Fig. 1.

Fig. 2.

Fig. 3.

Fig. 4.

Fig. 5.

Fig. 6.

Fig. 7.

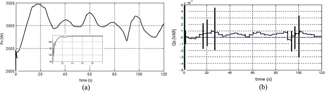
Fig. 8.

Fig. 9.

Fig. 10.

Fig. 11.

Fig. 12.

Fig. 13.

Fig. 14.

Fig. 15.

Fig. 16.

Fig. 17.

Fig. 18.

Fig. 19.

Comparison with other studies_
| Paper reference | Energy source and storage | Performance summary |
|---|---|---|
| Our paper | Grid-connected PV/wind/flywheel | This system features a multi-layered control approach that combines FLC, PID control and SMC into a unified EMS. |
| Reference Lata-García et al. (2024) | Stand-alone PV/biomass/diesel/battery | The system consists of a 22 kW solar PV generator, a 1.5 kW biomass generator and a 12 kW diesel generator. Additionally, the battery bank includes 58 units, each with a capacity of 111 Ah, and the dispatch strategy employed is load tracking. |
| Reference Younsi et al. (2023) | Grid-connected wind/flywheel | This control system includes primary and secondary controllers. The primary stage uses a droop controller to optimise power flow in the resistive network, while the secondary stage employs an improved method to manage voltage and frequency fluctuations during signal disturbances. |
The power balance for each operating mode_
| Operating mode | M3.1 | M3.2 | M3.1 | M5.1 | M5.2 | M4 | M5.1 |
|---|---|---|---|---|---|---|---|
| Time (s) | 13.5–14 | 14–14.5 | 14.5–15 | 15–15.5 | 15.5–16 | 16–16.5 | 16.5–17 |
| PL(W) | 960 | 2,750 | 960 | 960 | 3,960 | 0 | 960 |
The power flow operating modes_
| No. | Operating mode | Keys state | Energy movement | Power balance | ||||||
|---|---|---|---|---|---|---|---|---|---|---|
| K1 | K2 | K3 | EREN | EG | EL | EF | Composition | System state | ||
| 1 | M1 | 0 | 0 | 0 | 0 | 0 | 0 | 0 | Maintenance | – – – – – – – – – – |
| 2 | M2 | 0 | 1 | 1 | 0 | <0 | >0 | 0 | Grid-load | PG = PL |
| 3 | M3.1 | 0 | 1 | 0 | <0 | - | >0 | >0 | PV + WT—Fl—L (disconnected mode) | Storage: PREN = PL + PF |
| 4 | M3.2 | 1 | 0 | 1 | <0 | - | >0 | <0 | PV + WT—Fl—L | Discharge: PREN = PL − PF |
| 5 | M4 | 1 | 1 | 0 | <0 | 0 | 0 | 0 | PV + WT—grid | Direct injection to grid PREN = PG |
| 6 | M5.1 | 1 | 1 | 1 | <0 | >0 | >0 | 0 | PV + WT—grid-load | PREN > PL |
| PREN = PG + PL | ||||||||||
| 7 | M5.2 | 1 | 1 | 1 | <0 | <0 | 0 | 0 | PV + WT—grid-load | PREN < PL |
| PREN = PL − PG | ||||||||||