The hyporheic zone is an important link between groundwater and surface waters, mostly for river waters. According to Boano et al. (2014), as an intermediate element, the zone is worth investigating as much as the basic elements of the water cycle, that is, surface- or groundwater. The hyporheic zone is a part of the connection between the catchment and the river, soil water and the root zone water, riparian water, quick-flow and delayed flow, macropore flow and base flow (Bencala 2000). It is a transitional zone important for many key stream processes and organisms. Due to a large surface area of sediment grains in the streambed and a high activity of microbes living in the hyporheic zone, the zone plays a key role as being reactive, transforming pollutants and natural solutes as well as providing a habitat for benthic communities (Lewandowski et al. 2019).
Hyporheic flow is a transport of the river water through sediments along the flow paths returning to the riverbed (Harvey et al. 1996, Winter et al. 1998, Storey et al. 2003, Gooseff 2010, Tonina 2012). The paths in which water flow in the hyporheic zone can create a complex arrangement that is spatial and temporal. A wider look at the hyporheic flow reveals that local flow systems are nested into larger groundwater flow systems, whereas the latter are controlled by an atmospheric supply in the region (Toth 1963, Hayashi, Rosenberry 2002, Sophocleous 2002, Cardenas, Wilson 2007, Wörman, Wachniew 2007).
A hyporheic flow is usually differentiated from a groundwater flow as it is three-dimensional (3D). It is 3D in nature in relatively small scales, usually from centimetres to tens of metres. Whereas a groundwater flow between the zones of supply and drainage is unidirectional and is found on considerably longer distances (Boano et al. 2014).
When transported through river sediments, the hyporheic flow includes groundwater. According to Triska et al. (1989), the range of the hyporheic zone corresponds to the space around the riverbed in which at least 10%, yet not more than 90%, of the present water comes from the river. The size of the hyporheic zone depends on the range of the interaction between the surface water and groundwater, on porosity of riverbed sediments and morphology and the intensity of groundwater upwelling into the river flow (Dahm et al. 1998). An increase in water flow in a river generally increases the volume of the hyporheic zone, whereas an increase in the supply of groundwater reduces it (Cardenas, Wilson 2007).
The hyporheic exchange has a strong effect on the quality of surface waters and groundwater (Bestland et al. 2017). Substances transported by the river infiltrate into the sediments, and they are retained usually longer than average water transport in the riverbed (Boano et al. 2007). Also, for this reason the hyporheic exchange is important in many serious environmental and engineering problems, especially river renaturalisation (Boulton 2007, Kasahara et al. 2009) or identifying the functional properties of river ecosystems as well as for a better understanding of river environment ecology (Boulton et al. 2010).
In the literature on hydrology and hydrogeology, the processes of surface and groundwater exchange are referred to as infiltration and drainage (Pazdro, Kozerski 1990, Fetter 2001). On the contrary, in the literature of the hyporheic zone, the terms downwelling and upwelling (Tonina, Buffington 2007, Marzadri et al. 2016) are used for infiltration and drainage, respectively, which is accepted also in this article.
Different tools can be used to measure, analyse and predict the condition and changes in the hyporheic zone. Topographic maps and aerial photographs can reveal the current and historical riverbed course, typical vegetation and, therefore, indirectly the hyporheic zone outline. The methods of direct water stream measurement in the hyporheic zone employ seepage meters, mini-piezometers, sediment temperature profiling, heat flow meters, investigating the hydraulic properties of sediments, peepers and direct contact resistivity probes. Other methods use direct measurements of hydraulic pressure, electrolytic conductivity, temperature or electric conductivity, providing the grounds for calculating the flow of water exchanged in the hyporheic zone (Biksey, Gross 2001). To recognise the hydrochemical conditions at various depths under the riverbed, mini-piezometers are combined into nests (e.g., Battin et al. 2003, Stelzer et al. 2011, Zimmer, Lautz 2014, Malzone et al. 2016).
A gradientmeter developed by Marciniak and Chudziak (2015) was used to identify the water exchange in the hyporheic zone. This device was used by Grodzka-Łukaszewska et al. (2021) to identify the spatial distribution of hyporheic exchange in the cross-section of the Świder River (central Poland). The gradientmeter was also used by Grygoruk et al. (2021) to study the effect of hyporheic exchange on the composition and abundance of bottom-dwelling macroinvertebrates in the Biebrza River (NE Poland). The gradientmeter has proved to be a reliable instrument for measuring the directions of water exchange in the hyporheic zone. This possibility is crucial for studies of hyporheic exchange in lowland rivers (Allen et al. 2010).
