Petroleum, also referred to as rock oil, is a fossil fuel chemically composed of hydrocarbons, i.e., alkanes, cycloalkanes, olefins, aromatics, and polyaromatic hydrocarbons (PAHs) (Speight and Arjoon 2012; Arjoon and Speight 2020). The aromatics include benzene, alkylbenzenes, isopropylbenzene (cumene), nitrobenzene, benzoic acid, toluene diisocyanate (TDI), naphthalene, toluene and xylenes (Podgorski et al. 2013). It is refined to yield many valuable products, including diesel, petrol, and jet fuel, lubricating and heating oil, asphalt, waxes, natural gas, and jet fuel. These chemicals play a crucial role in the economy of a country due to their extensive use in the petrochemical industry in the production of fertilizers, plastics, synthetic fibers, insecticides, perfumes, kerosene, liquefied petroleum and natural gas, butane, propane, naphtha, naphthalene, bitumen, pesticides, nylon, paints, paraffin wax, drugs, explosives, and rubber (Mori 2023). The extensive involvement of petroleum in human civilization contributes to the oily waste produced during the processing, refining, and production but also due to spill and leakage during exploration, drilling, unplugging of wells, storage, and transportation (Ezeonu et al. 2012). An accidental petroleum spill due to pipeline breakage on the coast of California proved disastrous for wildlife habitats and killed fishes, birds, and algae (Ramírez-Camacho et al. 2017). The oily waste is causing devastating ecological issues like plastic pollution, species extinction, air and water pollution, global warming, natural resource depletion, and deforestation (da Silva et al. 2012; Li et al. 2020). It damages plant life by inducing oxidative stress, decreasing nutrient transportation and germination of seeds, and interfering with metabolism, physiology, and morphology (Haider et al. 2021). Human health effects exerted by total petroleum hydrocarbons (TPH) include fatigue, irritation of the stomach and throat, depression, difficulty breathing, nausea, drowsiness, headache, pneumonia, peripheral neuropathy, cancer, respiratory diseases, and even death (Adipah 2019; Abereton et al. 2023). Keeping in view these hazardous effects in addition to stability, longevity, and the tendency of bioaccumulation and biomagnification, the Environment Protection Agency (EPA) has categorized petroleum as a Persistent Organic Pollutant (POPs) (Ossai et al. 2020).
Mitigating measures taken conventionally for TPH degradation include physical methods, such as flotation, ultrasonication, incineration, electrokinetics remediation, microwave frequency heating, thermal desorption, and chemical methods comprising of synthetic detergents/surfactants, soil flushing technique, and photocatalytic removal. These conventional strategies are accompanied by some limitations like high cost, more time, greater exposure for workers to hazardous chemicals, and partial removal of pollutants (Lim et al. 2018; Wulandari and Effendi 2018; Sivagami et al. 2019; Zhao et al. 2019; Hao et al. 2020; Koe et al. 2020; Ossai et al. 2020; Liu et al. 2021a; Tran et al. 2022).
Researchers have always been trying to explore suitable, cost-effective, less time-consuming, and ecofriendly alternatives to these traditional methods. These efforts led to the emerging technique of bioremediation. i.e., the breakdown of TPH using living organisms like bacteria, fungi, and plants. Bacteria are getting attention as the best bioremediating agents because of their fast growth rate, tolerance to a wide range of temperatures (0 to 120°C) (An et al. 2023), salinity (0.3 M to 5.9 M) (Mousa et al. 2023) and pH (3 to 9) (Liu et al. 2015). On the contrary, fungi are mostly mesophilic (surviving at 25 to 30°C) (Petkova and Shilev 2023) and exhibit efficient biomass growth and sporulation only at a pH range of 5.5 to 6.5 (Gomes et al. 2018). Bacteria with efficient metabolic potential exhibit diversity and are found in the different phylum of the kingdoms/ domains, i.e., Actinomycetota/Actinomycetia (Micrococcus), Bacteroidota/Flavobacteriia (Flavobacterium), Firmicutes (Bacillus), Proteobacteria: Pseudomonadota/Alphaproteobacteria (Rhizobium), Pseudomonadota/Gammaproteobacteria (e.g., Acinetobacter, Pinisolibacter, Pseudomonas etc. (Table I)).
