Landing an aircraft is the most dangerous air operation. It is associated with performing a flight operation at a low altitude. In addition, high precision of control is required to ensure that the assumed touchdown point is reached and then the direction of the circulation consistent with the direction of the runway is maintained. In addition to the appropriate equipment of the aircraft, it is also required to prepare the area on the extension of the runway by removing terrain obstacles that may threaten landing aircraft. This means that in addition to occupying the area needed to prepare the airport, the use of space in the vicinity should also be limited. In response to the above challenges, new concepts of air traffic organisation are proposed [1]. Increasing airspace capacity can be achieved by using curvilinear trajectories instead of traditional straight ones. It may also allow the airport to operate in an area inaccessible to the classic straight approach to landing [2, 3].
Landing is the most safety-critical phase of flight. Classic and commonly used landing approach procedures due to the need to ensure safety are carried out using a straight-line flight path of the approach to landing with a strictly defined angle of the flight path (usually 3°). Adopting a different trajectory than the standard one is used very rarely and only due to the exceptional topographic conditions of the airport location. The use of a straightforward approach ensures transparency of the situation for both the pilot and air traffic control (ATC) and facilitates the provision of mutual separation between aircraft. For the aircraft control process, the adoption of a straight-line trajectory allows you to obtain the time necessary to stabilise the aircraft before landing. A significant correction of the flight path during the final approach is required only in the event of disturbances resulting from the changing state of the atmosphere.
Despite the above advantages of a straight-line landing process, there remains a fundamental disadvantage caused by the need to provide a large, possibly flat area around the airport. In addition, the noise caused by landing aircraft makes it difficult to use the areas adjacent to the airport [4] Hence, the concept of implementing a curvilinear approach in lateral motion appears in the literature [4–6]. The most common configuration is to use a spiral as a height-reduction phase and the final short straight section. It is also a proposal for an emergency non-linear approach procedure in the event of an engine failure [7]. However, another idea has been recently proposed that the airport itself should have the shape of a circle [8]. For such a shape of the runway, the entire approach could be carried out using a helix trajectory.
Increasingly, there is also the problem of including unmanned aerial vehicles in air traffic [9] and the first UAV landing at a civil airport was in 2020 [10]. The use of a curvilinear approach to landing could result in the possibility of landing unmanned aerial vehicles in difficult terrain. The systems envisaged as the basic navigation devices for automatic landing are satellite navigation systems supported mainly by ground based augmentation system (GBAS) assistance. But it is also possible that an automatic approach in visual conditions can use an image of the airport to measure the relative position of the aircraft in relation to the runway [11, 12].
Currently, the used automatic control systems allow for precise implementation of many, even very complex, flight trajectories. During manual control, it is very difficult to achieve high repeatability of the manoeuvres performed. A solution to reduce the impact of the airport on the neighbouring area may be landing on a helical trajectory. Such a solution is much more complicated from the point of view of control than the classic one using a straight flight. To perform a flight landing in a circle with continuous deceleration, it is necessary to use an automatic control system that would ensure the necessary precision of maintaining the demanded trajectory, in particular to ensure the necessary separation between aircraft when performing landing operations on the curvilinear path.
The presented work, after the analysis of the curvilinear approach and the comparison with the standard approach, indicates the need to develop an effective control system for the implementation of the new procedure. The article presents the landing procedure, the general structure of the control system and the results of simulation tests. An aircraft model reflecting the key properties of the actual aircraft in flight and in ground movement is used in this simulation study to determine where the difficulties of the new procedure exist.
The developed control system implements the control process in a multi-layer structure. This structure is similar to that previously used by the authors in the standard automatic control approach [13]. The outer layer is an overarching decision-making system that determines the parameters of subsequent segments of the approach trajectory and assesses the correctness of the flight implementation. The inner layers consist of controllers that stabilise the flight speed, the position on the trajectory and the attitude position of the aircraft. The main system defines the structure in which the controllers work and their characteristics in accordance with the control requirements in each phase of the flight.
Due to the properties of the aircraft as a controlled object, the influence of control signals on the position relative to the trajectory is achieved indirectly through its attitude and speed. Hence, when implementing the control, it is necessary to determine the values of state variables that ensure that the aircraft flies along the assumed trajectory. These values can be achieved due to the action of regulators, but this is associated with a long stabilisation time. It is also possible to calculate them directly using the parameters of the trajectory and model of the aircraft movement, such as those presented in [14]. However, it should be noted that these values can be determined analytically for specific conditions, including constant disturbances and an accurate analytical model of the controlled object. Any inaccuracies result in an error, which requires corrective action by the relevant regulator. Hence, only a part of the analytical dependencies was used in the presented control system. Due to the construction of the simulation model and the wide range of operating conditions (shown in the tests), the full analytical model of the aircraft was not determined, which made it impossible to use the non-linear dynamic inversion method, as it was used in the studies [14, 15]. Instead, the appropriate manoeuvres are used as a touchdown, similar to [16] and the same as previously used in the rectilinear approach [17].
The whole landing consists of approach phases, touchdown manoeuvre and on- runway deceleration. The main goal of an aircraft approach is to obtain proper position, i.e. in the aiming area (AA) on the runway, when aircraft airspeed, vertical speed and roll angle are in the acceptable ranges just before touchdown.
The standard approach in aviation consists of several phases, but typically all of them are realised on the same linear trajectory. The distinguished segments of the standard approach (initial, intermediate and final) are defined by the start and ending conditions. The initial approach segment is intended to achieve the intermediate segment from the initial approach fix or by standard manoeuvres. At the intermediate segment, aircraft should be adjusted to prepare the final approach, which starts at the final approach fix or the final approach point. In the standard approach [18], three approach segments are distinguished (Fig. 1) for the purpose of achieving a steady flight condition, which reduces the pilot’s workload, making it possible to use the pilot’s mental resources for additional tasks like communication with ATC and for monitoring aircraft, its equipment and also its surroundings. Linear trajectory and steady flight conditions make effortless monitoring if the aircraft state is proper. Additionally, the use of trimming does not involve the necessity for manually holding control devices at the required position.

