. Sa = Spartina alterniflora, Sc = Spartina cynosuroides, Jr = Juncus roemerianus.
Multivariate analyses identified one ecological group at Georgetown (Figure 5). All the samples contained high relative abundances of A. inepta (34–72%), accompanied with M. fusca (5–51%), Ammobaculites spp. (0–26%), T. comprimata. (1–24%), and low relative abundances of A. mexicana (0–11%) and Haplophragmoides spp. (0–16%). In transect G1 and G3, the low elevation stations have higher percentage of M. fusca (29–45%). These stations covered elevations from 0.43 to 1.16 m MTL.

Figure 5
(A) Composition of the foraminiferal clusters identified by partitioning around medoids (PAM) from Georgetown. Only one group was recognized. (B) DCA plot of samples from Georgetown salt marsh on the first two discriminant axes.
Regional dataset
We generated a regional dataset by combining the Thunderbolt and Georgetown modern transects. Multivariate analyses showed the ecological groups were separated by location and followed the results of the individual study sites (Figure 6). PAM showed the optimal number of groups was three with a peak average silhouette width of 0.59 (Figure 6A). Group TB-1 was dominated by M. fusca from the low marsh samples of Thunderbolt with an elevational range of –0.05–1.14 m MTL. Group TB-2 was characterized by extremely high Haplophragmoides spp. (>74% in all samples) from the high marsh samples of Thunderbolt with an elevational range of 1.19–1.68 m MTL. Group GT-1 was dominated by A. inepta and M. fusca from Georgetown marsh with elevations between 0.43–1.16 m MTL.

Figure 6
(A) Composition of the foraminiferal distribution and average silhouette width determined by partitioning around medoids (PAM) from combined dataset of Thunderbolt and Georgetown. The shaded zone emphasizes different groups, each group is labeled (e.g. TB-1). (B) Average silhouette width estimated by PAM for the combined foraminiferal dataset indicating three groups (dashed vertical line) was appropriate. (C) DCA plot of samples from both marshes on the first two discriminant axes. Samples are divided into the three zones. (D) Boxplots of faunal zones plotted by elevation (respect to MTL) with tidal levels superimposed.
Infaunal foraminifera
Thunderbolt marsh
Core TB-1-1 was collected from the Spartina alterniflora low marsh at Thunderbolt near sample station 1 with an elevation of –0.05 m MTL. (Table 2 and Figure 2). The stratigraphy was uniform from the surface, consisting of an organic silt with plant roots and rhizomes. The abundance of living specimens ranged between 0–76 specimens (per 10 cc) with A. mexicana, Ammobaculites spp. and M. fusca dominating the assemblage (Figure 7; Appendix B). The living specimens were restricted to the upper 10 cm with the greatest abundance (76 specimens per 10 cc) at 0–1 cm depth. The dead specimens contributed 85 to 100% of total assemblage at all depths with an abundance between 4 and 524 specimens (per 10 cc), with a comparable assemblage to their live counterparts from 0–10 cm. Dead individuals of A. mexicana were the only species that occurred below 10 cm.

Figure 7
The live and dead assemblage density and numbers for most representative species plotted by core depth from Thunderbolt marsh. Core TB-1-1 (Elevation: –0.05 m MTL), TB-1-22 (Elevation: 1.16 m MTL), TB-1-24 (Elevation: 1.19 m MTL).
Core TB-1-22 was collected at the fringing low marsh, near station 22 at Thunderbolt with an elevation of 1.16 m MTL (Table 2 and Figure 2), amongst Spartina alterniflora vegetation. The stratigraphy was similarly uniform from the surface consisting of an organic mud. Living foraminiferal abundances varied from 0 to 110 specimens (per 10 cc) and was dominated by A. mexicana, Ammobaculites spp. and M. fusca (Figure 7). The relative abundance of living individuals was similarly greatest at the surface and scarce below 20–21 cm. Dead foraminiferal population contributed 68 to 98% of the total assemblage. The population of dead individuals in the bottom of the core was relatively high and dominated by M. fusca and A. mexicana.