Petroleum hydrocarbons degrading bacteria reported in the literature.
| Bacteria | References |
|---|---|
| Acinetobacter XS-4 | Zou et al. 2023 |
| Neorhizobium, Allorhizobium, Rhizobium, Pararhizobium, Pseudomonas, Nocardioides, Simplicispira | Eziuzor and Vogt 2023 |
| Dehalococcoidia | Zehnle et al. 2023 |
| Pinisolibacter aquiterrae | Bedics et al. 2022 |
| Enterobacter | Hossain et al. 2022 |
| Talaromyces sp. | Zhang et al. 2021 |
| Pseudomonas pseudoalcaligenes, Rhodococcus | Feng et al. 2021; Chuah et al. 2022 |
| Aquabacterium | Xu et al. 2019 |
| Nesiotobacter exalbescens | Ganesh Kumar et al. 2019 |
| Bradyrhizobium, Koribacter, Acidimicrobium | Jeffries et al. 2018 |
| Sphingomonas | Zhou et al. 2016 |
| Exiguobacterium aurantiacum | Mohanty and Mukherji 2008 |
| Bacillus subtilis, Alcaligenes sp., Flavobacterium sp., Micrococcus roseus, Corynebacterium sp. | Adebusoye et al. 2007 |
| Marinobacter, Alcanivorax, Sphingomonas, Gordonia, Micrococcus, Cellulomonas, Dietzia | Brito et al. 2006 |
These bioremediating bacteria utilize the TPH as carbon source and process them via various chemical reactions like reduction, β-oxidation, terminal oxidation, sub-terminal oxidation and ω-oxidation, dehydration, acetylation and hydroxylation, converting them into simpler compounds that can be shunt into central carbon metabolic pathway via tricarboxylic acid cycle (TCA) (Abbasian et al. 2015; Ahmed et al. 2023). Thus, ultimately, these hydrocarbons are destined for obtaining energy and assimilation into biomass. To accomplish these reactions, different bacteria have evolved different pathways for various petroleum-based hydrocarbons. Like, alkane degradation pathways, i.e., terminal oxidation, subterminal oxidation pathway, diterminal oxidation, and finnerty way pathways reported in Alcanivorax borkumensis, Pseudomonas putida, Geobacillus thermodenitrificans NG80-2, Pseudomonas aeruginosa, Gordonia sp. strain TY-5, Acinetobacter sp. and, Falsochrobactrum tianjinense, respectively (Hu et al. 2022; Wang et al. 2023). Additionally, petroleum aromatic compounds degradation mechanisms have also been reported in literature like o-ring cleavage and m-ring cleavage pathways, toluene 4-monooxygenase pathway (TMO), toluene 3-monooxygenase pathway (Tbu), toluene 2-monooxygenase pathway (TOM), toluene dioxygenase pathway (Tod), toluene methyl monooxygenase pathway (TOL) for toluene, salicylate pathway, gentisate pathway, procatechuic acid pathways for naphthalene, anaerobic benzene degradation pathways via methylation, hydroxylation and carboxylation, xylene degradation pathways via phenol hydroxylase, monooxygenase and dioxygenase routes, β-ketoadipic acid pathway of benzoic acid degradation and the novel pathways of toluene and naphthalene degradation involving the cyclohexene, cyclohexane, cyclohexanol and cyclohexanone formation (Reiner 1971; Denome et al. 1993; Goyal and Zylstra 1997; Abu Laban et al. 2010; Brzeszcz and Kaszycki 2018; Di Canito et al. 2018; Muccee et al. 2019; Muccee et al. 2021). Despite the significant contribution to TPH degradation, bioremediation also has limitations, such as less contaminant bioavailability and the production of more toxic compounds (Sharma 2020; Kumar et al. 2022). However, these issues can be resolved by integrating multiple bioremediation approaches and optimizing the physical conditions in the future (Salari et al. 2022).