The aim of this study is to evaluate two important factors of surface and groundwater exchange in the hyporheic zone: changes in the flow rate of water in the river and spatial variability of the hydraulic gradient in the bottom of the river. The tests with the use of a gradientmeter were carried out for:
- (a)
extremely low and extremely high water levels,
- (b)
a section of the natural riverbed and an artificial canal dug centuries ago (during the Middle Ages).
The Moszczenica, a 55-km-long third-order river, flows into the Bzura River on the northern slopes of the Łódź Hills. The river flows into the main stream on the Łowicko-Błońska Plain (Fig. 1). According to the river typology in Poland (Błachuta et al. 2010), the Moszczenica represents Poland's most frequent type of lowland sandy stream. It is represented by almost 1800 Surface Water Bodies (SWB) out of a total of 4504 identified. Such water body type shows a catchment area developed in periglacial plains; it is found in wide box valleys. The riverbed has a winding course, meandering, with rock riffles separated with long sections with a calm water stream.

Location of measuring stations.
1 – the river bed before the excavation; 2 – contemporary river bed; 3 – IMWM water gauge station (IMWM - Institute of Meteorology and Water Management); 4 – well; 5 – measuring cross-section; 6 – hypsometric section line (ortophotomap: Google Earth Pro).
In the Holocene (Boreal-Atlantic), in the middle course of the Moszczenica there occurred a meander runoff, as suggested by an approximately 100-m-wide meander alluvial bar zone. The Holocene valley bottom which is 100–300 m in width includes numerous paleomeanders with a longer abandoned section of the river. The nature of the Holocene runoff was evidently affected by Preboreal and Boreal intensive aeolian processes, which activated the nearby deposited Late Vistulian aeolian fields which, while entering the valley, partitioned it and blocked the river flow. It resulted in valley flooding and forced further river meandering (Kamiński 1993). The present shape of the middle Moszczenica River channel course covered by the research demonstrates a clear river winding and length reduction, which is much due to the human impact dating back to the 14th century. The construction of forges and mills resulted in an artificial river flow division into several channels and in a development of reservoirs, and thus an additional bottom sediment deposition before the weirs and the river's further incision into the sediments when the barriers were eliminated. Thus, the longitudinal profile of the middle Moszczenica section became irregular and straight channel sections are separated with strongly meandering deepened fragments with steep erosional banks. In the valley bottom, numerous former so-called dead channels have been preserved, which are today partially used for a fish farming reservoir construction.
The Moszczenica River catchment area is 519 km2 (Czarnecka 2005), and it is very diverse in terms of morphology. The topographic watershed runs through the highest point of the Łódź Hills, the Dąbrowa Hill, at a height of 284 m a.s.l., whereas the mouth of the Moszczenica River to the Bzura River is found at 95 m a.s.l. The Moszczenica catchment represents the upland type, with the riverbed slope of 2–5‰, and the catchment slope of 5–20‰ (Szczepański 1995). Substantial height differences, combined with a northern and north-western exposure, led to the development of a strong precipitation gradient of approximately 70 mm P/100 m H (Dubaniewicz 1974). The morphological, geological and climate conditions contribute to an evident variation of the Moszczenica catchment in terms of runoff and its components (Table 1).
Hydrological variation in the Moszczenica catchment (based on Jokiel 2004).
| Section of Moszczenica | Total runoff | Groundwater runoff | Share of groundwater runoff in the total runoff | Specific total runoff | Specific groundwater runoff | Share of specific groundwater runoff in the specific total runoff |
|---|---|---|---|---|---|---|
| [dm3 · s−1 · km−2] | [%] | [dm3 · s−1 · km−2] | [%] | |||
| Upper | 4–5 | 3–4 | 60–70 | 6.1–7.0 | 3.6–4.0 | >60 |
| Middle | 4–5 | 2–3 | 50–60 | 5.1–6.0 | 3.1–3.5 | 56–60 |
| Lower | 3–4 | <2 | 40–50 | 4.1–5.0 | 2.6–3.0 | 51–55 |
The Moszczenica River represents an abundant category of rivers with a very well-developed nival regime, specific for the rivers in the central and eastern parts of Poland. In the annual cycle for those rivers one can specify the following: high meltwater floods in spring followed by a rapid recession of river runoff and transition to a period of the low summer-autumn flow (Wrzesiński 2016, 2017).