Core TB-1-24 was collected in the Juncus roemerianus zone in the high marsh environment at Thunderbolt with an elevation of 1.19 m MTL (Table 2 and Figure 2). The core stratigraphy was high-marsh peat with abundant well-preserved plant macrofossils. The abundance of living foraminifera ranged from 0 to 72 specimens (per 10 cc), and was dominated by Haplophragmoides spp., A. mexicana and T. comprimata (Figure 7). A relatively high abundance of living A. mexicana (32 specimens per 10 cc) was observed at 30 cm depth. Dead foraminiferal assemblages contributed 53 to 94% at all depths with abundances varying from 32 to 520 specimens per 10 cc. The abundance of dead assemblages generally increased with depth and comprised Haplophragmoides spp., A. mexicana and T. comprimata.
Georgetown marsh
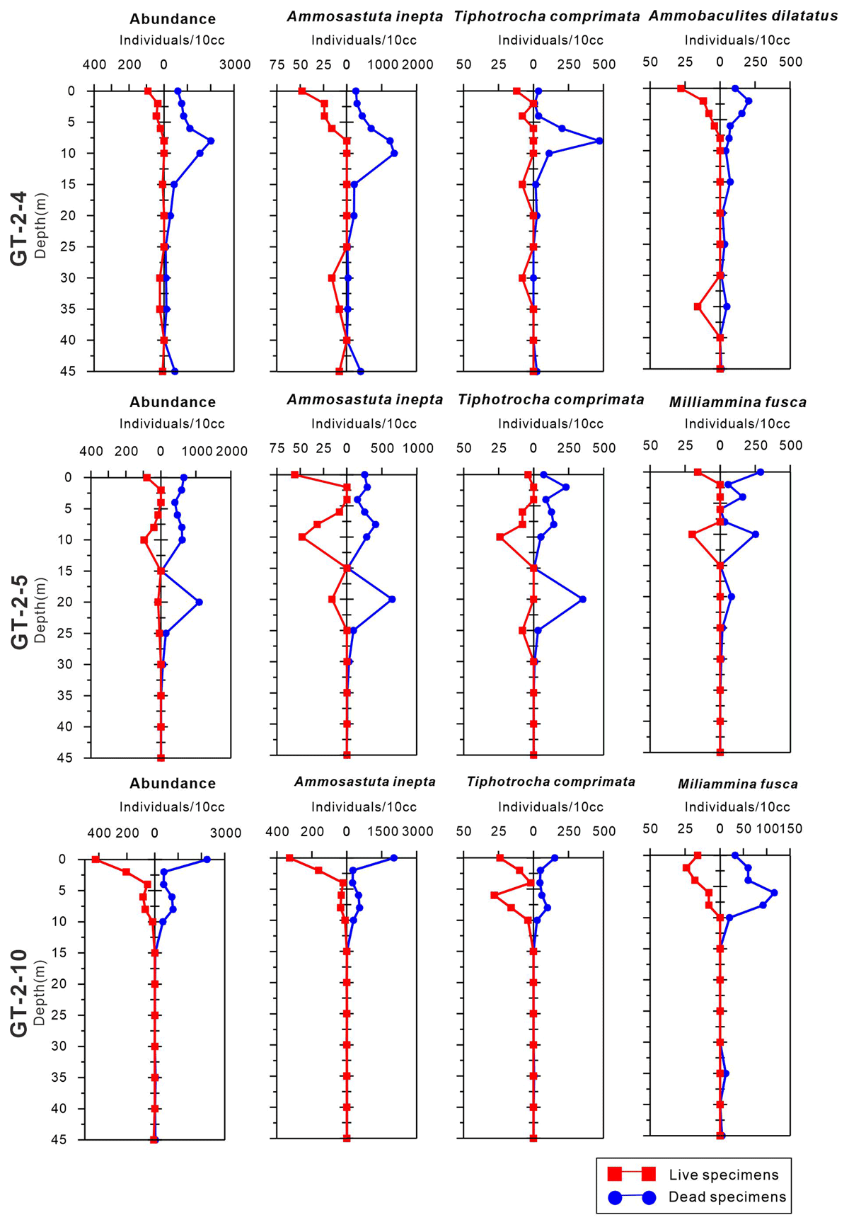
Core GT-2-4 was collected from a mixed zone of Juncus roemerianus and Spartina cynusoroides in the high marsh at Georgetown with an elevation of 0.97 m MTL (Table 2 and Figure 4). The stratigraphy was uniform from the surface to 45 cm depth, consisting of high-marsh peat. The abundance of living specimens ranged from 0 to 92 specimens (per 10 cc) and was dominated by A. inepta, with T. comprimata and Ammobaculites spp. (Figure 8). The abundance of living specimens decreased rapidly below 10 cm depth. Dead foraminiferal populations were much more abundant ranging from 8 to 2008 specimens (per 10 cc) and contributed 78 to 100% of the total population at all depths. Dead assemblages were dominated by A. inepta, particularly in the upper 15 cm while T. comprimata and Ammobaculites spp. were abundant in the upper 10 cm.