Considering the hazardous effects associated with TPH and the need for fast-growing bacteria with new and highly efficient degradation pathways in our native unexplored area of Lahore, we initiated the present project. By exploring the petrol-contaminated soil of gasoline stations in Lahore, we might isolate petroleummetabolizing bacteria with highly efficient removal potential and novel mechanisms. The study was not only restricted to isolation and general characterization of TPH-degrading bacteria. Rather, it was extended up to the level of metabolomics. Metabolomics profiling of TPH metabolic intermediates and products formed in bacteria on exposure to these hydrocarbons can be fruitful in deducing the confirmed bacterial pathways. Therefore, the study also targeted the comprehensive profiling of intracellular, extracellular, polar, and nonpolar bacterial metabolites.
Soil samples were collected from gasoline stations in Lahore at Davice Road and Wahdat Road. To isolate TPH degrading bacteria, 1 g of soil sample was dissolved in the autoclaved Ringers’ solution (25 ml) and kept under shaking conditions overnight (37°C, 150 rpm). After 24 hours, ringers’ solution was used to make serial dilutions ranging from 10−1 to 10−7. A minimal salt medium (MSM) supplemented with petroleum as the sole carbon source was used for isolation, serial dilutions, and spread plate method preparation. This medium comprised of MgSO4 (0.2 g), CaCl2 (0.02 g), K2HPO4 (1.0 g), KH2PO4 (1.0 g), NH4NO3 (1.0 g), FeCl3 (0.05 g) and petroleum 1% v/v (Lima et al. 2019). Nutrient agar was added to MSM to solidify the medium. After spreading, petri plates were incubated at 37°C for one week. Afterward, colony morphology and response to Gram staining were analyzed. The glycerol stock of bacteria was prepared. The stock was saved −30°C.
A growth curve was constructed to detect the logarithmic phase of bacterial isolate. For this task, the growth assay was performed in triplicates. Overnight-grown cultures with optical density, i.e., OD600 = 1, were used to get synchronized cultures. The bacteria were cultured in MSM supplemented with petroleum (5 ml/500 ml medium) as a carbon source under shaking at 150 and at 37°C. Midgrade gasoline with middle octane range i.e., 89–90 was used. The turbidity of cultures was determined by measuring the absorbance at regular intervals at 600 nm via a UV-Visible Spectrophotometer. To plot the growth curve, OD was plotted versus time intervals.
For quantitative estimation of the TPH removal efficiency of bacteria, a previously reported method involving the use of 2,6-dichlorophenolindophenol (DCPIP) as a redox indicator, was employed (Bilen Ozyurek and Seyis Bilkay 2017; Marchand et al. 2017; Muccee and Ejaz 2019). To perform this assay, 1% v/v of DCPIP was added to MSM containing petroleum as a carbon source. To perform assay in triplicates using synchronized cultures, the overnight grown bacteria with OD600 of 1 were used as inoculum. Bacteria were allowed to grow under shaking conditions (37°C, 150 rpm) for seven days. During this incubation, the culture was collected at different time intervals, i.e., 0, 24, 48, 72, 96, 120, and 144 hours. The culture was centrifuged to separate the supernatant from pelleted cells, and the supernatant was analyzed spectrophotometrically at 600 nm. The change in DCPIP color was measured in experimental flasks against the control flask (containing only MSM, petroleum, and DCPIP with no inoculum) from this OD. This color change was directly related to the TPH oxidizing potential of bacteria.