Changes in the water levels measured in the gauging station of the Polish Institute of Meteorology and Water Management (IMWM) in Gieczno on the Moszczenica River, in the 2018 hydrological year the study was performed in, are presented in Figure 2. In that period was recorded two floods: pluvial in July and meltwater in February, and the lowest water stage was found in the second half of June.

Water level measured in the gauging station of the IMWM in Gieczno during the 2017–2018 hydrological year. Red dots – days of taking measurements. IMWM – Institute of Meteorology and Water Management.
The Moszczenica River is supplied with groundwater from sediments above the clay layers, from fine sands of the flood plain and river terrace, and from sands with gravels of the adjacent alluvial plain. In the southern part of the Moszczenica River, from the west its valley adjoins the outwash plain limited with moraine hills. Groundwaters in the areas adjacent to the Moszczenica River valley occur 1.5–2.5 m deep and they show similar changes with water stages in the Moszczenica, recorded at the gauging station of the IMWM in Gieczno (Fig. 3).

Changes in the state groundwater and state of Moszczenica levels at the water gauge in Gieczno.
The Moszczenica water stage data provided by the gauging station in Gieczno (Hr) and the data from the neighbouring wells (No. 6 on the left bank and No. 3 on the right bank, Fig. 1C) facilitated the calculation of hydraulic horizontal gradients on the left bank ΔL and on the right bank ΔR in the Moszczenica bottom. The results are provided in Table 2.
Water levels in the riverbed, water table in observation wells and hydraulic gradients in the Moszczenica bottom in upwelling zones.
| Date | Hr | No. 6 | No. 3 | ΔL [m] | 875 | ΔR [m] | 432 |
|---|---|---|---|---|---|---|---|
| Δ (No. 6 – Hr) | Grad L | Δ (No. 3 – Hr) | Grad R | ||||
| [m a.s.l.] | [m] | [−] | [m] | [−] | |||
| Oct-15 | 114.94 | 116.78 | 115.95 | 1.84 | 0.0021 | 1.01 | 0.0023 |
| Nov-15 | 114.96 | 116.88 | 115.87 | 1.92 | 0.0022 | 0.91 | 0.0021 |
| Dec-15 | 114.99 | 117.16 | 116.10 | 2.18 | 0.0025 | 1.12 | 0.0026 |
| Jan-16 | 115.09 | 117.20 | 116.07 | 2.11 | 0.0024 | 0.98 | 0.0023 |
| Feb-16 | 115.01 | 117.26 | 116.13 | 2.25 | 0.0026 | 1.12 | 0.0026 |
| Apr-16 | 115.08 | 117.70 | 116.43 | 2.62 | 0.0030 | 1.35 | 0.0031 |
| May-16 | 114.94 | 117.30 | 116.33 | 2.36 | 0.0027 | 1.39 | 0.0032 |
| Jun-16 | 114.91 | 117.50 | 116.27 | 2.59 | 0.0030 | 1.36 | 0.0031 |
| Jul-16 | 114.92 | 117.10 | 116.17 | 2.18 | 0.0025 | 1.25 | 0.0029 |
| Aug-16 | 114.89 | 117.20 | 116.10 | 2.31 | 0.0026 | 1.21 | 0.0028 |
| Sep-16 | 114.87 | 117.15 | 115.77 | 2.28 | 0.0026 | 0.90 | 0.0021 |
| Oct-16 | 114.98 | 117.20 | 116.12 | 2.22 | 0.0025 | 1.15 | 0.0027 |
| Nov-16 | 115.15 | 117.28 | 116.40 | 2.13 | 0.0024 | 1.25 | 0.0029 |
| Feb-17 | 115.30 | 117.50 | 116.61 | 2.21 | 0.0025 | 1.32 | 0.0030 |
| Apr-17 | 115.00 | 117.26 | 116.72 | 2.26 | 0.0026 | 1.72 | 0.0040 |
| May-17 | 114.94 | 117.10 | 116.94 | 2.16 | 0.0025 | 2.00 | 0.0046 |
| Jun-17 | 114.88 | 117.00 | 116.79 | 2.13 | 0.0024 | 1.92 | 0.0044 |
| Jul-17 | 114.91 | 117.08 | 116.70 | 2.17 | 0.0025 | 1.79 | 0.0041 |
| Sep-17 | 115.13 | 117.20 | 116.94 | 2.07 | 0.0024 | 1.81 | 0.0042 |
| Oct-17 | 115.12 | 117.15 | 117.00 | 2.03 | 0.0023 | 1.88 | 0.0044 |
| Dec-17 | 115.17 | 117.35 | 116.65 | 2.18 | 0.0025 | 1.48 | 0.0034 |
| Jan-18 | 115.20 | 117.60 | 116.72 | 2.40 | 0.0027 | 1.52 | 0.0035 |
| Feb-18 | 115.08 | 117.60 | 116.52 | 2.52 | 0.0029 | 1.44 | 0.0033 |
| Apr-18 | 114.98 | 117.53 | 116.58 | 2.55 | 0.0029 | 1.60 | 0.0037 |
| Jun-18 | 114.89 | 117.48 | 116.60 | 2.59 | 0.0030 | 1.71 | 0.0040 |
| Jul-18 | 114.93 | 117.40 | 116.57 | 2.47 | 0.0028 | 1.64 | 0.0038 |
| Oct-18 | 115.00 | 117.63 | 116.66 | 2.63 | 0.0030 | 1.66 | 0.0038 |
| Nov-18 | 114.97 | 117.71 | 116.64 | 2.74 | 0.0031 | 1.67 | 0.0039 |