Figure 8
The live and dead assemblage density and numbers for most representative species plotted by core depth from Georgetown marsh. Core GT-2-4 (Elevation: 0.97 m MTL), Core GT-2-5 (Elevation: 0.91 m MTL), Core GT-2-10 (Elevation: 0.69 m MTL).
Core GT-2-5 was collected amongst Juncus roemerianus in the high-marsh setting of Georgetown with an elevation of 0.91 m MTL (Table 2 and Figure 4). The stratigraphy consisted of a high-marsh peat. The abundance of living specimens ranged from 0–96 specimens (per 10 cc) and was dominated by A. inepta with the greatest abundance encountered in the top 0–1 cm (Figure 8). Few living specimens were found below 10 cm depth. Dead foraminiferal assemblages contributed 86 to 100% of the total assemblage at all depths, ranging from 8 to 1096 specimens (per 10 cc) and decreased to less than 10 specimens (per 10 cc) below 30 cm depth.
Core GT-2-10 was collected in the high-marsh setting from Georgetown with an elevation of 0.69 m MTL (Table 2 and Figure 4) dominated by Juncus roemerianus and Spartina alterniflora. The stratigraphy was uniform from the surface to 50 cm depth, composed of high-marsh peat. Live individuals were abundant in the upper 10 cm, ranging from 0–424 specimens (per 10 cc) (Figure 8), with the greatest abundance encountered in the top 1 cm. The living assemblage was dominated by A. inepta, T. comprimata and M. fusca. Dead foraminifera contributed 65 to 100% of the total assemblage at all depths and were similarly abundant in the upper 10 cm.
Discussion
Salt-marsh foraminiferal biozones and implications for RSL reconstructions
Two elevation-dependent foraminiferal assemblages at Thunderbolt salt marsh were identified using PAM and DCA. Group TB-1 was found in the high marsh of Thunderbolt between MHHW to HAT with an elevational range of 0.49 m. The foraminiferal assemblages were dominated by Haplophragmoides spp. that has been recorded as a dominant species in high marsh settings of the Atlantic (e.g., Rijk and Troelstra, 1997; Gehrels and Plassche, 1999; Horton and Culver, 2008; Hawkes et al., 2016) and Pacific (e.g., Jennings and Nelson, 1992; Hawkes et al., 2010) coasts of North America. In North Carolina, U.S., Culver and Horton (2005) and Kemp et al. (2009) suggest Haplophragmoides spp. assemblages are associated with high marsh environments with high salinities. Similarly, Haplophragmoides spp. assemblages were found in high marshes with moderate salinity in New Zealand (Hayward and Hollis 1994; Hayward et al., 2004). Haplophragmoides manilaensis was also described as favoring brackish salinity, marsh fringe settings by de Rijk (1995) and Edwards et al. (2004).
