Figure 1

Original and translated I/D-YC items
| Item | Swedish translation | English translation |
|---|---|---|
| Q1 | Mitt barn har roligt när hen lär sig om nya teman, ämnen och saker. | My child has fun learning about new topics and subjects |
| Q3 | Mitt barn lockas av och är intresserat av nya saker och föremål i hens miljö. | My child enjoys talking about topics that are new to him/her |
| Q5 | Mitt barn tycker om att prata om sådana ämnen som är helt nya för hen | My child enjoys talking about topics that are new to him/her |
| Q7 | Mitt barn visar tydlig uppskattning och glädje när hen upptäcker något nytt | My child shows visible enjoyment when discovering something new |
| Q9 | När mitt barn lär sig något nytt ställer hen många frågor om det | When my child is learning something new, he/she asks many questions about it |
| Q2 | När mitt barn får ett svårt problem, fokuserar mitt barn all sin uppmärksamhet på hur hen kan lösa problemet | When presented with a tough problem my child focuses all of his/her attention on how to solve it |
| Q4 | Mitt barn lägger betydande energi på att förstå saker som är förvirrande eller oklara | My child devotes considerable effort trying to figure out things that are confusing or unclear |
| Q6 | Mitt barn blir besvärat när hen inte förstår något och försöker då intensivt att göra det begripligt och förståeligt | My child is bothered when he/she does not understand something, and tries hard to make sense of it |
| Q8 | Mitt barn kommer att arbeta länge för att lösa ett problem därför att hen vill veta svaret | My child will work for a long time to solve a problem because he/she wants to know the answer |
| Q10 | Mitt barn tittar noga på saker och undersöker dem genom att vrida och vända på dem och titta på dem från olika håll. | My child carefully examines thing by turning them around or looking at them from all sides |
Means, Standard Deviations, Internal Consistency Reliability Indexes based on Pearson correlations, and Polychoric Correlations Among Curiosity Items
| Sub Scale | M | SD | α | 95% CI α | M Inter Item r | M CIT | Q1 | Q3 | Q5 | Q7 | Q9 | Q2 | Q4 | Q6 | Q8 | Q10 | |
|---|---|---|---|---|---|---|---|---|---|---|---|---|---|---|---|---|---|
| Q1 | 1 | ||||||||||||||||
| Q3 | 0.55 | 1 | |||||||||||||||
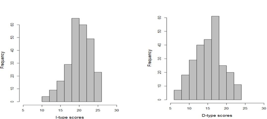
| I-type | 20.35 | 3.30 | 0.77 | 0.73-0.82 | 0.41 | 0.65 | Q5 | 0.43 | 0.49 | 1 | |||||||
| Q7 | 0.53 | 0.56 | 0.44 | 1 | |||||||||||||
| Q9 | 0.36 | 0.47 | 0.66 | 0.49 | 1 | ||||||||||||
| Q2 | 0.36 | 0.43 | 0.45 | 0.35 | 0.32 | 1 | |||||||||||
| Q4 | 0.35 | 0.44 | 0.56 | 0.43 | 0.41 | 0.50 | 1 | ||||||||||
| D-type | 15.83 | 3.93 | 0.76 | 0.71-0.81 | 0.39 | 0.64 | Q6 | 0.22 | 0.21 | 0.36 | 0.18 | 0.34 | 0.35 | 0.46 | 1 | ||
| Q8 | 0.31 | 0.28 | 0.52 | 0.34 | 0.52 | 0.59 | 0.49 | 0.47 | 1 | ||||||||
| Q10 | 0.24 | 0.38 | 0.43 | 0.41 | 0.56 | 0.37 | 0.36 | 0.34 | 0.50 | 1 | |||||||
| Total | 36.15 | 6.32 | 0.85 | 0.82-0.87 | 0.36 | 0.55 | |||||||||||
Goodness of fit indices for one and two-factor models
| One-factor model | Two factor model | Two factor modelA | Two factor modelB | ||
|---|---|---|---|---|---|
| Fit index | DWLS (robust) | DWLS (robust) | DWLS (robust) | DWLS (robust) | Thresholds |
| RMSEA | 0.122 | 0.112 | 0.116 | 0.108 | RMSEA < 0.06 |
| CFI | 0.931 | 0,943 | 0.943 | 0.949 | CFI ≥.95 |
| 𝜒2 (df) | 168.615(35)*** | 143.461(34)** | 147,64(33)*** | 130.942(33)*** | p < 0.05 |
| TLI | 0.911 | 0,925 | 0.922 | 0.931 | TLI ≥ 0.95 |
| SRMR | 0.076 | 0.069 | 0.068 | 0.065 | SRMR <0.08 |
| ECVI | 0.79 | 0.73 | 0.76 | 0.69 | Lower is better |