| Dec-18 | 115.02 | 117.75 | 116.70 | 2.73 | 0.0031 | 1.68 | 0.0039 |
| 0.0026 | gradav | 0.0033 | |||||
The gradientmeter is a new device designed for in situ testing of the direction of water exchange in the hyporheic zone, developed at the Adam Mickiewicz University in Poznań.
The gradientmeter (Fig. 4) allows direct measurement of the difference in pressures between the surface water and groundwater 20 cm under the bottom (Marciniak, Chudziak 2015). It is the depth to which the active part (screen) of the gradientmeter is pushed into the bottom. A pipe (2) ending with a short screen (1) is welded to the lower part of the body (3) of the gradientmeter. A support (4) is screwed to the upper part of the body (3). The pipe (2) with a screen (1) is pushed into the bottom of the river or reservoir 20 cm deep. Water from the hyporheic zone flows through the screen (1) inside the pipe (2) with a hose attached with two quick release plates (5). The other end of the hose (5) is connected to the inverted-U-tube measurement system. The measurement system consists of a groundwater level measurement pipe (6), a surface water level measurement pipe (7) and a valve (8). The pipe (7) is connected to a hose with a quick release plate (9) with the other end of the hose being placed in a river or a water reservoir.

Construction of a gradientmeter. 1 – screen, 2 – piezometer embedded into bottom sediments, 3 – pressure ring, 4 – bracket, 5 – hose to piezometer, 6 – piezometer measuring tube, 7 – measuring tube for surface waters, 8 – valve, 9 – hose submerged in surface waters.
The hydraulic gradient is measured by sucking ground and surface water into the measuring system. For the measurement to be performed, a vacuum must be created by sucking air through the valve (8), which will raise the water level to both measuring tubes (6) and (7). When the water level in both pipes reaches the middle of the scale, the valve (8) should be closed. The negative pressure generated in the measuring system maintains the level of ground and surface water in the measuring tubes (6) and (7). During downwelling, the water level in the tube (7) is higher than in the tube (6). The hydraulic gradient id is calculated by dividing the pressure difference Δhd by the depth Δld of penetrating the gradient meter into the bottom sediments as:
As for upwelling, the water level in tube (7) is lower than that in tube (6). Hydraulic gradient iu is calculated by dividing the pressure difference Δhu by depth Δlu penetration of the gradientmeter into the bottom sediments as:
The depth the gradientmeter is pushed into the bottom sediments is always the same: Δld = Δlu = 20 cm, while the ± sign of the hydraulic gradient is conventional. In hydrology, groundwater drainage is considered to feed surface waters and, therefore, the hydraulic gradient sign is positive. An opposite convention applies in hydrogeology. Groundwater drainage reduces the groundwater resources and it is marked with a negative sign. In this paper, the gradient sign applied is compliant with the hydrological convention.
For the first study objective, a straight section of the Moszczenica River was selected, which was found in an immediate vicinity of the gauging station of the IMWM in Gieczno, without water obstacles (sunken trunks, aquatic plant clusters) that could additionally stimulate a hyporheic exchange. The bottom is sandy with specific bottom accumulation landforms, that is, ripple marks. In order to more fully determine the filtration properties in the hyporheic zone, six samples of bottom sediments were collected and subjected to granulometric analyses. Two samples were collected for each of the profiles: P1, P4 and P9 (Fig. 1C). The grain size composition results are presented in Figure 5 and in Table 3.

Grain size analysis of bottom sediments of the Moszczenica River.
