Radioisotopes of some elements play an important role in nuclear medicine – including medical diagnostics. Currently, there is a risk of a supply crisis in the molybdenum isotope 99Mo, whose daughter isotope is 99mTc, which is one of the most commonly used isotopes for diagnostic tests [1]. The 99Mo isotope serves as the parent nuclide of 99mTc, which is extensively used for single-photon emission computed tomography (SPECT) imaging in nuclear medicine as the energy of emitted photons is approximately 140 keV [2]. Another crucial aspect is that the unique chemistry of technetium allows binding it to various biological carriers. In the case of isotopes of metallic elements, such as technetium nuclides, a complexing agent is necessary to create any radiopharmaceutical. The complex with the radionuclide should be characterized by high thermodynamic and kinetic stability. For this reason, in the case of radiometals, macrocyclic compounds such as e.g. acid 1,4,7,10-tetraazacyclododecane – are widely used as ligands 1,4,7,10-tetraacetic acid. However, the stand-alone DOTA complex does not have specific effects on any metabolic processes in the body. Due to the presence of carboxyl groups, the DOTA complex can be a bifunctional ligand. When combined with an appropriate molecule (e.g. a peptide), it accumulates selectively at the site of specific receptors. In this way, radiopharmaceuticals for the diagnosis of neuroendocrine tumors or prostate tumors are obtained, in which the ligand is DOTA chelator conjugates with the peptides: DOTATATE and DOTATOC [3]. What is more, another potential benefit of using 99mTc is the fact that it could be used for targeted Auger electron–emitter therapy [4].
The technetium isotope commonly used for diagnostic tests (e.g. cardiac perfusion tests, cancer detection) has a half-life of about 6 hours. 99Mo is obtained primarily by reactor. The daughter isotope production method requires the extraction and separation of the molybdenum 99Mo isotope from other uranium fission products. This requires cooperation with laboratories with access to high-activity waste storage sites, as a result of which, the samples irradiated in the MARIA reactor have to travel a long way so that the POLATOM Radioisotope Center can use them to prepare for molybdenum–technetium generators. In light of rapidly changing global conditions, the continuity of supply of this isotope may be threatened for many reasons. Nuclear reactors require significantly higher maintenance costs, whereas accelerators can be operated on demand. This highlights the importance of developing alternative isotope production methods that maintain low operating costs. Furthermore, the proposed approach has the added advantage of not generating high-level radioactive waste. So far, crises in the global production of radioisotopes have been mainly related to the operation of nuclear reactors of a research nature (e.g. the reactor in Canada in 2008) [5,6,7,8]. The answer to potential problems with ensuring the availability of radionuclide 99Mo may be an alternative way of producing technetium for nuclear medicine. Currently, mainly research nuclear reactors are used for the production of the isotope, such as the Polish research reactor MARIA [9].
Due to the importance of technetium, considerable research has been conducted to explore also non-reactor alternative methods for 99Mo production, such as MoO3 irradiation experiments [10]. Several publications have focused on the direct production of 99Mo through the 100Mo(γ, n)99Mo nuclear reaction [11, 12], including Canadian experiments [2, 13], as well as the use of a cyclotron to produce the daughter isotope 99mTc [14,15,16,17,18]. The accelerator 99Mo production method could be a competitive method for reactor production, due to the relatively higher availability of materials and linear accelerators and relatively low costs. However, despite being mentioned in [8], there is a lack of experimental data on the direct 100Mo(e−, n)99Mo nuclear reaction in medical accelerators' energy region. Consequently, the authors decided to perform their experiment to study the total activity of 99Mo produced using an electron accelerator with electron energies of 12.6 MeV and 15.6 MeV.