Group TB-2 occupied the Thunderbolt low marsh between MTL and MHHW with an elevational range of 1.19 m. The foraminiferal assemblages were dominated by M. fusca and Ammobaculites spp. M. fusca-dominated assemblages are common in low marsh settings in North America (e.g., Scott and Medioli, 1980a; Gehrels, 1994; Goldstein and Watkins, 1998; Patterson et al., 2005; Engelhart et al., 2013), the UK (e.g., Horton and Edwards, 2006), and elsewhere (Hayward and Hollis, 1994; Horton et al., 2003; Hayward et al., 2004). For example, M. fusca dominated low salt-marsh settings in North Carolina with an elevational range of –0.17 to 0.20 m local MSL (Kemp et al., 2009). However, at St. Catherines Island, 100 km southeast of our study area, M. fusca occurred throughout the transect, dominating both the high and low marsh with a tidal range of 0.0–1.8 m above MSL (Goldstein and Watkins, 1998). Ammobaculites spp. have been found in other low marsh environments (e.g., Kemp et al., 2009; Kemp et al., 2013; Gerlach et al., 2017). In Virginia, Spencer (2000) used Ammobaculites spp. to distinguish subzones within the low marsh environments. Indeed, at Thunderbolt, lower elevations of Biozone TB – 2 had higher abundances of Ammobaculites spp.
Only one group was identified from the three modern transects at the Georgetown salt marsh. The elevational range was 0.43 to 1.16 m MTL, covering both low marsh (MTL-MHW) and high marsh (MHW-MHHW) elevation zones. Ammoastuta inepta was abundant in all three transects. A. inepta is typical of low or brackish salinity regimes (Scott et al., 2001). Salt-marsh studies from North Carolina and New Jersey also show that modern assemblages of A. inepta usually occupy low-salinity environments within tidal elevations close to MHW and MHHW (Kemp et al., 2009; Kemp et al., 2013). In Florida salt marshes, A. inepta together with A. mexicana and Haplophragmoides wilberti dominated tidal elevations from below MHW to above MHHW in brackish to normal salinity settings (Gerlach et al., 2017), and mixed with M. fusca and Ammobaculites spp. at lower elevations (Hawkes et al., 2016). Similarly, Georgetown marsh is located 27 km up the Little Ogeechee River where the influence of freshwater input increases. As noted in the methods, it is likely that the tidal range is smaller at the Georgetown site than at Fort Pulaski. While this may alter our interpretation of which stations are from high and low marsh environments, the general patterns seen in foraminiferal assemblages are consistent with the other studies identified here.
We combined the Thunderbolt and Georgetown assemblages to create a regional training set and used PAM and DCA to assess the elevation-dependent biozones. As has previously been identified from more temperate locations, high marsh zones (TB-1) occupy more narrowly defined vertical zones than low marsh assemblages and, therefore, are the most precise indicators of former RSL (Gehrels et al., 1994; Scott et al., 2001). The foraminiferal assemblages are similar to those found along the U.S. Atlantic and Gulf coasts such as in North Carolina (Kemp et al., 2009), South Carolina (Collins et al., 1995) and Florida (Gerlach et al., 2017). Similar assemblages are also reported from the Mississippi Delta (Phleger, 1955) and from lower latitudes such as mangroves in Guaratuba, Brazil (Scott et al., 1990). In addition to spatial variability, salinity regimes have a great effect on foraminiferal assemblages. The distributions of foraminifera from mainland northern Georgia marshes and other regions suggest that accurate reconstructions of former sea-levels from high-marsh sediment requires a training set drawn from varied salinities to capture the sub-regional diversity (e.g., Scott and Medioli, 1986; Rijk and Troelstra, 1997; Kemp et al., 2009; Wright et al., 2011; Kemp et al., 2013).
Infaunal foraminiferal distributions and influence on modern training sets
Salt-marsh foraminifera live in both epifaunal and infaunal microhabitats (Goldstein et al., 1995). The abundance and distribution patterns of infaunal marsh foraminifera are important because foraminifera with infaunal occurrences may become “enriched” (i.e., have higher relative abundances) with depth in sediments compared to those species that are primarily epifaunal (Culver and Horton, 2005). This process may produce subsurface death assemblages that differ from their counterparts at the marsh surface (Horton and Edwards, 2006), which may hamper the reconstructions of past RSL change.