Granulometric and hydraulic characteristics of the Moszczenica riverbed sediments.
| Parameters | P1 | P4 | P9 | |||
|---|---|---|---|---|---|---|
| Fractions | ||||||
| Gravel % (10–2 mm) | 5.70 | 1.26 | 24.45 | 2.64 | 49.37 | 0.46 |
| Sand % (2–0.1 mm) | 85.78 | 65.48 | 77.43 | 76.29 | 44.06 | 34.30 |
| Silt % (0.1–0.01 mm) | 8.43 | 29.95 | 6.14 | 20.72 | 6.36 | 62.76 |
| Loam % (< 0.01 mm) | 0.09 | 3.30 | 2.13 | 0.35 | 0.22 | 2.48 |
| Equivalent grain diameters and grain distribution unevenness index | ||||||
| d10 [mm] | 0.055 | 0.013 | 0.088 | 0.023 | 0.079 | 0.013 |
| d20 [mm] | 0.086 | 0.024 | 0.130 | 0.048 | 0.140 | 0.016 |
| d60 [mm] | 0.210 | 0.120 | 0.370 | 0.140 | 2.300 | 0.044 |
| Hydraulic conductivity | ||||||
| U | 3.82 | 9.23 | 4.21 | 6.09 | 29.11 | 3.39 |
| k10 [m · s−1] | 1.28 · 10−3 | 6.77 · 10−5 | 3.30 · 10−3 | 3.34 · 10−4 | 3.91 · 10−3 | 2.67 · 10−5 |
The lithological characteristics of bottom sediments for particular profiles correspond to the range of variation between the zone of the highest water flow rate in the current and the riverbank zone with a considerably lower water flow rate in a given section of the river channel.
The measurements covered a 10-m section with the profiles evenly distributed at every 2.5 m (Fig. 1B). The measurement cycle was monitored with water level reading from the gauging station and the river flow measurement – with a current meter in the first measurement profile (Section A). For a low water level, measurements were taken in all the five profiles and during a high flow, due to difficult riverbed conditions, that is, a high-water level and its strength on the measurement staff, the measurements were limited to three Sections (A, C and E). The measurement section points in which the gradientmeter was pushed into the bottom were 1 m away from one another. Starting from the left riverbank, the measurement point was to be located not <0.5 m away (Fig. 6). As a result, in each of the sections, 5–6 hydraulic gradient measurements were taken. The gradient measurements were accompanied by a water depth reading in a given point. Every time the gradientmeter was pushed 20 cm deep into the river bottom, making sure the gradientmeter body was well-pressed to the bottom, which would eliminate any hydraulic contact between the river and the gradientmeter screen. The negative pressure was generated by sucking the air, which resulted in an increase in the surface water and groundwater up to the measurement pipes of the gradientmeter. The water levels in the measurement pipes were stabilised for 10–15 min and the measurement results were read out. The results were recorded in a special form and the data were transferred to a spreadsheet, where gradients were calculated following Eqs (1) and (2). The measurements were taken twice: at low water stages (24 June 2018) and during a flood after intensive rainfall (20 July 2018) (Fig. 2).

Place of measurements of the hydraulic gradient on the straight section of the Moszczenica River (the arrow shows the direction of the river flow).
Measurements of the water flow rate in Moszczenica were performed using the Hega 2 hydrometric mill with an accuracy of ±0.005 m3 · s−1.
For the second objective, the measurements covered a 2 km section of the river (Fig. 1C). The upper part of the section includes a fragment of the medieval artificially dug canal and the lower part – a natural section with mild turns, with neither meanders nor hydrotechnical infrastructure. The canal was to increase the fall of water supplied to the former mill. It was dug in a somewhat higher part of the valley floor than the natural riverbed, which is reflected in the hypsometric profile of the area (Fig. 7). The old riverbed, in the axis of the valley, is located lower than today's canal of the Moszczenica River.

Hypsometric profile of the area in the bottom part of the Moszczenica valley between Wypychów and Gieczno (Fig. 1C). Based on the digital elevation model of the Geoportal of the Łódzkie Voivodship.
The hydraulic gradient measurements were taken for profiles approximately 100 m away from one another (Fig. 1C). Prior to the gradient measurements, depth measurements were performed to find the deepest point, and it was where the gradientmeter was pushed in and, in reference to that point, two more points halfway to the left and to the right river bank were selected. The measurements were taken in three points of each of the 13 measurement profiles. The measurement methodology was the same as earlier for the straight section of the river.