Standard fixed wing aircraft approach
Sometimes before touchdown, defined by height over ground, which is referred to as the decision height, the pilot takes a final decision if the landing continuation is safe. If not, the missed approach procedure is initiated. The length of this segment is from 6 km to 19 km, depending on the kind of the approach and the airfield conditions.
Only in specific situations, like in the case of high obstacles in the direction of the runway, the approach consists of two or more linear segments and turns, connected in such a way as to avoid obstacles.
The linear trajectory has an advantage under constant wind conditions. The steady flight in the wind can be achieved early, both when controlled by a pilot and during automatic landing. Lateral non-linearities make the disturbance unsteady and continuous compensation control is necessary. In the case of circling, the wind influence changes smoothly back and forth among headwind, side-winds and backwind. Although when someone believes the possibility to land directly from the helix trajectory on the circular runway, the difficulties of continuous wind compensation pose a heavy challenge.
The helix segment is a different part of the approach with circling. After this segment, the linear final approach segment is similar to this in the standard procedure. Its length is mainly determined by safety considerations. The time before touchdown should be long enough to achieve a steady and deterministic state before the decision point (DP). The repeatability and robustness of control, and also the effectiveness of disturbance rejection, are crucial for the possibility of this segment’s shortening. On the other hand, its length determines the distance of the helix from the airfield (see Fig. 3). It looks rather unpractical to have aircraft circling just above the runway.
It should also be noticed that the helix size depends on the aircraft class [16]. The simple Eq. (1) of the steady conditions for the proper turn (Fig. 2) describes dependence of the circling radius on the velocity v (ground speed) assuming bank angle on the limit φmax.