The experiments were carried out on a proprietary measuring system enabling the manipulation of electron beam energy, using a linear accelerator. In previous work, authors simulated the method of obtaining 99Mo using a linear accelerator with a photons beam [19] and now also using the pure electron beam experimental research has taken place to verify the alternative way. The production of the isotope 99Mo by electron beam in a natural molybdenum disk was investigated. In order to detect and verify the radioisotopes resulting from irradiation, semiconductor radiation spectrometers like germanium HPGe detector with Tukan8k software were used. As while using electrons there are two competitive processes of 99Mo nucleus creation (photonuclear and electrodisintegration), the Monte Carlo simulation helped with identifying the ratio between those two effects (experimental detection of electronuclear). Numerical calculations were carried out (verification and comparison of expected activities) using GEANT4 [20,21,22] code version 4.11 installed on the Linux platform. As the GEANT4 software is a widely used toolkit for simulating the passage of particles through matter and the interaction of particles with matter, a series of simulations were performed. These simulations' aim was to replicate the real experimental conditions as closely as possible. To achieve the most relevant conditions, the authors used an average beam current and an energy distribution that matched the parameters of the electron linear accelerator available at the National Centre for Nuclear Research (NCBJ) in Otwock, Poland. The setup description and the data obtained from the simulations are presented in detail in the further part of the article, compared with the experimental results.
The author's goal was to investigate the production of 99Mo in natural molybdenum (with a 9.74% abundance of 100Mo) at several different points. Therefore, two beam energies and three target thicknesses were selected: 12 MeV and 15 MeV (with the most probable energies of 12.6 MeV and 15.6 MeV, respectively), and 0.12 ± 0.01 mm, 0.33 ± 0.01 mm, and 1.13 ± 0.01 mm for the target thicknesses. The thickness was chosen based on the stopping power of the beam for natural molybdenum (and to show the different electrodisintegration and photonuclear reaction ratios). The CSDA range (continuous slowing down approximation) for natural molybdenum is around 0.7 cm and 0.8 cm (for 12.6 MeV and 15.6 MeV, respectively) [23]. The linear accelerator available at this time in the NCBJ laboratory offered only energies in the range of 10–20 MeV. Due to radiation safety and the limited stability of the beam, the team decided not to exceed 16 MeV of the beam energy during experiments. Then, taking into consideration two different energies and three foil thicknesses let us investigate the differences between target activation. Each disk used in the experiment had a diameter of 20 ± 1 mm. The last target was composed of sintered molybdenum powder. Sintered targets could have a density of up to 9.95 ± 0.06 g/cm3 [15]. Other targets used during irradiations were metallic foils, so their density was 10.2 g/cm3. The mass of each disc was the following: 0.32 g, 0.92 g, and 2.99 g. The electron linear accelerator (linac) used for the experiment had the following parameters: a pulse time duration of 4 μs and a maximum pulse repetition frequency of 100 Hz. The normalized energy spectra measured by the magnetic spectrometer are presented in Fig. 1.

Energy spectra of the electron beams used in the experiment.
The target holder was positioned in the air, approximately 20 mm away from the titanium exit window (thickness 25 μm) of the accelerator. As the titanium total stopping power (collision + radiative) for an electron beam around energy 12.6 MeV is 2.110 MeV cm2/g (for 15.6 MeV is 2.293 MeV cm2/g) [23] and the density of titanium is 4.507 g/cm3, the influence on the beam is negligible (≈0.2% energy loss). The electron flux (beam current) was measured both on the holder and on a Faraday cup located 500 mm away from the accelerator exit window, as illustrated in Fig. 2. The whole setup was housed in the irradiation chamber, constructed using lead bricks and polyethylene for radiation shielding and safety.

Irradiation setup scheme.