In the present paper, the division of the Moszczenica River into sections results from the analysis of the map (Fig. 1C), where the old riverbed and the section replacing it since the Middle Ages are marked. Between the artificial section and the natural one, one can find a transitional section where the river gradually recovers its natural features. Such division coincides with the gradient measurement results.
The first cycle of hydraulic gradient measurements for the straight section of the Moszczenica was performed for the water level of H = 112 cm and for the river flow rate at Q = 0.3 m3 · s−1. The water level value is lower than the extreme value reported in 1979–1990 and the river flow rate corresponds to the medium–low flow rate – Table 4.
Characteristic water level and flow of the Moszczenica River measured in the gauging station in Gieczno in 1971–1990 (after Szczepański 1995).
| Water level [cm] | |
| Extremely high stage | 316 |
| Extremely low stage | 120 |
| Flow [m3 · s−1] | |
| Extremely high flow | 9.42 |
| Medium high flow | 4.72 |
| Medium mean flow | 0.92 |
| Medium low flow | 0.29 |
| Extremely low flow | 0.17 |
The results of hydraulic gradient observations recorded in field research are presented in Figure 8. The axis to the left represents the depth scale and that to the right – the gradient scale. The positive gradients stand for groundwater drainage by the Moszczenica (upwelling) and the negative gradients – a seepage of surface waters to the subsurface (downwelling). The riverbed outline is marked with a solid line and the subsequent hydraulic gradient values are presented with bar charts.

Changeability of the hydraulic gradient in the Moszczenica River hyporheic zone during different flow conditions.
The results of the measurements provide the grounds for illustrating the spatial hydraulic gradient distribution in the bottom of the Moszczenica by interpolating the results while considering the water depth in the measurement point; see Figure 9.

Hydraulic gradient changeability in the river bottom during low water stage. A – Spatial distribution of water depth, B – Spatial distribution of hydraulic gradient.
At the measurement time, with the Moszczenica high flow due to heavy rainfall, the water level was H = 205 cm (Fig. 2) and Q = 2.93 m3 · s−1. The flow rate was approximately 10-fold higher than that accompanying the low water stage. For the multiannual period it is a moderate water level and flow zone – Table 4. The spatial distribution of the water depth and the hydraulic gradient in the bottom of Moszczenica during the flood flow is shown in Figure 10.

Hydraulic gradient changeability in the river bottom during high water stage. A – Spatial distribution of water depth, B – Spatial distribution of hydraulic gradient.
The second cycle of hydraulic gradient measurements were taken for the long section of the Moszczenica over 4 days (from 24 to 27 October 2018) in stable hydrological conditions. The water level ranged from 130 to 131 cm (Fig. 2), and the flow rate was from 0.510 m3 · s−1 to 0.518 m3 · s−1. The results dividing the sections with dominant downwelling, a transitional zone and dominant upwelling are broken down in Figure 11.

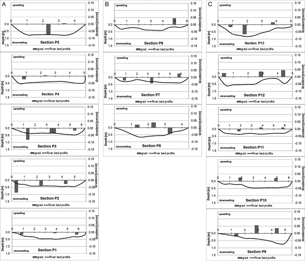
A – Variability of hydraulic gradient in cross-sections along the Moszczenica river bed in the section with a predominance of downwelling, B – Variability of hydraulic gradient in cross-sections along the Moszczenica river bed in the transition zone between the dominant downwelling and upwelling, C – Variability of hydraulic gradient in cross-sections along the Moszczenica river bed in the section with a predominance of upwelling.
In the region of the local gradient measurements (Figs 1B and 6), the depth measurements and the distribution of hydraulic gradients demonstrate that, for the Moszczenica channel section under study, the main current occurs at the left riverbank (Fig. 9A). At a low water level, upwelling dominates in the bottom of the river with a clearly axial inactive zone and a limited-in-space zone of strong upwelling at the right riverbank (Fig. 9B). The profiles (Fig. 8) show that upwelling occurs at the shallower right riverbank, while downwelling is poor and occurs at the left riverbank in the deeper part of the riverbed.
The river bottom morphology changed during a flood flow (Fig. 10A). The highest depths still occurred at the left riverbank, while shallowing at the right riverbank changed in shape slightly. In these conditions, downwelling was dominant in the bottom of the river. In the middle of the river and at the right bank, two considerably reduced upwelling zones retained their activity, while at the left riverbank a new inconsiderable upwelling zone developed (Fig. 10B).