For biochemically characterizing the bacteria, the Remel RapID™ ONE System (Thermo Fisher Scientific, Inc., USA) panel was used. This method enabled us to detect the presence of a variety of enzymes using different reactive ingredients or substrates. Substrates were supplied in dehydrated form in reaction cavities of kit panels. Substrates used included urea, arginine, ornithine, lysine, sorbitol, aliphatic thiol, fatty acid ester, sugar aldehyde, p-nitrophenyl-β-D-glucuronide, p-nitrophenyl-β-D-galactoside, p-nitrophenyl-β-D-glucoside, p-nitrophenyl-β-D-xyloside, p-nitrophenyl-N-acetyl-β-D-glucosaminide, malonate, proline β-naphthylamide, γ-glutamyl-β-naphthylamide, adonitol and tryptophane for URE, ADH, ODC, LDC, SBL, TET, LIP, KSF, GUR, ONPG, βGLU, βXYL, NAG, MAL, PRO, GGT, PYR, ADON, and IND test, respectively. These reaction cavities were inoculated with bacterial cells suspended in RapID™ inoculation fluid. It follows the rehydration of substrates and reaction initiation. The color change observed was compared with the differential chart provided with the kit.
Initially, the DNA of bacteria was extracted using the organic DNA extraction method (Wright et al. 2017). DNA quantification was performed by agarose gel electrophoresis. Qualified DNA was processed for amplification of the 16S rRNA gene using forward primer AGAGTTTGATCCTGGTCAGAACGAACGCT (GC content = 48.3% and Tm = 70.4°C) and reverse primer CGTACGGCTACCTTGTTACGACTTCACCCC (GC content = 56.7% and Tm = 74.8°C). Following this, amplification was confirmed by agarose gel electrophoresis, and amplicons were sent for Sanger sequencing. The FASTA files obtained were analyzed through BLASTN (http://blast.ncbi.nlm.nih.gov/blast/Blast.cgi), and top BLAST sequence similarity was found (Chen et al. 2015). Then, to study the evolutionary relationship of present study bacteria, bacterial sequences of the 16S rRNA gene available on the NCBI database were retrieved (Schoch et al. 2020). This step followed the multiple sequence alignment via the Clustal Omega multiple sequence alignment tool (http://www.clustal.org/mbed.tgz) (Sievers and Higgins 2021). This multiple alignment was used for phylogenetic tree construction using MEGA version 11 (Tamura et al. 2021). The maximum composite likelihood neighbor-joining tree was constructed using a bootstrap value of 100.
Extracellular and polar, and intracellular polar and non-polar metabolites of B. cereus were extracted using the protocols published in (Muccee et al. 2019). Initially, bacteria were cultured and allowed to grow up to its log phase i.e., 51–72 hours, in MSM medium supplemented with midgrade petroleum (5 ml/500 ml medium) as a sole carbon source. The culturing was performed under shaking conditions at 150 rpm and 37°C. At the long phase, when maximum turbidity and OD, i.e., 1.2, were achieved, the culture was centrifuged (6,000 rpm, 10 min, 4°C) to get supernatant and cells as a source of extracellular and intracellular metabolites.
The supernatant (10 ml) was taken in a test tube and methanol (5 ml) was added, followed by centrifugation (10,000 rpm, 20 min, 4°C). Following centrifugation, methanol (3 ml) was collected from the upper surface and transferred to a glass vial. The vial was dried in an incubator at 50°C for 1 week. After drying, methanol evaporated, and bacterial extracellular metabolite extract was achieved, subjected to gas chromatographymass spectrometry (GCMS) analysis.
To extract intracellular metabolites, the pellet was washed twice with 0.9% NaCl (1 ml) using centrifugation (4,000 rpm, 5 min, 4°C). After discarding NaCl to quench metabolism, methanol and deionized water 400 μl, were added to the washed pellet on ice. Further steps were performed on ice, during which chloroform (400 μl) was added. All the contents were transferred to Eppendorf tubes. Afterward, cells were agitated in a sonicator (4°C, 30 min) and centrifuged (10,000 rpm, 20 min, 4°C) post sonication. It resulted in the formation of three separate phases i.e., upper phase (polar metabolites source), interphase (comprising of proteins) and lower phase (non-polar metabolites source). The upper and lower phases 300 μl each, were carefully transferred to separate glass vials by moving interphase out of the way. Vials were dried in incubator to get extracts of polar and non-polar metabolites. These metabolites were sent for GCMS analysis. For GCMS analysis, already reported parameters were used (Table SI) (Sadiqi et al. 2022).
