Figure 1

Figure 2

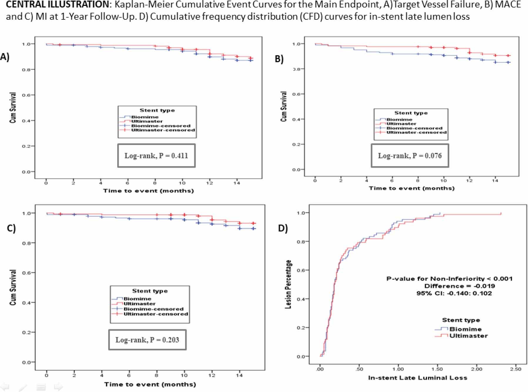
Figure 3

Procedural quantitative measures at baseline, immediately post procedure, and at follow up in Biomime and Ultimaster groups_
| Biomime (n=183) | Ultimaster (n=166) | Diff and (95%CI) | P | ||
|---|---|---|---|---|---|
| Baseline | RVD | 2.79±0.4 | 2.76±0.5 | 0.03 (-0.05–0.05) | 0.599 |
| MLD | 0.79±0.23 | 0.76±0.26 | 0.03 (-0.02–0.09) | 0.186 | |
| DS | 71.03±8.2 | 72.33±8.6 | -1.3 (-3.07–0.48) | 0.151 | |
| Immediately post procedure | |||||
| RVD | 3.21±0.4 | 3.14±0.46 | 0.06 (-0.03–0.15) | 0.166 | |
| MLD | In-stent | 2.57±0.4 | 2.55±0.5 | 0.02 (-0.07–0.12) | 0.653 |
| In-segment | 2.32±0.4 | 2.33±0.5 | -0.01 (-0.11–0.08) | 0.817 | |
| DS | In-stent | 19.77±7.7 | 19.10±9.6 | 0.67 (-1.15–2.49) | 0.470 |
| In-segment | 27.80±7.9 | 26.21±9.9 | 1.59 (-0.29–3.47) | 0.096 | |
| Acute gain | In-stent | 1.78±0.4 | 1.79±0.5 | -0.01 (-0.1–0.08) | 0.796 |
| In-segment | 1.52±0.4 | 1.57±0.5 | -0.05 (-0.14–0.05) | 0.346 | |
| N = 84 | N = 78 | ||||
| Follow-Up | |||||
| RVD | 3.04±0.4 | 3.05±0.4 | -0.01(-0.13–0.12) | 0.940 | |
| MLD | In-stent | 2.24±0.6 | 2.28±0.7 | -0.04 (-0.24–0.16) | 0.685 |
| In-segment | 2.02±0.6 | 2.08±0.6 | -0.06 (-0.25–0.14) | 0.549 | |
| DS | In-stent | 27.5±4.6 | 25.7±16.6 | 1.76 (-3.09–6.36) | 0.473 |
| In-segment | 34.8±14.9 | 32.1±15.9 | 2.77 (-2.13–7.48) | 0.273 | |
| LLL | In-stent | 0.34±0.4 | 0.36±0.4 | -0.02 (-0.14–0.10) | 0.756 |
| In-segment | 0.31±0.4 | 0.35±0.4 | 0.01 (-0.14–0.10) | 0.876 | |
| Re-stenosis | 14 (16.7%) | 11 (14.3%) | 1.154 (0.529–2.47) | 0.677 | |
Baseline lesion and procedural characteristics of Biomime and Ultimaster groups
| Biomime (N=183) | Ultimaster (N=166) | P | ||
|---|---|---|---|---|
| Number of diseased vessels | One | 122 (67.0%) | 99 (59.0%) | 0.208 |
| Two | 36 (20.0%) | 46 (28.0%) | ||
| Three | 25 (13.0%) | 21 (13.0%) | ||
| Infarcted related artery | LAD | 93 (50.8%) | 99 (59.6%) | 0.155 |
| LCx | 13 (7.1%) | 19 (11.4%) | ||
| RCA | 68 (37.2%) | 39 (23.5%) | ||
| Diagonal | 1 (0.5%) | 2 (1.2%) | ||
| OM | 4 (2.2%) | 2 (1.2%) | ||
| PDA | 2 (1.1%) | 3 (1.8%) | ||
| Ramus | 2 (1.1%) | 2 (1.2%) | ||
| Site of occlusion | Proximal | 118 (64.5%) | 106 (63.9%) | 0.650 |
| Mid | 56 (30.6%) | 48 (28.9%) | ||
| Distal | 9 (4.9%) | 12 (7.2%) | ||
| Baseline TIMI flow | 0 | 161 (88.0%) | 128 (77.1%) | 0.062 |
| I | 14 (7.7%) | 24 (14.5%) | ||
| II | 4 (2.2%) | 6 (3.6%) | ||
| III | 4 (2.2%) | 8 (4.8%) | ||
| Post procedure TIMI flow | 0 | 1 (0.5%) | 0 (0.0%) | 0.136 |
| I | 5 (2.7%) | 0 (0.0%) | ||
| II | 13 (7.1%) | 12 (7.2%) | ||
| III | 164(89.6%) | 154(92.8%) | ||
| Pre-dilatation | 121 (66.1%) | 129 (77.7%) | 0.016* | |
| Post-dilatation | 36 (19.7%) | 27 (16.3%) | 0.409 | |
| Stent length (mm) | 31.7±7.7 | 28.5±6.9 | <0.001* | |
| Stent diameter (mm) | 3.3±0.4 | 3.2±0.5 | 0.203 | |
| Stent diameter (mm) | 2.25 | 1 (1.0%) | 1 (1.0%) | <0.001* |
| 2.5 | 2 (1.0%) | 10 (6.0%) | ||
