Have a personal or library account? Click to login
Postural balance and its relationship with physical activity and sleep quality during pregnancy: a multiple linear regression analysis Cover

Postural balance and its relationship with physical activity and sleep quality during pregnancy: a multiple linear regression analysis

Open Access
|Sep 2025

Figures & Tables

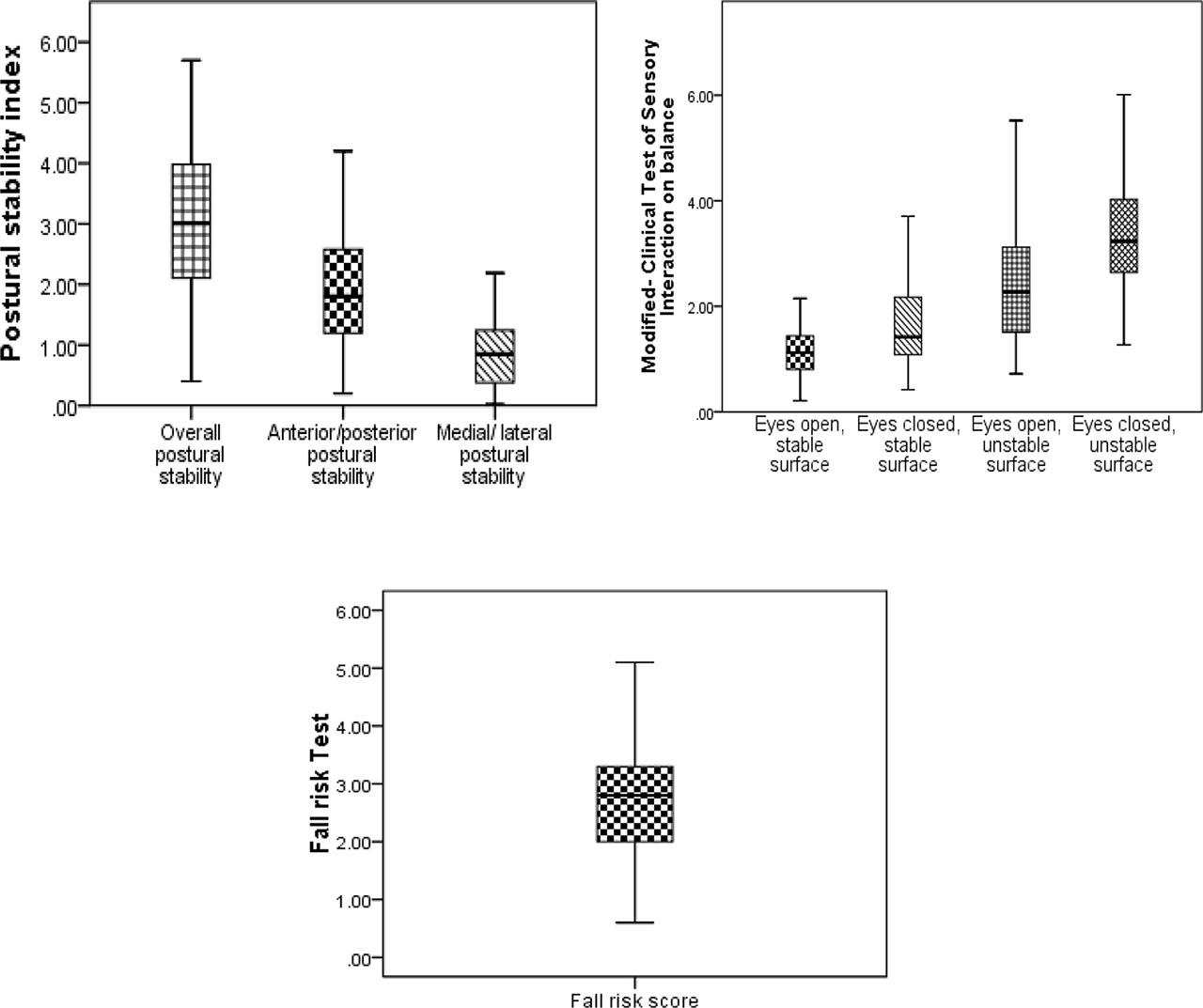
Figure 1.

Five-number summary of postural balance and fall risk of pregnant women

Figure 2.

Correlational analysis of postural balance and physical activity

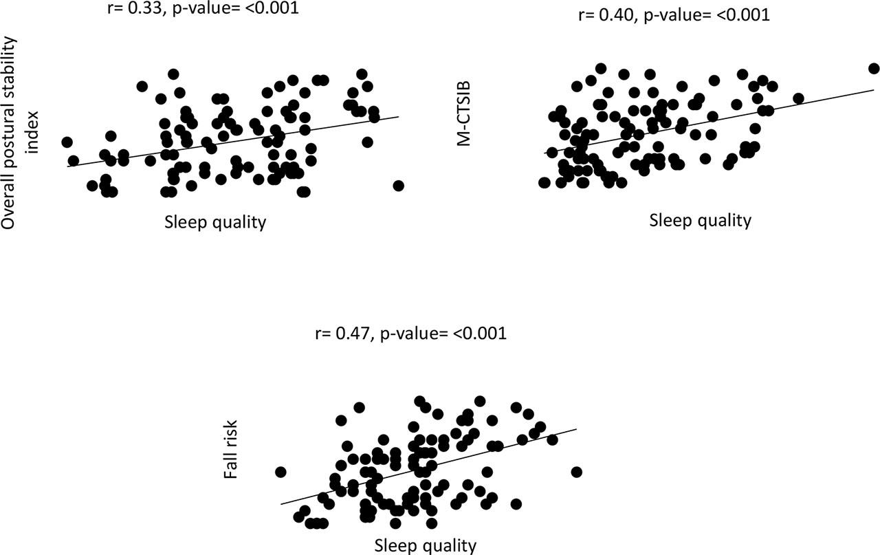
Figure 3.

Correlation between postural balance and sleep quality
Language: English
Page range: 40 - 53
Published on: Sep 25, 2025
In partnership with: Paradigm Publishing Services

© 2025 Sidra Qureshi, Malik Muhammad Ali Awan, published by University of Physical Education in Warsaw
This work is licensed under the Creative Commons Attribution-NonCommercial-ShareAlike 4.0 License.