Figure 1.

Figure 2.

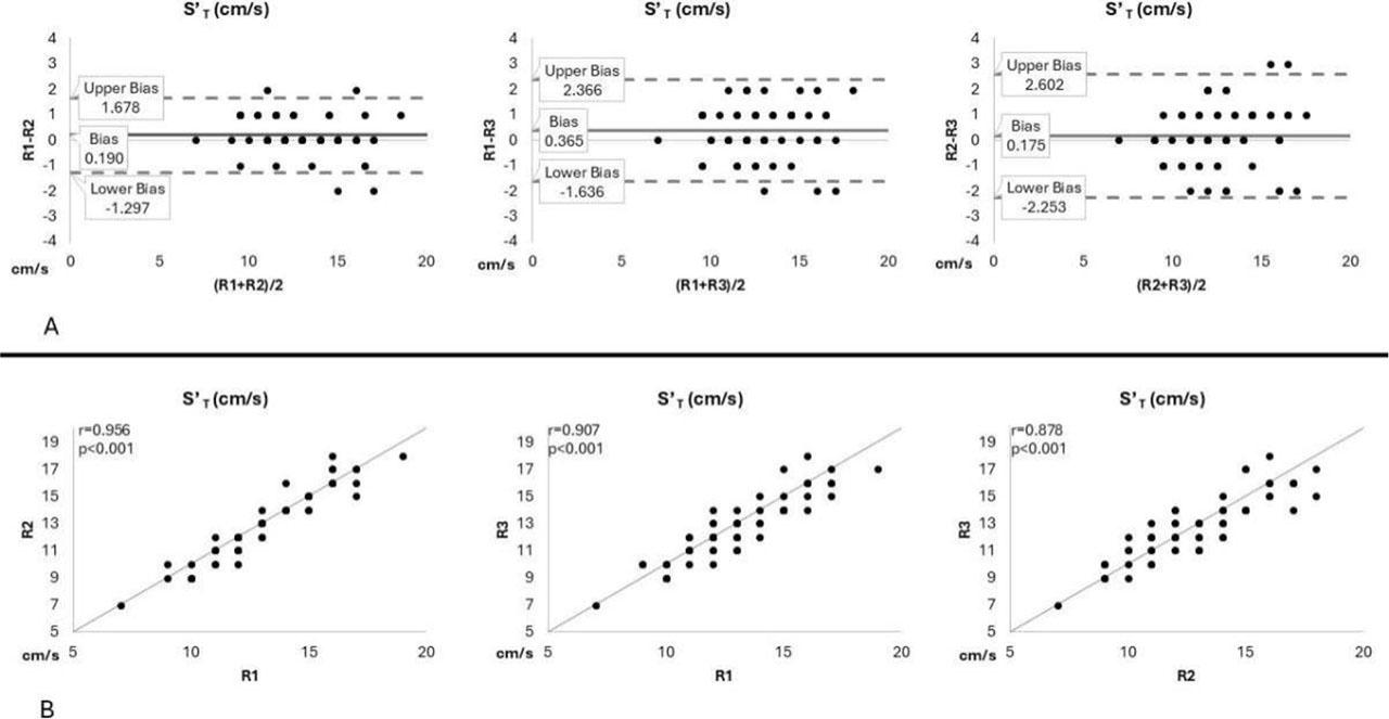
Figure 3.

Figure 4.

Interobserver variability and agreement between echocardiographers with different levels of experience for TAPSE, S’t, FAC, and 3D RVEF_
| R1 vs R2 | TAPSE | S’ | FAC | 3D RVEF |
| Bias (95% CI) | 0.24 (−0.08:0.55) | 0.19 (0.0;0.38) | 0.36 (−0.3;1.02) | −0.02 (−0.64;0.6) |
| Lower LOA (95% CI) | −2.27 (−2.82; −2.27) | −1.3 (−1.62;−1.3) | −4.9 (−6.05;−4.9) | −4.96 (−6.03;−4.96) |
| Upper LOA (95% CI) | 2.75 (2.20;3.29) | 1.68 (1.35;2.0) | 5.62 (4.47;6.77) | 4.91 (3.84;5.99) |
| R1 vs R3 | TAPSE | S’ | FAC | 3D RVEF |
| Bias (95% CI) | 0.38 (0.09;0.67) | 0.36 (0.11;0.62) | 0.09 (−0.73;0.91) | −0.38 (−1.15;0.39) |
| Lower LOA (95% CI) | −1.94 (−2.45;−1.94) | −1.64 (−2.07;−1.64) | −6.44 (−7.86;−6.44) | −6.48 (−7.81;6.48) |
| Upper LOA (95% CI) | 2.7 (2.19;3.21) | 2.37 (1.93;2.80) | 6.62 (5.19;8.04) | 5.72 (4.39;7.05) |
| R2 vs R3 | TAPSE | S’ | FAC | 3D RVEF |
| Bias (95% CI) | 0.14 (−0.17;0.46) | 0.17 (−0.13;0.48) | −0.27 (−1.25;0.71) | 0.36 (−1.01;0.3) |
| Lower LOA (95% CI) | −2.37 (−2.92;−2.37) | −2.25 (−2.78;−2.25) | −8.07 (−9.77;−8.07) | −5.57 (−6.7;−5.57) |
| Upper LOA (95% CI) | 2.65 (2.11;3.2) | 2.60 (2.07;3.13) | 7.53 (5.83;9.23) | 4.85 (3.72;5.99) |
| ICC (95% CI) | 0.977 (0.965–0.985) | 0.967 (0.95–0.98) | 0.98 (0.97–0.99) | 0.98 (0.97–0.99) |
Demographic and Clinical Characteristics_
| 20 | Total (n=63) |
|---|