Airplane in a steady-state turn
The trajectory considered in this paper is designed for small aircraft (class A [18]). Considering limitations of roll angle, bigger and faster aircraft need a greater radius and also more time to stabilise the state on the line final approach segment. The endeavour to satisfy these needs would, however, result in the emergence of differences in the approach trajectory depending on the aircraft class; and the solution to this difficulty is presented in Ref. [5], where two helix segments are presented, one for small and the second for large aircraft, before the final approach line [5]. But in addition, the entry point for small aircraft is located closer to the runway, which shortens the section of the final approach.
The proposed landing procedure consists of the following phases (Fig. 3):
1 – flight directed into the helix trajectory inlet,
2 – stabilisation of the flight on the trajectory,
3 – circling with a constant descend determined by trajectory geometry,
4 – stabilising the straight-line flight around the connection point
5 – straight-line flight into the DP,
6 – (a) continuation of landing or (b) missed approach and go-around procedure,
7 – aircraft levelling and touchdown,
8 – stabilisation of the motion on the runway and braking

Landing phases (A) top view, (B) side view. AA, aiming area; AP, aiming point; DP, decision point.
The trajectory in the two projections is presented in Fig. 3. The slope of the final section was adopted as in the standard approach procedure, i.e. 3°. However, when determining the slope of the helix, a larger angle of inclination (γ) was assumed. The properties of fixed wing aircraft is that, during circling, the aircraft with non-zero roll angle requires a higher value of the lift coefficient CL2 to obtain a steady state when comparing to that necessary for a straight-line flight CL1. It is analytically shown in formulas (2) and (3), as the lift force FL should be equal to the aircraft weight and the same airspeed is assumed.
Hence, after a roll angle change at the transition between the sections of the trajectory, there will be a natural tendency to reduce the flightpath slope. Changing the trajectory becomes a disturbance that the controller would have to compensate.
Another property, vertical distance between successive turns, is important for separation of the approaching aircraft. For the assumed circling radius of 500 m, this distance is 165 m for a 3° flight slope but 220 m for 4°. With a standard vertical separation of 1,000 ft (305 m), the second value gives a separation of about 1.5 turns. This means subsequent planes are on opposite sides of the helix in the traffic. It seems to be more beneficial than the circulation of aircraft almost above each other, as it would happen with a trajectory slope of 3°.
The linear final approach section has length 1,000 m. Although it is assumed that the aircraft should achieve a steady state, the length of this section moves the helix outside the runway. In the case of the missed approach, the landing traffic does not interfere with the aircraft in the go-around state.
The DP is distinguished on the linear section. Its location is determined as adopted in aviation by the height above the threshold of the runway. The value of the decision height for the tested aircraft was determined as such as the altitude for which the aircraft, after deciding to abort the landing and activating the missing approach procedure, performs this procedure with the assumed ground separation.
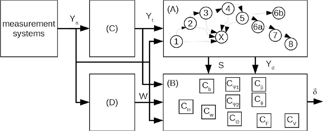
The control system consists of two main parts (as presented in the Fig. 4):
the master controller, and
the reconfigurable control system composed of regulators.