Here, in both low-marsh and high-marsh settings of these medium-low salinity salt marshes in mainland northern Georgia, the dominant infaunal species were similar to those in the corresponding surface samples, and no species were found living solely infaunally. In all cores except the high marsh setting of Thunderbolt (TB-1-24), the greatest number of live specimens were in the 0–1 cm depth interval. The core extracted from low marsh settings of Thunderbolt and all Georgetown cores were dominated by M. fusca, Ammobaculites spp. and Ammoastuta inepta. Live specimens in these cores, were generally restricted to the top 10 cm. In the low/high marsh margin core (TB-1-22), sporadic live specimens extended to 15 cm. The live abundance in the high marsh core of Thunderbolt peaked at 20 to 30 cm depth and were dominated by Haplophragmoides spp. and A. mexicana. Similarly, infaunal studies from Georgia barrier islands (Sapelo) show that the greatest number of live specimens occurred in surface and shallow surface samples in low and transitional marshes. However, in high marsh settings, the greatest number occurred deeper in the 8–10 cm and 10–15 cm intervals (Goldstein and Harben, 1993). In temperate and subtropical coastal regions of North America show that the majority of live foraminifera are found in the top 5 cm of sediment (e.g., Goldstein and Harben, 1993; Saffert and Thomas, 1998; Culver and Horton, 2005; Tobin, 2005; Milker et al., 2015). For example, the greatest number of live specimens occurred in the top 1–2 cm in all five short cores from Oregon marshes (Milker et al., 2015) and the majority of cores from North Carolina (Culver and Horton, 2005).
M. fusca and Ammobaculites spp. are usually recorded as epifaunal to shallow infaunal species (Ozarko et al., 1997; Saffert and Thomas, 1998; Goldstein and Watkins, 1999; Patterson et al., 2004;). In North Carolina, A. inepta was restricted to depths less than 5 cm (Culver and Horton, 2005). Haplophragmoides spp. and A. mexicana have been described as ‘‘deep infaunal’’ (Goldstein and Harben, 1993; Ozarko et al., 1997; Duchemin et al., 2005; Berkeley et al., 2007). They were observed at depths to 30 cm in low and high marsh settings of Sapelo-Island and St. Catherines Island, Georgia (Goldstein and Harben, 1993; Goldstein et al., 1995). In North Carolina, both species were also found living infaunally but at shallower depths (up to 10 cm; Culver and Horton, 2005). Haplophragmoides spp. was recorded as shallow infaunal (2.5–10 cm) and A. mexicana as deep infaunal (15–40 cm) in Massachusetts and Connecticut (Saffert and Thomas, 1998). In Toms Creek marsh in Oregon, Haplophragmoides spp. was recorded down to 50 cm depth in the middle marsh, and the greatest abundance was at 20 cm in the low marsh (Milker et al., 2015). Akers (1971) found living A. mexicana down to 40 cm below the marsh surface in Beaufort, North Carolina. A. mexicana was also living as deep as 60 cm in the high and intermediate marsh from the Delaware estuary (Hippensteel et al., 2000). In South Carolina, A. mexicana, M. fusca and T. comprimata extended to almost 20 cm; however, the living zone extended only to 5–10 cm in the low- and transitional-marsh cores (Tobin, 2005). The variable depth of the species’ habitats may be influenced by sediment characteristics, such as higher contents of sand, or roots deepening the oxygenated layer producing more aerated sediments for deep infaunal microhabitats (Rijk and Troelstra, 1999; Milker et al., 2015).
Despite the observation of infaunal foraminifera, the total number was small compared to the total number of dead specimens in the surface samples. Stained tests contributed around 15% of the assemblage at 2–3 cm depth and fell to less than 10% below this depth. Similarly, small ratio of (9%) live infaunal specimens to (91%) dead surface is observed across all environments in Toms Creek, Oregon (Milker et al., 2015). Culver and Horton (2005) also suggested the infaunal population penetrate to 4 cm only containing a few specimens; they would not significantly affect the composition of dead assemblages. Consequently, infaunal species do not introduce a significant error and we conclude that surface 0–1 cm samples are appropriate for use in developing training sets for reconstructing RSL in our study area.