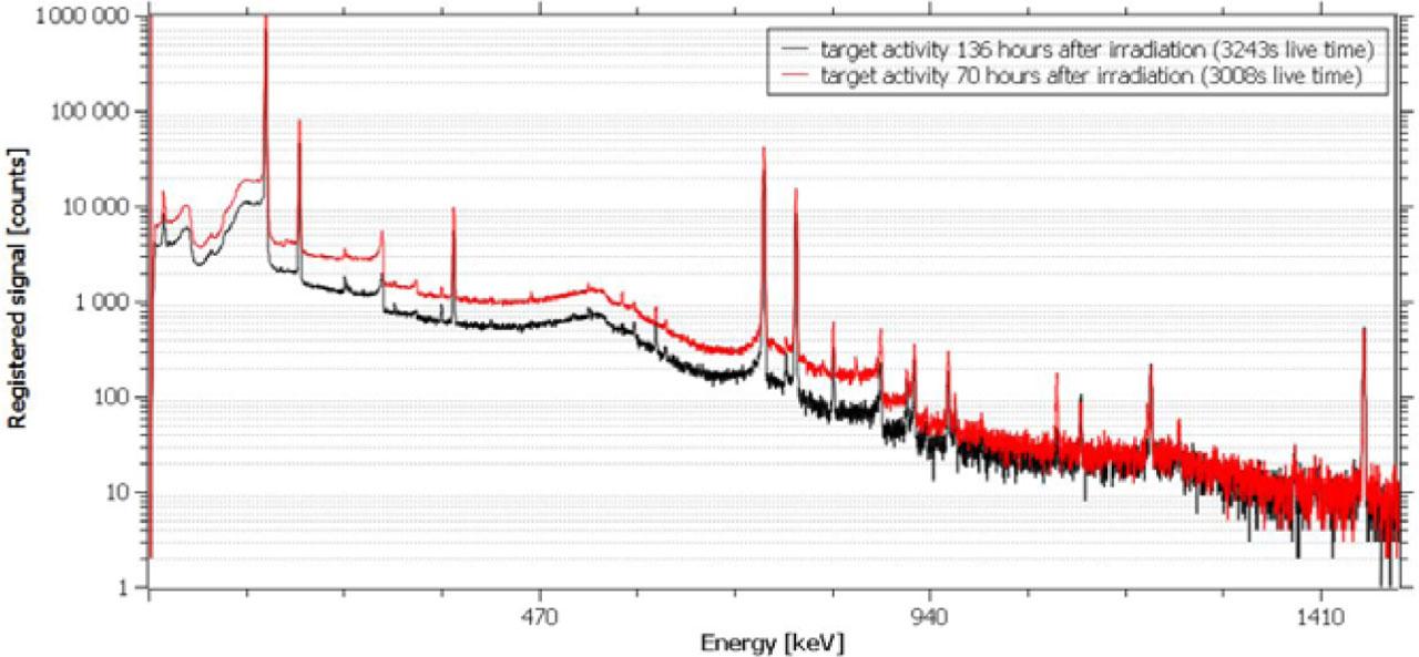
The target holder was made of aluminum and equipped with a cooling system. The cooling water temperature was stabilized at approximately 20°C. The beam spot size at the irradiation site was no larger than 10 mm in diameter, with a full width at half-maximum (FWHM) of 4–5 mm. This ensured that the electron beam was accurately focused on the target area, providing well-defined irradiation conditions. During irradiations, the beam fluctuations have been recorded to estimate the total electron flux in the experiment. The irradiation times varied, ranging from around 15 minutes to a few hours, with the average real beam currents fluctuating between 6.46 μA and 96 μA due to technical breaks during the irradiation procedures. To ensure the precise activity measurement, the time interval between the end of irradiation and the start of γ-ray spectrum measurement was registered. This step was crucial since the irradiated samples were removed from the experimental chamber only after confirmation that the dose rate had reached a safe level for the personnel. Once transported to the measurement laboratory, the irradiated disc was carefully placed on a calibrated high-purity germanium (HPGe) detector. The detection system consisted of an HPGe and a computer-based pulse height analyzer (Tukan8k) [24]. The detector crystal was positioned below the irradiated target on the plexiglass tray. The calibration of the detector was performed using the following gamma radiation sources: 54Mn, 57Co, 60Co, 137Cs, and 152Eu. The HPGe detector was calibrated and its relative efficiency varied, being around 0.45% for the 121 keV line and decreasing to approximately 0.12% for the 1086 keV line. E.g. for a commonly used 137Cs calibration source the efficiency was around 0.15% (662 keV line). After each measurement, the number of Mo nuclei produced during irradiation was estimated using exponential decay laws. Since the exact time of the end of the irradiation process was known, calculations were performed accordingly. The relatively long half-life of 99Mo, which is 66 hours, allows for activities to be measured and estimated even several days after the irradiation took place. The elapsed time between the end of irradiation and the start of counting varied, ranging from approximately 5 minutes to 60 hours. This variation was dependent on the activity of the irradiated target, as the goal was to lower the dead time of the detector and ensure the safety of the operator. The measured spectra are presented in Fig. 3.