General structure of the aircraft landing control system
Besides control, the state analysis is used to determine the possibility to continue the landing procedure. In the case of a negative decision, the control system changes its state to X. It means abortion of landing. Some initial operations in such a case are implemented, but the details of the missed approach procedure are beyond this work.
Master controller is a state machine that determines the actual phase of the approach. The decision is made by comparison of the actual state variables with decision parameters and constraint values. The structure of regulators and mode of operation are determined according to the phase of flight. The main difference observed with respect to the control method is not only an effect of the differing in-the-air and on-the-ground aircraft behaviours (the two versions of the course controller are depicted as Cψ1 and Cψ2), but also the differences of the operation that are a result of the used straight lines and helix segments. Also, the transition from the air onto the ground is realised by different modes of operations; it is flare manoeuvre. Its realisation is mainly programmed as a command sequence.
An additional part of the control system is an estimator of the wind (D). The estimated wind components are used in the control system for compensation of the disturbance caused by wind. As the measurement systems do not necessarily deliver such quantities as the deviation from the demanded trajectory directly, such quantities are computed from another data by estimator (C).
The data transmitted among system components are as following: Ya – measured variable of the aircraft state, Yt – variables necessary to control the flight along the trajectory (as actual position, vertical and horizontal deviation), W – wind parameters, S – actual state, Yd – values of the same variables in the predicted steady state on the trajectory being initial demanded values of controllers.
Numerical simulation is a method used for the purpose of verifying the properties of the proposed method of the approach control. The real aircraft gives the data for the model, which makes it possible to implement control algorithms in the hardware control system. The information about the aircraft has been presented in the previous publications [13, 20, 21].
The test environment was designed to make all the state and control variables accessible, but for the purpose of the subject, some of them have been recorded and their values during the approach and on the ground are presented in the following sections. For the purpose of evaluating the acceptability of the landing, particular variables are tested if their values are within the limits. The touchdown should be inside the AA, which is the area inside the runway borderlines with beginning from threshold and the length short enough to be possible aircraft braking within remaining runway. But the direction of the aircraft motion not in accordance with the direction of the runway may prevent the aircraft from being kept on the runway during further motion. Also, the aircraft tilt may cause difficulty to control the behaviour and, in the extreme condition, cause wing contact with the ground and circling. Another factor is a result of the limited strength of the aircraft structure. The forces on the wheels are indicators of the loads of particular parts of suspension. Besides the value itself, the difference between the of normal forces of main wheels as the result of aircraft tilting but also of wind influence, may induce body turn and oscillations. So, the aircraft position and attitude and suspension forces are final indicators of the correctness of landing. However, the aircraft state during the approach shows the phase where the incorrectness appears.
A model of an aircraft motion reflecting the behaviour of the aircraft both in the flight phase and in the state when the wheels come into contact with the ground surface is required for simulation study of the control algorithms for the aircraft landing process. The linear model is insufficient for such task due to the wide range of conditions resulting from changes in airspeed, in particular flight close to the stall airspeed, changes in the trajectory inclination and changes of the roll angle. The reproduction of the behaviour of the aircraft by simulation shall also include the characteristics of the propulsion which is controlled in order to maintain the correct airspeed during the approach to landing. The contact of the aircraft wheels with the runway surface is important component of forces and torques influencing aircraft during the last phase of landing. Their impact can be decisive for the success of the landing by the limited strength of the landing gear and by the possible disturbance of the path of the ground motion and also influence on the attitude of the aircraft. Sufficiently realistic model is also necessary to verify the behaviour of the aircraft and to check the correctness of the controls during taxing.
During simulation, a non-linear model of the aircraft motion was used. This model was prepared using first principles of aerodynamics and mechanics with coefficients values identified and computed to be similar to the real aircraft. A general view of this model is presented in Fig. 5. This model includes:
- –
dynamics and kinematics (red),
- –
inertia (yellow),
- –
aerodynamics (blue),
- –
propulsion (orange), and
- –
suspension (green).

The image of the aircraft model of motion realised in Simulink.
The motion of the aircraft is computed by the dynamics and kinematics equation of the rigid body, using actual parameters from the inertia model. The aerodynamic, propulsion and suspension models compute forces and torques in the actual aircraft state. They are inputs into the dynamics.
Auxiliary models are used in addition to these as a source of additional variables necessary for computation and measurements similar to real aircraft avionics (e.g. actual air density, various speeds, position by ILS or GPS)
For the purpose of obtaining more realistic results of the simulation, models of actuators are inserted between the control system and aircraft inputs (control surfaces and throttle).
It should be noticed that the model of suspension is very important in the presented issue of the landing. Although many research works present methods of approach control [15, 16], the final validation of the approach should consider effects of the ground influence on the aircraft motion. The model of suspension was developed and presented in earlier works [20].
The landing trajectory used in the presented tests is composed of several segments. The initial segment is a straight line leading into the helix interception point. In Fig. 6, different trajectories (colour marked) are obtained depending on the initial position. The helix segment has 500 m radius and 4° steepness. The last linear segment has a length of 1,000 m and a steepness of 3°.

