Fig. 1.

Fig. 2.

Fig. 3.

Fig. 4.

Fig. 5.

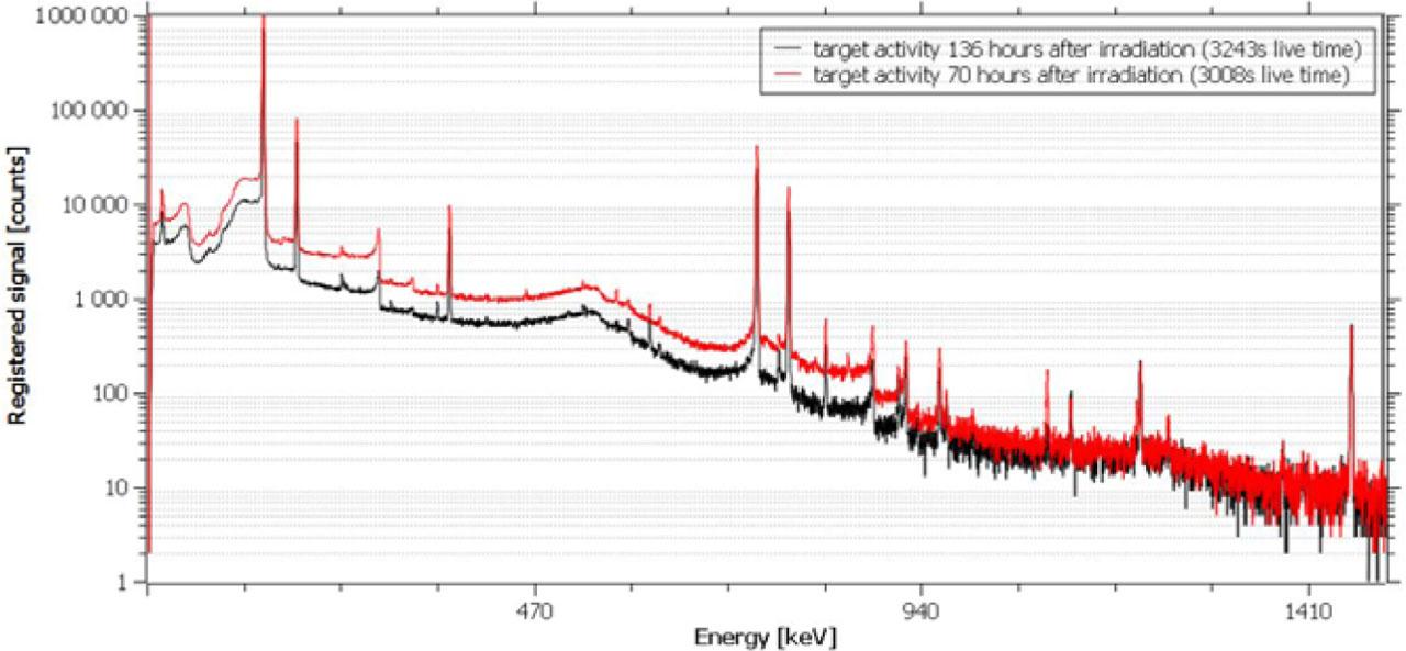
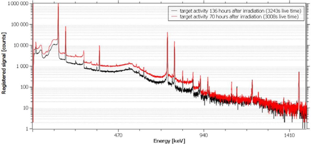
Fig. 6.

Geant4 simulation results of (e−, n) and (γ, n) reaction analysis for 15_6 MeV electrons
| Target thickness (mm) | Total nuclei of 99Mo produced per electron impinging on the target | Nuclei 99Mo produced through the (e−, n) reaction per electron impinging on the target | Ratio (e−, n)/total 99Mo |
|---|---|---|---|
| 0.12 | (5.0 ± 0.1)·10−9 | (1.3 ± 0.01)·10−8 | 0.72 |
| 0.33 | (3.6 ± 0.04)·10−8 | (3.55 ± 0.01)·10−8 | 0.50 |
| 1.13 | (3.57 ± 0.02)·10−7 | (1.075 ± 0.002)·10−7 | 0.26 |
Geant4 simulation results of (e−, n) and (γ, n) reaction analysis for 12_6 MeV electrons
| Target thickness (mm) | Total nuclei of 99Mo produced per electron impinging on the target | Nuclei 99Mo produced through the (e−, n) reaction per electron impinging on the target | Ratio (e−, n)/total 99Mo |
|---|---|---|---|
| 0.12 | (3.5 ± 0.08)·10−9 | (2.5 ± 0.03)·10−9 | 0.74 |
| 0.33 | (1.35 ± 0.01)·10−8 | (0.70 ± 0.05)·10−8 | 0.51 |
| 1.13 | (6.85 ± 0.02)·10−8 | (1.70 ± 0.01)·10−8 | 0.25 |
Calculated activities (Geant4 simulations and experimental data) of 99Mo in targets after irradiations by 12_6 MeV electrons
| Target thickness (mm) | Time of irradiation (min) | f (Hz) | Measured A (kBq) | Simulated A (kBq) |
|---|---|---|---|---|
| 0.12 | 88 | 71.70 | 13 ± 4 | 17 ± 0.3 |
| 0.33 | 74 | 85.27 | 63 ± 8 | 60 ± 0.5 |
| 1.13 | 16 | 94.38 | 70 ± 7 | 64 ± 0.5 |
Calculated activities (Geant4 simulations and experimental data) of 99Mo in targets after irradiations by 15_6 MeV electrons
| Target thickness (mm) | Time of irradiation (min) | f (Hz) | Measured A (kBq) | Simulated A (kBq) |
|---|---|---|---|---|
| 0.12 | 62 | 35.33 | 36 ± 4 | 38 ± 0.9 |
| 0.33 | 52 | 59.79 | 152 ± 10 | 165 ± 1.6 |
| 1.13 | 224 | 6.46 | 653 ± 36 | 630 ± 3.4 |