Taphonomic influence on the sub-surface assemblages
Comparison of down-core patterns of live and dead foraminifera can provide insights into the taphonomic loss of foraminiferal specimens (Culver et al., 2013). Taphonomic processes acting at the sediment surface and in deeper layers may result in the loss of tests during burial, causing potential discrepancies between the modern surface assemblages and the sub-surface assemblages.
Generally, the abundance of dead foraminifera decreased in numbers down core in the low marsh of Thunderbolt and Georgetown salt marshes, experiencing a significant decline below 10 cm, which suggests that tests are being destroyed through time. This taphonomic process was amplified in the low marsh cores of Thunderbolt. For example, the number of dead foraminifera in core TB-1-1 was around 500 specimens per 10 cc in the top 5 cm and decreased to less than 100 specimens per 10 cc at 10 cm and less than 50 specimens per 10 cc below 10 cm. Goldstein and Watkins (1998, 1999) suggested that taphonomic processes can remove up to 90% of foraminiferal tests within the top 10 cm of sediment in southeastern U.S. salt marshes. The same low abundance of agglutinated foraminifera was also recorded from the Gulf coast of Texas (Williams, 1994), and an apparent absence of agglutinated foraminifera has been reported from many tropical Holocene sequences (e.g., Wang and Chappell, 2001; Woodroffe et al., 2005). A review of the distribution of live and dead foraminifera within cores reveals that the upper 10 cm may be the most important taphonomically-active zone for foraminifera (Walker and Goldstein, 1999).
Hoge (1994) suggested that agglutinated foraminifera degradation is correlated to the Eh rather than PH value. It is possible the bacteria sulfate reduction, input of iron and drained depth (King et al., 1985; Teal and Kanwisher, 1961) result in a high Eh value redox profiles over the top 10 cm in the study area, which may increase the degradation of cement of the agglutinated foraminifera in this zone. Goldstein and Watkins (1999) attributed the dramatic loss of agglutinated tests within St. Catherine’s marshes to microbial processes within the bioturbated zone. Microbial degradation of organic cements has been suggested as an important mechanism of agglutinate loss. This loss is caused by the oxidation of the organic cement facilitated by high temperatures and sediment oxygenation (increased by bioturbation from fiddler crabs) (Berkeley et al., 2007). However, this dramatic loss of agglutinated tests was not encountered in marshes from the southeastern U.S. in similar temperature zones such as South Carolina (Collins et al., 1995) and Florida (Gerlach et al., 2017). Further study is required to understand the complex reasons behind the taphonomic loss of agglutinated foraminifera in Georgia salt marshes.
The abundance of foraminiferal tests in the subsurface below 10 cm was greater in the high marsh of Thunderbolt. Dead foraminifera in core TB-1-24 increased from less than 100 specimens per 10 cc to 260 specimens per 10 cc in top 10 cm and remained abundant to the bottom. Better preservation was also observed in other higher marsh sites from the U.S. Atlantic coast (Culver and Horton, 2005; Leorri and Martin, 2009). Culver and Horton (2005), Goldstein et al. (1995) and Goldstein and Watkins (1999) suggested high-marsh species such as A. mexicana and Haplophragmoides spp. have higher resistance to degradation compared to low-marsh species (e.g. M. fusca). Higher resistance species build a test constructed of plate-like clay minerals (2–20 μm) (Rijk and Troelstra, 1999), while M. fusca (similar to Ammobaculites spp.) is susceptible to taphonomic degradation because their coarser grains appear frail, and the non-mineralized, organic cement is easily destroyed by bacterial degradation (Goldstein and Watkins, 1999).