Approach trajectory with different initial states.
In the case of the missed approach, the implemented procedure consists of increasing the power of the engine and stabilising the course in the direction of the runway. The decision height determines when the assessment of approach validity takes place.
The presented results as trajectory use local coordinates consisting of:
H – height of the aircraft centre of gravity (CG) over the runway level,
b – side distance to the runway centreline,
l – component of the distance to the aiming point (AP) parallel to the runway centreline, where plus means the aircraft before AP, and minus after the AP.
For the purpose of comparing results of different flight conditions, the time 0 is set at the DP, which means always the same height at the time zero.
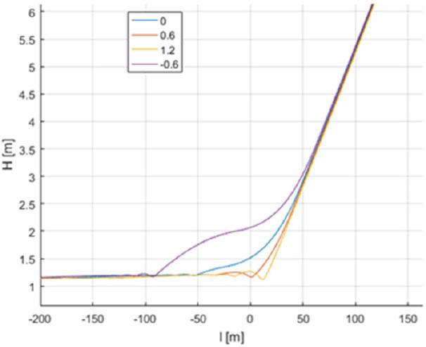
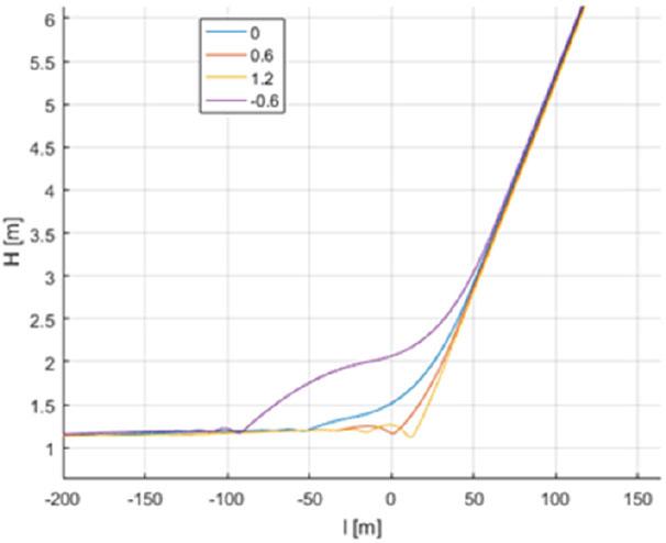
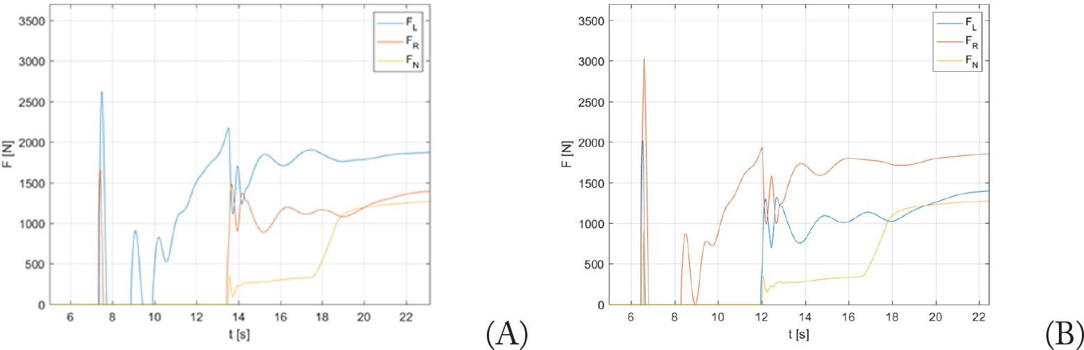
To illustrate the operation of the control system and the influence of selected parameters on the resulting trajectory, simulated test flights were conducted. As the last phase before touchdown is the aircraft flare manoeuvre, initiated at the appropriate altitude, the influence of this altitude change was tested. The aircraft height versus distance to the AP is presented in Fig. 7. The wheel normal forces (L – left, R – right, N – nose), being indicators of the landing quality, are presented in Fig. 8.

Aircraft CG height during landing (0 – proper flare, 0.6, 1.2 – delayed flare initialisation, height deviation 0.6 m and 1.2 m appropriately, -0.6 – too early flare initialisation, height deviation −0.6 m). CG, centre of gravity.