The metabolic intermediates were identified by comparing electron ionization (EI) mass spectra and electron energies obtained in GC-MS analysis with the spectra of compounds stored in the NIST library (Margolin et al. 2020).
The colony morphology on agar medium was documented (Fig. S1). The bacteria were found to be Grampositive Bacillus (Fig. S1). Growth analysis revealed the lag phase of 0 to 50 hours; log phase of 51 to 72 hours, static phase of 73 to 75 hours, and death phase of 76 hours onwards (Fig. 1a). Growth and removal assays were performed in triplicates.

Growth phases and petroleum hydrocarbons degradation potential analysis of Bacillus cereus strain sab41in present study. a) Growth curve showing lag, log, static, and death phases; b) graph showing degradation efficiency of petroleum by B. cereus strain sab41 estimated by measuring OD600 of supernatant containing DCPIP.
Oxidized DCPIP appears blue. Bacteria oxidizing the petroleum hydrocarbon generate electrons, which cause reduction of DCPIP. As it gets reduced, its color changes from blue to dark pink to light pink and finally becomes colorless. The amount of DCPIP being reduced was estimated by the decrease in absorbance of DCPIP. Absorbance measured in case of B. cereus was 2.5 (0 hr), 2.1 (24 hr), 1.6 (48 hr) and 0.7 (72 hr). The petroleum degradation efficiency of B. cereus (Fig. 1b) was estimated to be 72 ± 10.03% at 72 hr, using the following formula:
B. cereus gave positive results for ADH, ODC, LDC, ONPG, βGLU, NAG, MAL, ADON, and IND. On the other hand, the bacteria were negative for URE, TET, LIP, KSF, GUR, βXYL, GGT, and PYR. The panel with test results is shown in Fig. 2.

Biochemical characterization of Bacillus cereus strain sab41 using Remel RapID™ One panel.
a) Remel RapID™ One panel showing the results; b) table illustrating the biochemical tests being analyzed in the present study.
BLAST analysis of the FASTA sequence of present study bacteria showed top BLAST sequence similarity with B. cereus strain sab41. The sequence was submitted to NCBI, and an accession number was assigned, i.e., OQ954708.1.
Phylogeny analysis revealed that present study bacteria B. cereus strain sab41 OQ954708.1 was closely related with bootstrap value of 100 with Bacillus wiedmannii strain NAF4, Bacillus albus strain SAB1, B. cereus strain EBMB1, B. cereus strain P627f, Bacillus thuringiensis strain NBAIR Bt109, B. cereus WK56, Bacillus pacificus strain WK44, Bacillus paramycoides strain BEFA-III, and Bacillus tropicus strain SAB11 (Fig. 3). It was distantly related with Bacillus paralicheniformis strain KJ16, B. cereus ATTC® 14579™ and Bacillus licheniformis due to a low bootstrap value of 45.

Phylogenetic tree of Bacillus cereus strain sab41 constructed using MEGA 11 software.
A maximum composite likelihood neighbor-joining tree using a bootstrap value 100 was constructed.
Metabolites were identified via molecular weight comparison with previously reported intermediates and end products of TPH metabolism. By molecular weight comparison, we found twenty-one compounds belonging to alcohols, aldehydes, carboxylic acids, cycloalkanes, and cycloalkenes, etc. (Fig. 4, Fig. S2 and S3). The molecular weights, retention times, and peak areas of these metabolites are given in Table I.

GC chromatograms of Bacillus cereus strain sab41 showing the identified metabolites formed by degradation of petroleum hydrocarbons in the present study.
a) Peaks showing methylalcohol, methanoic acid, cyclohexene, cyclohexane, catechol, 4-methylcyclohexanone; b) peak showing benzoate; c) peak showing 3-methyl salicylic acid; d) peak showing acetaldehyde and o-cresol; e) peak showing 2-methylmuconate.