The statistical parameters of the gradient measurement research results are provided in Table 5. Importantly, the upwelling zones in the middle of the river and at the right riverbank retained their activity despite an essential change in hydrological conditions. The upwelling zones can reflect a local anisotropy of alluvial formations where very active zones of preferred groundwater supply developed, as pointed out by Amoros et al. (1996). The zones can also constitute the final fragment of the stream line from deeper aquifers (Toth 1963, Hayashi, Rosenberry 2002, Sophocleous 2002, Wörman et al. 2002, Cardenas 2007, Song et al. 2016). The latter interpretation is supported by the comparison of hydraulic gradients calculated from the water levels of the Moszczenica River and groundwater in Well Nos 3 and 6 (Table 2), as well as the gradients measured in the river channel with the gradientmeter (Fig. 8). The gradients measured in the river bottom are more than five times higher than what would result from the supply of groundwater to the Moszczenica. It suggests the occurrence of a strong supply from deeper aquifers. The vertical supply is important enough that even during a flood flow the groundwater drainage zones are clearly visible (Fig. 10B).
Analysis of the hydraulic gradient results in the Moszczenica bottom at different water levels.
| Parameter | Low water level | High water level | ||
|---|---|---|---|---|
| A B C D E | A C E | |||
| Upwelling | Downwelling | Upwelling | Downwelling | |
| Maximum | 0.075 | −0.000 | 0.030 | −0.000 |
| Minimum | 0.000 | −0.015 | 0.000 | −0.110 |
| Average | 0.016 | −0.008 | 0.018 | −0.027 |
| Median | 0.010 | −0.005 | 0.025 | −0.025 |
| Number | 27 | 6 | 3 | 18 |
| Share | 81.8% | 18.2% | 14.3% | 85.7% |
At low water levels on the Moszczenica, upwelling was dominant. The upwelling gradient varied from 0 to 0.075 for a mean value of 0.016, and the downwelling gradient – from 0 to −0.015 for the mean value of −0.008. Of the 33 measurements taken with the gradientmeter, 81.8% pointed to upwelling and 18.2% to downwelling. During a high flow, the image of the gradient field changed considerably. In that case, downwelling was dominant, with the gradient value from 0 to −0.110 for the mean value of −0.027, and the upwelling gradient value varied from 0 to 0.030 with the average value of 0.018. Of the 21 measurements taken with the gradientmeter, 85.7% pointed to downwelling and 14.3% to upwelling. With the gradient measurements, the range of variation in the hydraulic gradient in the bottom of the Moszczenica (Fig. 9B and 10B) confirms the existence of clear ‘patches’ of upwelling and downwelling, as reported by Wondzell (2011). An increased importance in downwelling during a flood coincides with the observations by Harvey et al. (2012), Gerecht et al. (2011), Briggs et al. (2012) and Bhaskar et al. (2012).
The Moszczenica River part analysed (Fig. 1C) was divided into three sections:
- –
the upper part (profiles P1–P5, Fig. 11A), with the canal dug in the Middle Ages;
- –
the middle part (profiles P6–P8, Fig. 11B) forming a transitional zone;
- –
the lower part (profiles P9–P13, Fig. 11C) with a natural riverbed.
The distribution of hydraulic gradients in the respective profiles is provided in Figure 11A–C. The statistical analysis results for the hydraulic gradient measurement series are presented in Table 6.
Statistical analysis of the results of the hydraulic gradient research in the bottom of the Moszczenica for the canal, transitional zone and the natural riverbed.
| Parameter | Artificial canal | Transition zone | Natural riverbed | Together | ||||
|---|---|---|---|---|---|---|---|---|
| P1–P5 | P6–P8 | P9–P13 | P1–P13 | |||||
| Upwelling | Downwelling | Upwelling | Downwelling | Upwelling | Downwelling | Upwelling | Downwelling | |
| Maximum | 0.005 | −0.000 | 0.045 | −0.000 | 0.055 | −0.000 | 0.055 | −0.000 |
| Minimum | 0.000 | −0.085 | 0.000 | −0.040 | 0.000 | −0.065 | 0.000 | −0.085 |
| Average | 0.003 | −0.029 | 0.018 | −0.025 | 0.023 | −0.023 | 0.019 | −0.027 |
| Median | 0.005 | −0.020 | 0.020 | −0.030 | 0.023 | −0.015 | 0.018 | −0.020 |
| Number | 3 | 15 | 7 | 4 | 12 | 5 | 22 | 24 |
| Share [%] | 16.7 | 83.3 | 63.6 | 36.4 | 70.6 | 29.4 | 47.8 | 52.2 |
For the entire Moszczenica section under study, the range of variation in the hydraulic gradient varied from 0 to 0.055 for upwelling and from 0 to −0.085 for downwelling. The mean gradient values were 0.019 for upwelling and −0.027 for downwelling.