Wheel normal forces during landing (A) proper flare, (B) delayed flare (0.6 m), (C) delayed flare (1.2 m), (D) early flare (-0.6 m).
The force functions reflect the control algorithm in which the landing on the main landing gear is assumed and the braking starts 10 s after detecting the contact of the wheels with the ground. The braking force through the torque increases the front wheel loading, lightly decreasing the main wheels loading.
The delayed flare shortens the time to the first ground touch and this appears before AP. Too early a flare decreases the rate of descent, and the aircraft is longer in the air after the DP. It takes additional length of the runway, about 90 m after AP, for the first ground touch compared to the 50 m in the proper flare.
Seventh tests with different conditions was conducted. In the first five cases, the full functionality of the control system was tested, which means that the wind estimator was active. The compensation of the wind by pure regulators is tested in the last two cases. The wind components and information pertaining to whether the wind estimator was active are included in Table 1.
Test cases.
| Test case | Side wind [m/s] | Head wind [m/s] | Wind estimator | Comment | |
|---|---|---|---|---|---|
| (0, 0) | No | No | Yes | Active but unnecessary | |
| (0, 7) | 7 | 0 | Yes | ||
| (0,−7) | −7 | 0 | Yes | ||
| (7, 0) | 0 | 7 | Yes | Head wind decrease GS on approach last segment | |
| (−5,0) | 0 | −5 | Yes | Back wind increases GS on approach last segment | |
| (0, 7*) | 7 | 0 | No | Inactive wind estimator causes no prediction of wind effect in control algorithm | |
| (0, −7*) | −7 | 0 | No | ||
without wind estimation
The proposed approach trajectory makes it possible to fly in the helix from various directions and at a selected level. In the tests, several starting points are selected for the purpose to prove proper realisation of the first phase of the approach. Contrary to the preliminary controller presented in the [21], the final version is designed to lead aircraft straight along the line into the helix interception point (HI, Fig. 3), which is selected according to the initial position.
For the purpose to make easier comparison of the results, the time scaling is adopted in a way that the value of 0 corresponds to the DP. The geometrical quantities are referenced to the position of the AP and the reference frame is determined by the runway direction. They are height over ground: H, distance to the AP in the direction of the runway: l and side deviation from the centreline of the runway: b.
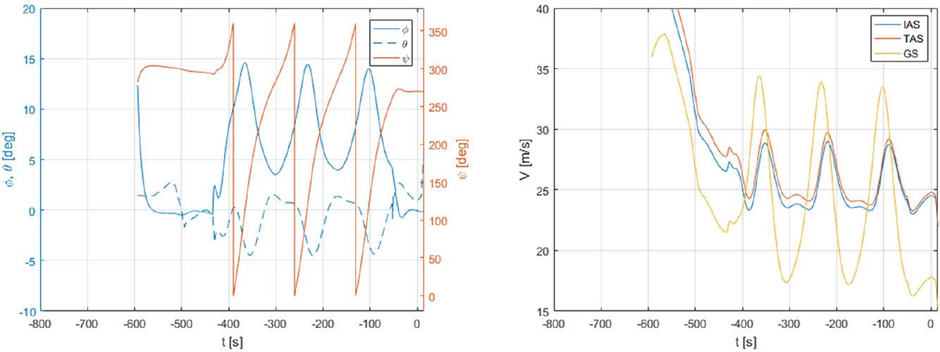
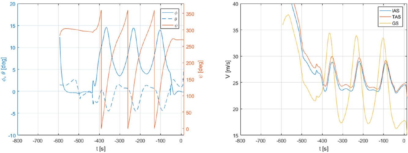
The wind influence changes the flight state. Presented in Fig. 9, the pitch and bank angle and ground speed and indicated air speed show a wide range of the state changes wherein the control system should stabilise the aircraft trajectory and preserve the airspeed (IAS) in the safe range.