Energy spectra of the 1.13 mm thick disc irradiated by 15.6 MeV electrons, measured 70 h and 136 h after irradiation.
The region of interests (ROIs) were selected for 181 keV, 366 keV, 740 keV, and 778 keV. Then the 99Mo activity was calculated after the Gaussian fit, as the averaged area under each energy peak, weighted by the decay probabilities. In Fig. 4 the two main γ-ray signals corresponding to 99Mo are presented: 740 keV (intensity 12.13%) and 778 keV (intensity 4.26%) [25].

The most characteristic lines confirming the presence of 99Mo after background extraction.
As a first step, for the internal verification of experiment coherence, the 99Mo half-life time was estimated based on the collected data for a 1.13 mm thick disk with the highest observed activities. To achieve this, the spectra were measured every hour and analyzed for 7 different points in time. The obtained result is 65.72(8) h, which is in good agreement with the literature T1/2 given as 65.924(6) h [26, 27]. The data from the induced activity were acquired in sequential 3600 s real-time counting periods, synchronized with the end of the irradiation. After each counting period, the spectra were saved for further analysis. Then, the produced activity was calculated using formula (1):
The comparison of the measured activities and Geant4 simulations results are presented in Table 1 and Table 2 for 12.6 MeV and 15.6 MeV, respectively.
Calculated activities (Geant4 simulations and experimental data) of 99Mo in targets after irradiations by 12.6 MeV electrons
| Target thickness (mm) | Time of irradiation (min) | f (Hz) | Measured A (kBq) | Simulated A (kBq) |
|---|---|---|---|---|
| 0.12 | 88 | 71.70 | 13 ± 4 | 17 ± 0.3 |
| 0.33 | 74 | 85.27 | 63 ± 8 | 60 ± 0.5 |
| 1.13 | 16 | 94.38 | 70 ± 7 | 64 ± 0.5 |
Calculated activities (Geant4 simulations and experimental data) of 99Mo in targets after irradiations by 15.6 MeV electrons
| Target thickness (mm) | Time of irradiation (min) | f (Hz) | Measured A (kBq) | Simulated A (kBq) |
|---|---|---|---|---|
| 0.12 | 62 | 35.33 | 36 ± 4 | 38 ± 0.9 |
| 0.33 | 52 | 59.79 | 152 ± 10 | 165 ± 1.6 |
| 1.13 | 224 | 6.46 | 653 ± 36 | 630 ± 3.4 |
The experimental uncertainties represent the total estimated error, while for the MC only the statistical error (1σ) is considered. According to the authors, the differences between the measured activities and Geant4 data are attributed to discrepancies in the beam energy measurement. These discrepancies arise due to the limited capabilities of the magnetic spectrometer used for electron beam energy measurements. To address this uncertainty, an estimated ±0.3 MeV uncertainty was introduced to the Geant4 model. In Fig. 5 and Fig. 6 the experimental results are presented along with both the minimum and maximum expected activities obtained from Monte Carlo simulations. This comparison allows for a comprehensive analysis of the experimental data and the range of possible outcomes predicted by the simulations.

Measured and expected activity of the molybdenum targets irradiated with the beam of an energy 12.6 MeV.

Measured and expected activity of the molybdenum targets irradiated with the beam of an energy 15.6 MeV.
As the experiment was realized using an electron beam, while the molybdenum became a conversion target for the bremsstrahlung radiation [28, 29], the activation was gained by the (e−, n) and (γ, n) reactions. Geant4 simulations give distinguished contributions from both types of reactions, see Table 3 and Table 4.