The present study targeted the hydrocarbonoclastic bacterium B. cereus to gain insight into its petroleum hydrocarbon degradation potential. Growth analysis of B. cereus revealed the exponential growth starting at 51 hr and ending at 72 hr. Present findings are slightly contrary to previous reported work reporting the fastest growth rate with log phase starting at 6 hr (Burkholderia lata IUBP14), 24 hr (Brevibacillus formosus IUBP5 and B. lata IUBP13), 30 hr (Brevibacillus agri IUBP1, B. formosus IUBP2 and 3, B. lata IUBP7 and 8, Burkholderia pyrrocinia IUBP15), 6 hr (Pseudomonas sp. ZS1 and Alcaligenes sp. CT10) and 48 hr (Pseudomonas and Bacillus sp.) (Liang et al. 2018; Tian et al. 2018; Muccee and Ejaz 2019).
Various petroleum degraders have been biochemically characterized in previous studies and found positive for the assays like catalase test, MacConkey agar test, lactose fermentation, mannitol test, urea hydrolysis test, starch hydrolysis test, citrate test, carbohydrate utilization test, esculinase test, phosphatase test, PYR, ADH, β-D-glucosaminidase test, mannitol, sorbitol and inulin fermentation tests (Muccee and Ejaz 2019; Hossain et al. 2022). So, the present study’s findings are consistent with earlier research, as B. cereus has also been found positive for ADH. However, this is the first study reporting ODC, LDC, ONPG, βGLU, NAG, MAL, ADON, and IND-positive petroleum degrading bacteria.
Our finding of B. cereus as petroleum degrading bacteria is consistent with the previous literature reporting various species of Bacillus as petroleum degraders like B. cereus ATCC® 14579™, Bacillus tequilensis NR104919, Bacillus axarquiensis NR115929, Enterococcus faecalis ATCC® 19433™, B. subtilis ATCC® 6633™, Bacillus thuringiensis, Bacillus pumilus (Bilen Ozyurek and Seyis Bilkay 2017; Tian et al. 2018; Viesser et al. 2020).
The highest petroleum removal efficiency reported in the literature is 98.245% and 85%/24 hr in Bacillus species and Rhodococcus hoagii, respectively (Al-Surrayai et al. 2009; Abdulla et al. 2019). While the lowest removal potentials during 7 days have been observed in Pseudomonas sp. (11.97%), Acinetobacter sp. (6.09%), Enterobacter sp. (7.46%), B. pumilus (23%), Klebsiella pneumoniae (31%), B. tequilensis (30%), Enterococcus faecalis (37%), Enterobacter cloacae (38%), B. tequilensis (48%), IUBP15 (69.5% per 6 days) and IUBP1 (41% per 6 days), HCS2 bacterial strain (80% per 21 days), (Avanzi et al. 2015; Bilen Ozyurek and Seyis Bilkay 2017; Muccee and Ejaz 2019; Hossain et al. 2022). Hence, the degradation efficiency of B. cereus is intermediate between the lowest and highest efficiencies of bacteria reported in the literature.
GC-MS was performed to identify the metabolites of petroleum degradation. Some part of literature supports these findings (Heider et al. 1998; Muccee et al. 2019; Liu et al. 2021b) while a few studies are not in accordance with the present work. Later investigation identified compounds pyridine 2, 3-dicarboxylic acid, three-beta-hydroxyapatite, adenosine, gentisic acid, uridine, glutathione, 9-phenanthrol, 6-methylmercaptopurine, prostaglandin A2, abietic acid and 9-fluorenone in petroleum contaminated soil comprising of Pseudomonas, Pseudoxanthomonas, Immundisolibacter and Mycobacterium via GC-TOF-MS analysis (Li et al. 2023b).