Aircraft attitude (left) and velocity (right): case (7, 0).
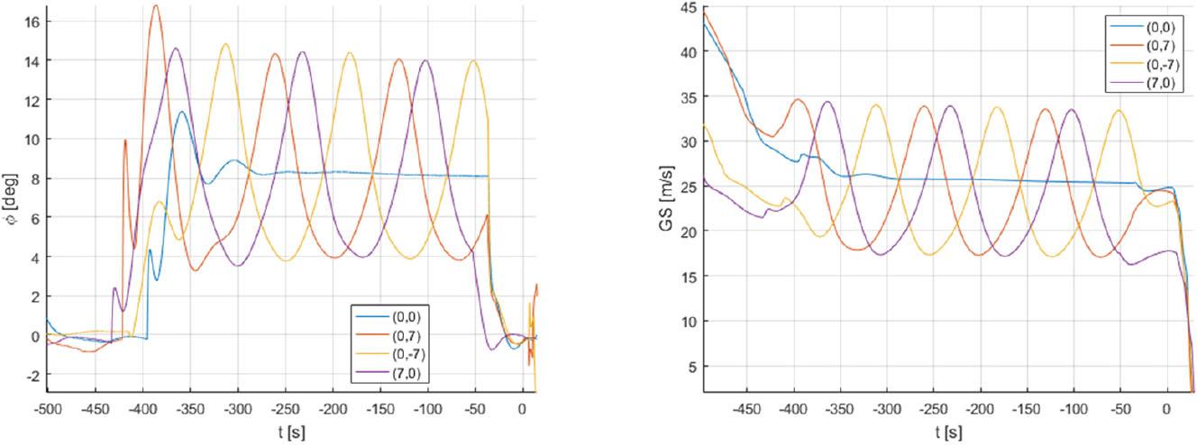
Depending on the wind direction, the changes appear at different times (Fig. 10). The most important is the difference between the actual state and the demanded state for the straight line (phase 4). The difference of the bank angle and the ground speed depends on the wind direction.

Aircraft bank angle (left) and ground velocity (right): cases as in Table 1 comparison.
Besides three cases, one with the back wind (-5, 0) and two without wind estimation (signed by *), the landing was successful. The lack of wind estimation causes large deviations during the fourth phase (Fig. 12). The length of the last approach segment is too short for state stabilisation in this case. However the prediction of the wind makes it possible to activate control action before the disturbance appears. The obtained successful trajectories are similar to those obtained in steady air.
The wind parallel to the runway influences the ground speed. The indicated air speed value should be over stall speed. The head wind decreases GS and as an effect, for the demanded trajectory slope, decreases the rate of descent. It exerts an influence after flare behaviour, and the trajectory is similar to the too fast-flare (Figs. 7 and 11). An increase of GS due to the back wind shortens the time for aircraft state stabilisation, and it becomes unsuccessful. The missed approach procedure is activated in all these unsuccess full cases.

Aircraft CG height during landing (condition as in Table 1). CG, centre of gravity.

Horizontal view of the aircraft trajectories.
As for steady air, suspension forces are the final indicators of proper landing. These forces are presented in Fig. 13. It is shown that the side-wind causes a difference between the main wheel forces according to the reaction on the aerodynamic side force. Although the initial ground touch is almost symmetrical, the on the outside of the wind stay on the ground 5 s before second wheel touches ground again.

Wheel normal forces during landing with side wind. (A) – right side wind, (B) – left side wind
The delayed flare presented in Fig. 14 differs mainly by the first touch and jump.

Wheel normal forces during landing with side wind with delayed flare.
(A) – right side wind, (B) – left side wind
The article shows how to control the aircraft during the curvilinear approach to landing. The curvilinear approach allows one to reduce the impact of the airport on neighbouring areas. This is related to the limitation of low-altitude flight to the area directly adjacent to the airport. In addition, by eliminating the need to fly straight starting a few miles from the runway threshold, fuel and landing time savings can be achieved. According to the presented research results, it is possible to implement the curvilinear approach even with the significant influence of wind. The curvilinear approach, however, requires automatic control or manual control assisted by a prescriptive indicator. Particular attention should be paid to the problem of traffic control related to ensuring the safety-required separation of aircraft.
From the examples shown, it can be concluded that the issue of a helical approach to landing is possible for automatic control.
The proposal presented in the article to solve the problem raises only the basic issues related to the implementation of the curvilinear trajectory of the approach to landing. The presented tests consider only selected issues occurring in real conditions. Full commercial implementation of the curvilinear landing support system requires many additional tests in both simulation and real environments. One often is influence on ATC operation.