| 2.75 | 16 (9.0%) | 37 (22.0%) | ||
| 3.00 | 79 (42.0%) | 45 (27.0%) | ||
| 3.5 | 69 (38.0%) | 52 (31.0%) | ||
| 4.00 | 16 (9.0%) | 21 (13.0%) | ||
| Max. inflation (atm) | 15.2±2.5 | 14.9±2.4 | 0.281 | |
Clinical endpoints at 30 days and at 12 months in Biomime and Ultimaster groups_
| Biomime (n =183) | Ultimaster (n =166) | P | |
|---|---|---|---|
| 30 days | |||
| All-cause death | 1 (0.5%) | 0 (0.0%) | 0.340 |
| All MI | 2 (1.1%) | 1 (0.6%) | 0.620 |
| Stroke | 0 (0.0%) | 1 (0.6%) | 0.293 |
| Major bleeding | 0 (0.0%) | 0 (0.0%) | ----- |
| Definite stent thrombosis | 2 (1.1%) | 1 (0.6%) | 0.620 |
| Composite (all-cause death, re-MI, stroke, major bleeding, definite ST) | 3 (1.6%) | 2 (1.2%) | 0.733 |
| One year | |||
| All cause death | 5 (2.7%) | 0 (0.0%) | 0.032 |
| Cardiac death | 1 (0.5%) | 0 (0.0%) | 0.340 |
| Undetermined death | 4 (2.2%) | 0 (0.0%) | 0.055 |
| Definite ST | 8 (4.4%) | 3 (1.8%) | 0.171 |
| MI not clearly attributable to a non-target vessel | 4 (2.2%) | 3 (1.8%) | 0.558 |
| Major bleeding | 0 (0.0%) | 1 (0.6%) | 0.293 |
| Heart failure | 4 (2.2%) | 1 (0.6%) | 0.214 |
| CD-TLR | 9 (4.9%) | 9 (5.4%) | 0.832 |
| C-TVR (including CD-TLR) | 9 (4.9%) | 9 (5.4%) | 0.832 |
| Total MACE | 30 (16.39%) | 18 (10.48%) | 0.133 |
| Target Vessel failure | 20 (10.9%) | 14 (8.4%) | 0.432 |
Baseline characteristics, ECG, ECHO, and laboratory findings in Biomime and Ultimaster groups
| Biomime (N=183) | Ultimaster (N=166) | P | ||
|---|---|---|---|---|
| Age (years) | 57±11 | 56±11 | 0.390 | |
| Sex | Male | 137(74.9%) | 130 (78.3%) | 0.448 |
| DM | 53 (29.0%) | 60 (36.1%) | 0.152 | |
| HTN | 49 (26.8%) | 55 (33.1%) | 0.195 | |
| Smoking | 101(55.2%) | 86 (51.8%) | 0.527 | |
| Dyslipidemia | 131(71.6%) | 115 (69.3%) | 0.637 | |
| Total ischemic time (hours) | 5.6±3.8 | 5.4±3.1 | 0.600 | |
| Door to balloon (min) | 36±12 | 38±11 | 0.233 | |
| P2Y12 inhibitors | Ticalgrelor | 170 (92.9%) | 161(97.0%) | 0.084 |
| Clopidogrel | 137 (7.1%) | 5 (3.0%) | ||
| GPIIbIIIa inhibitors | 49 (26.8%) | 36 (21.7%) | 0.269 | |
| Site of infarction | Anterior | 95 (51.9%) | 97 (58.4%) | 0.295 |
| Inferior | 60 (32.8%) | 42 (25.3%) | ||
| Inferoright | 14 (7.7%) | 7 (4.2%) | ||
| Inferolateral | 2 (1.1%) | 5 (3.0%) | ||
| Infero-posterior | 8 (4.4%) | 8 (4.8%) | ||
| Posterior | 2 (1.1%) | 2 (1.2%) | ||
| Lateral | 2 (1.1%) | 5 (3.0%) | ||
| ST resolution | 132 (72.1%) | 121 (72.9%) | 0.874 | |
| In-hospital arrhythmias | VT | 1 (0.5%) | 2 (1.2%) | 0.338 |
| VF | 4 (2.2%) | 1 (0.6%) | ||
| AF | 5 (2.7%) | 3 (1.8%) | ||
| Junctional | 1 (0.5%) | 0 (0.0%) | ||
| CHB | 5 (2.7%) | 1 (0.6%) | ||
| None | 167 (91.3%) | 159 (95.8%) | ||
| LVEF | 50±8 | 49±8 | 0.276 | |
| WMSI | 1.42 ±0.2 | 1.47±0.2 | 0.051 | |
| MR | 0 | 124 (67.8%) | 112 (67.5%) | 0.039* |
| I | 38 (20.8%) | 44 (26.5%) | ||
| II | 20 (10.9%) | 6 (3.7%) | ||
| III | 0 (0.0%) | 2 (1.2%) | ||
| IV | 1 (0.5%) | 2 (1.2%) | ||
| Troponin (ng/dl) | 22±22 | 20±19 | 0.450 | |