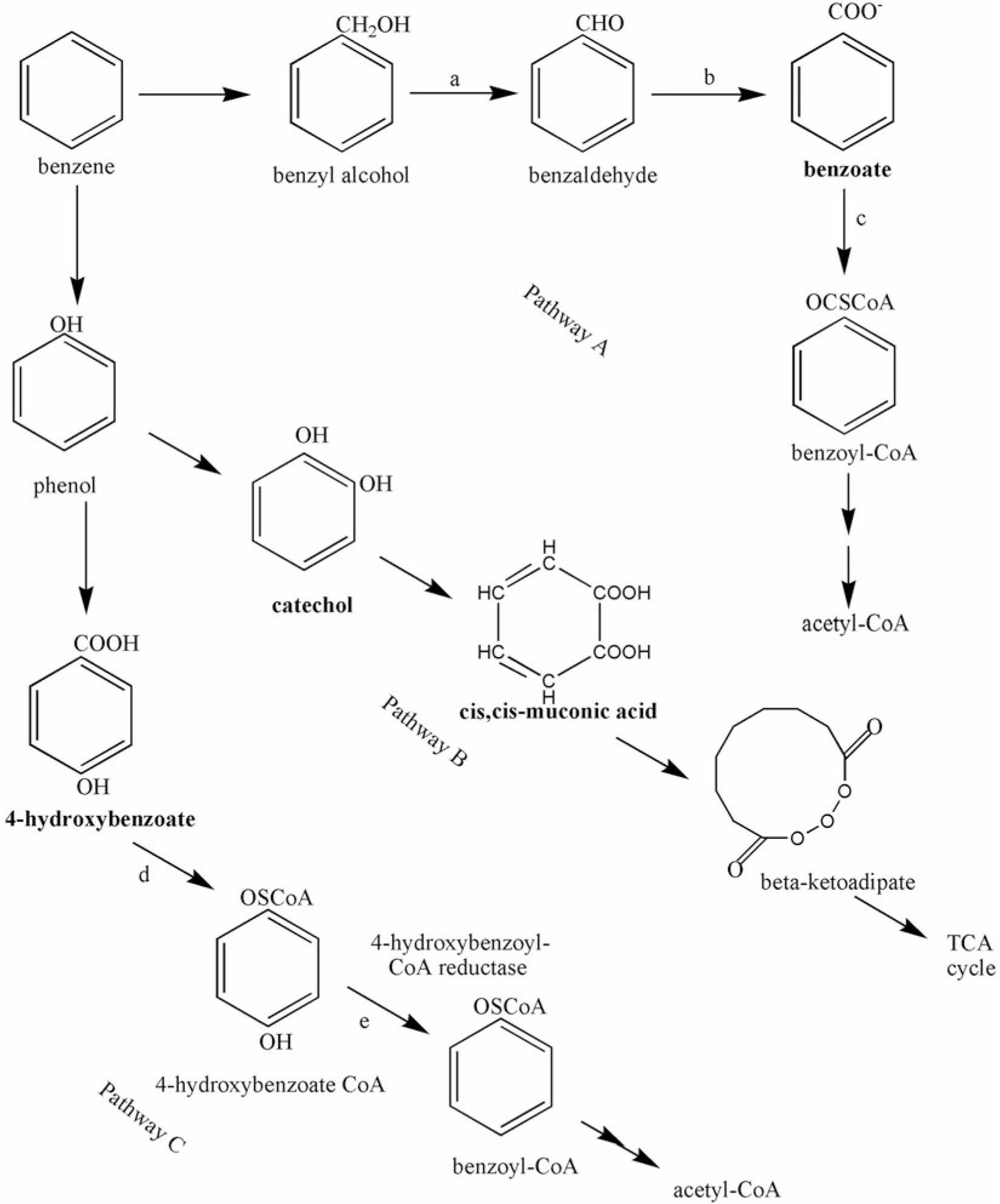
NIST library identification probabilities helped to confirm the presence of alkane, methylcycloalkane (Fig. 5) and BTEX (Fig. 6 and 7) degradation pathways in B. cereus (Table II and III). Degradation pathways documented for these petroleum components are consistent with the previously reported literature i.e., methane (Kalyuzhnaya et al. 2013), methylcyclohexane (Li Y. et al. 2023a), toluene (Whited and Gibson 1991; Olsen et al. 1994; Newman and Wackett 1995), benzene (Marr and Stone 1961; Mackintosh and Fewson 1988; Egland et al. 1997; Basu et al. 2003; Arvind et al. 2020) and xylene (Davey and Gibson 1974).