Geant4 simulation results of (e−, n) and (γ, n) reaction analysis for 12.6 MeV electrons
| Target thickness (mm) | Total nuclei of 99Mo produced per electron impinging on the target | Nuclei 99Mo produced through the (e−, n) reaction per electron impinging on the target | Ratio (e−, n)/total 99Mo |
|---|---|---|---|
| 0.12 | (3.5 ± 0.08)·10−9 | (2.5 ± 0.03)·10−9 | 0.74 |
| 0.33 | (1.35 ± 0.01)·10−8 | (0.70 ± 0.05)·10−8 | 0.51 |
| 1.13 | (6.85 ± 0.02)·10−8 | (1.70 ± 0.01)·10−8 | 0.25 |
Geant4 simulation results of (e−, n) and (γ, n) reaction analysis for 15.6 MeV electrons
| Target thickness (mm) | Total nuclei of 99Mo produced per electron impinging on the target | Nuclei 99Mo produced through the (e−, n) reaction per electron impinging on the target | Ratio (e−, n)/total 99Mo |
|---|---|---|---|
| 0.12 | (5.0 ± 0.1)·10−9 | (1.3 ± 0.01)·10−8 | 0.72 |
| 0.33 | (3.6 ± 0.04)·10−8 | (3.55 ± 0.01)·10−8 | 0.50 |
| 1.13 | (3.57 ± 0.02)·10−7 | (1.075 ± 0.002)·10−7 | 0.26 |
Monte Carlo simulations were in each case performed with 2E+09 source electrons and using cross-section biasing technique, with the biasing factor of 1E+09, to minimize the statistical uncertainty. For the photonuclear reaction in the GDR region (from neutron separation threshold up to 30 MeV incident γ-ray energy), Geant4 uses a parameterized cross-section based on fits to data measured for several stable nuclei. For the electronuclear reaction, Geant4 uses a cross-section calculated using the equivalent photon approximation (EPA) method of Weizsacker and Williams [30].
The most valuable advantage of accelerator-based 99Mo production is a lower amount of radioactive waste in comparison with retrieving in research nuclear reactors. What is more the accelerator could be turned on/off at any time. On the other hand, there is lower special activity of generated 99Mo and the medical production of accelerator-based method requires enhancement of isotope isolation and concentration as nuclear medicine requires high specific activity. As the ratio for gamma nuclear and electronuclear for thicker targes is greater than for thin ones, then using pure electron beam is not effective compared to the system with convertional target (e.g. made from tungsten or tantalum) – the bremsstrahlung radiation is increasing with Z2 (atomic number) of the element [28, 29]. The photonuclear reaction cross-section varies with the energy, according to the data from Geant4 e.g. for 6 MeV photons the cross-section for the reaction 100Mo(γ, n)99Mo is around 2.3 mb, and for photons 14 MeV is about 700 mb [30, 31]. There is a huge difference between the photonuclear reaction cross-section and electrodisintegration cross-section for 99Mo creation from 100Mo. For example, the electrodisintegration cross-section is around 1 mb for the 15 MeV electron beam. In general, the photonuclear reaction is a hundred times higher than for electodisintegration for energies above 10 MeV.
Taking into account additional uncertainties for the beam energy estimation, the results are in good agreement with Geant4 simulations, although similar experiments show that fitting the data does not always cover the estimated final results e.g. 63Cu [32] or 181Ta [33,34,35]. In the performed experiment, three different thicknesses were used, for increasing thickness the bremsstrahlung production and gamma-induced reaction play increasingly important roles [36]. However, as shown in Table 3, the electrodisintegration process can dominate in 99Mo production for thin targets. As the used energies were relatively low, the multiparticle reactions with gammas e.g. (γ, 2n) were avoided [14, 35]. The presented results complement previously published data [37] and for the 10–20 MeV energy region only Monte-Carlo simulations have been published yet.
All in all, the conducted experiments confirmed the production of 99Mo through direct electron beam irradiation and the results are in good agreement with GEANT4 simulations. What is more, those experiment results are the first published data for irradiation in that energy region. Furthermore, all carried out experiments results are important confirmation and proof of the 100Mo(e−, n)99Mo and 100Mo(γ, n)99Mo reactions cross-sections validity. If it comes to the feasibility and practicality of this approach for 99Mo production, the method used in carried out experiments is not beneficial as only the photonuclear way gives a high activation rate. Nevertheless, the whole system used during carrying out the experiments is a relatively simple construction structure and radiation shielding is not problematic then. Those two should be considered as the biggest advantage. The research is the demonstration and helps to fill the experimental results data for electrodisintegration nuclear reaction for middle-high energies. As expected cross-sections turned out to be relatively low and the production of the 99Mo that way is not efficient, the tested method is only a confirmation of expected results.