In the upper Moszczenica section (in the canal), out of the 18 measurements of the hydraulic gradient, 83.3% pointed to downwelling and 16.7% to upwelling. The downwelling gradient ranged from 0 to −0.085, with the mean value of −0.029, and the upwelling gradient – from 0 to 0.005, with the mean value of 0.003.
In the transitional zone between the canal and the natural riverbed, 11 gradient measurements were taken: 63.3% pointed to upwelling and 36.4% to downwelling. The upwelling gradient varied from 0 to 0.045, with the mean value of 0.018 and the downwelling gradient from 0 to −0.040, with the mean value of −0.025.
In the lower Moszczenica section (the natural riverbed), the values were the opposite. Of the 17 measurements of the hydraulic gradient, 70.6% pointed to upwelling, and 29.4% to downwelling. Upwelling gradients varied from 0 to 0.055, with the mean value of 0.023, and downwelling gradients from 0 to −0.065, with the mean value of −0.023.
The gradient measurements taken for an approximately 1400 m section of the Moszczenica River documented the ‘escape’ of water from the canal dug a few centuries ago to the historical naturally developed drainage base. Despite the passage of hundreds of years, the natural drainage base of the Moszczenica River still remained active. It is important for identifying the hyporheic zone functioning.
Verifying the conditions of the interaction of the Moszczenica River with groundwaters along the downwelling section (from P1 to P4) involved the flow rate measurements in four profiles. For the results, see Table 7 and Figure 12.
Results of the water flow rate measurement in the canal of the Moszczenica.
| Canal | Distance | Flow | Comments |
|---|---|---|---|
| [m] | [m3 · s−1] | ||
| P1 | 0 | 1.1747 | |
| P2 | 92 | 1.0654 | In front of the ditch |
| P3 | 88 | 1.1795 | Behind the pond |
| P4 | 80 | 1.2264 |

Changes in the water flow rate in the Moszczenica River along the downwelling section.
The flow rate measurements only along the section from P1 to P2 pointed to the Moszczenica River downwelling. Behind the P2 profile there is water inflow from the ditch and behind the P3 profile there is water inflow from the pond (Fig. 1C). The volume of lateral tributaries is difficult to determine. Under such conditions, only the measurements of the hydraulic gradient in the hyporheic zone can document the river downwelling.
In this paper, it was demonstrated that the change in river water levels associated with torrential rainfall significantly influences hypohreic exchange. Downwelling will begin to dominate in areas of the hyporheic zone where upwelling was observed. However, in some other areas upwelling will still occur despite a significant rise in the water level. It can be assumed that water inflow from deeper aquifers takes place in these areas.
It was proved that relocating the riverbed to higher altitudes by building an artificial canal permanently alters the conditions of hyporheic exchange. The riverbed relocation took place in the Middle Ages, which resulted in a permanent change in the dominant hyporheic exchange direction (a change from upwelling to downwelling).
The study concerned a spatial variation of the hydraulic gradient in the hyporheic zone of the Moszczenica River along its 1400 m section in the vicinity of Gieczno, near of the city of Łódź (Poland). Measurements of the hydraulic gradient were performed using a newly designed and constructed device called the gradientmeter. The study showed the applicability of the gradientmeter in identifying the interactions between surface waters and groundwater in the hyporheic zone.
Measurements of the hydraulic gradient facilitated documenting changes in the functioning of the hyporheic zone during high flow conditions. The spatial variation of the hydraulic gradient coincides with the results of earlier theoretical predictions by Wondzell (2011). An increase in the significance of downwelling during a flood event was also documented, as observed by Harvey et al. (2012), Gerecht et al. (2011), Briggs et al. (2012) and Bhaskar et al. (2012).
The comparison of hydraulic gradient values at the riverbed calculated from the conditions of groundwater supply with the gradient values measured in the riverbed revealed the occurrence of strong groundwater supplies to the river from deeper aquifers.
The study provides new insight into surface water and groundwater interactions in the hyporheic zone in river systems, which have been transformed and which can be naturalised again. Fully recognising these interactions is an essential practical aspect of investigating the functioning of a river valley, as confirmed by Boano et al. (2014), Boulton (2007) and Kasahara et al. (2009).