Pathways identified in Bacillus cereus strain sab41 associated with the degradation of alkanes and cycloalkanes.
a – alkane 1-monooxygenase; b – alcohol dehydrogenase; c – cyclohexanone monooxygenase; d – 6-hexanolactone hydrolase; a1 – benzoate 1,2-dioxygenase; a2 – dihydroxybenzoate dehydrogenase; a3 – catechol 1,2-dioxygenase; e – methane monooxygenase; f – methanol dehydrogenase; g – formaldehyde dehydrogenase; h – formate dehydrogenase

Pathways identified in Bacillus cereus strain sab41 involved in the degradation of aromatics.
a1, a2 – toluene 3-monooxygenase; b1, b2 – toluene 2-monooxygenase; c1 – toluene 4-monooxygenase; c2 – 4-hydroxymethyl hydroxylase; c3 – 4-hydroxybenzaldehyde dehydrogenase; d1 – xylene oxidase; d2 – alcohol dehydrogenase; d3 – aldehyde dehydrogenase

Benzene degradation pathways identified in Bacillus cereus strain sab41 in present study via GC-MS analysis.
a – benzylalcohol dehydrogenase; b – benzaldehyde dehydrogenase; c – benzoate CoA-ligase; d – 4-hydroxybenzoate CoA-ligase; e –4-hydroxybenoyl CoA reductase
Earlier reported pathways in petroleum degrading bacteria and the metabolites identified in Bacillus cereus strain sab41.
| Petroleum hydrocarbon component | Pathway/bacterium reported in literature | Metabolites identified in present study | Reference |
|---|---|---|---|
| Methane | Methylomicrobium alcaliphilum 20Z | methylalcohol, methanone, methanoic acid | Kalyuzhnaya et al. 2013 |
| Methylcyclohexane | Pseudophaeobacter, Gilvimarinus, Pseudomonas, Cycloclasticus, Roseovarius | cyclohexane carboxylic acid, benzoic acid, catechol, cis,cis-muconate | Li et al. 2023a |
| Toluene | Thauera sp. strain T1 | benzoate, acetaldehyde, cyclohexene, pyruvate, cresol, 3-methyl catechol, 4-hydroxybenzoate | Heider et al. 1998; Muccee et al. 2019 |
| Toluene 4-monoxygenase pathway in Pseudomonas mendocina KR1 | p-cresol, 4-hydroxybenzoate | Whited and Gibson 1991 | |
| toluene 3-monooxygenase pathway in Pseudomonas pickettii | m-cresol, 3-methylcatechol | Olsen et al. 1994 | |
| Benzene | Acinetobacter calcoaceticus, Rhodopseudomonas palustris, Pseudomonas putida CSV86 | benzoate, catechol, cis,cis-muconic acid, 4-hydroxybenzoate | Mackintosh and Fewson 1988; Egland et al. 1997; Basu et al. 2003 |
| Xylene | m-xylene oxidation in Pseudomonas Pxy | m-tolualdehyde, 3-methylcatechol | Davey and Gibson 1974 |
Stoichiometric equations of reactions involved in formation of metabolic intermediates of petroleum hydrocarbons degradation identified in Bacillus cereus strain sab41
| No. of reactions | Stoichiometric equations |
|---|---|
| Methane | |
| 1 | |
| 2 | |
| Methylcycleohexane | |
| 1 | |
| 2 | |
| 3 | |
| 4 | |
| Toluene | |
| 1 (Tbu, TMO, TOM) | |
| 2 (Tbu, TMO) | |
| 3 (TMO) | |
| Benzene | |
| 1 (pathway A) | |
| 2 (pathway B) | |
| 3 | |
| 4 (pathway C) | |
| Xylene | |
| 1 | |
| 2 | |
Exploration of bacteria with novel and efficient pathways for removing petroleum hydrocarbons can play a significant role in designing engineered expression systems that may remove these xenobiotics cost-effectively and eco-friendly. For engineering ecofriendly bioremedial microbes-based systems, genes associated with the identified pathways in B. cereus can be isolated and cloned in a suitable expression system.