The different resistance to degradation among species’ tests can lead to selective preservation and cause bias in the fossil assemblage. For example, in Great Marsh of Massachusetts, selective preservation of robust tests, such as Jadammina macrescens, T. inflata, Haplophragmoides manilaensis and fragile species M. fusca caused a different composition in modern and fossil faunas (Rijk and Troelstra, 1999). In this study, selective preservation may be indicated by the relative abundance of A. mexicana and M. fusca in core TB-1-1. The surface assemblage is dominated by Ammobaculites spp. and M. fusca, but below depths of 15 cm, the dead assemblage sharply declined and became dominated by low numbers of A. mexicana, while M. fusca was absent. This process could cause the differences in faunal composition, diversities and densities found between modern and fossil assemblages despite the similar environment (Goldstein and Harben, 1993; Rijk and Troelstra, 1999). Therefore, reconstructions of RSL produced from low-marsh environments may be influenced by foraminiferal assemblages modified by selective preservation. Thus, particular care must be taken to assess whether assemblages make ecological sense given the stratigraphic framework they come from, for example, a low abundance high marsh assemblage in an inorganic sample should be treated with caution. This is important to consider when reconstructing RSL from salt marsh environments in northern Georgia.
Conclusion
We studied the modern distribution of salt-marsh foraminifera from two sites with intermediate-low salinities in northern Georgia for applications in reconstructing RSL change. The distribution of surface foraminifera shows site-specific characteristics that are most likely related to different salinities. The Thunderbolt salt marsh with intermediate salinity showed a vertical zonation with Haplophragmoides spp. dominating five sample stations in the high marsh environment between MHHW to HAT. While at the low marsh environment, between MTL to MHHW, higher abundances of M. fusca and Ammobaculites spp. were recorded. The Georgetown salt marsh with low salinity showed A. inepta dominated sample stations around MHW in all three transects. The modern distribution of salt-marsh foraminifera in mainland northern Georgia is similar to those recorded on the U.S. Atlantic coast and elsewhere.
We also investigated infaunal foraminiferal populations using six short sediment cores from Thunderbolt and Georgetown salt marshes to assess their potential impact on RSL reconstructions. The peak concentration of living individuals was typically found in the top 0–1 cm surface sediments. However, there are some notable exceptions to this pattern because of the presence of infaunal species in the high-marsh core at Thunderbolt (TB-1-24), living individuals of A. mexicana and Haplophragmoides spp. were observed as deep as 40 cm below the surface, while concentrations peaked at depths of 15–35 cm. However, the dominant infaunal species were similar to those in the corresponding surface samples, and the total number of infaunal foraminifera was small compared to the total number of dead specimens in the surface samples.
Our epifaunal studies at northern Georgia medium-low salinity mainland salt marshes indicate that foraminifera are vertically zoned with respect to the tidal frame, and that infaunal species have little influence on the subsurface assemblage. Therefore, we consider surface (0–1 cm) foraminiferal assemblages as accurate modern analogues for RSL reconstructions. However, taphonomic processes lead to the removal of fossil foraminiferal tests and cause selective preservation in low marsh environments. This should not influence RSL reconstructions produced from high marsh organic peats, which are typically used in RSL reconstructions from salt marshes along the U.S. Atlantic coast. We therefore recommend caution when interpreting foraminiferal assemblages from sediment cores extracted from lower intertidal environments.
Additional Files
The additional files for this article can be found as follows:
Appendix A
Contemporary foraminiferal absolute counts of dead (live) specimens including sample station information. DOI: https://doi.org/10.5334/oq.80.s1
Appendix B
Summed absolute counts of dead (live) specimens in six short cores. DOI: https://doi.org/10.5334/oq.80.s2
Acknowledgements
We thank Candace Grand Pre, Simin Liu, Andrew C. Kemp, and a cohort of Earthwatch students for their assistance in the field. Earthwatch student participation was supported by a grant to Earthwatch from the Durfee Foundation. We thank China Scholarship Council to support Chen Huixian staying in the US to work on this research. TS and BPH were funded by the Singapore Ministry of Education Academic Research Fund MOE2018-T2-1-030, the National Research Foundation Singapore, and the Singapore Ministry of Education, under the Research Centres of Excellence initiative. This article is a contribution to PALSEA3 (Palaeo-Constraints on Sea-Level Rise) and International Geoscience Program (IGCP) Project 639, “Sea Level Change from Minutes to Millennia”. This work is Earth Observatory of Singapore contribution 290.
Competing Interests
The authors have no competing interests to declare.
