Fig. 1.

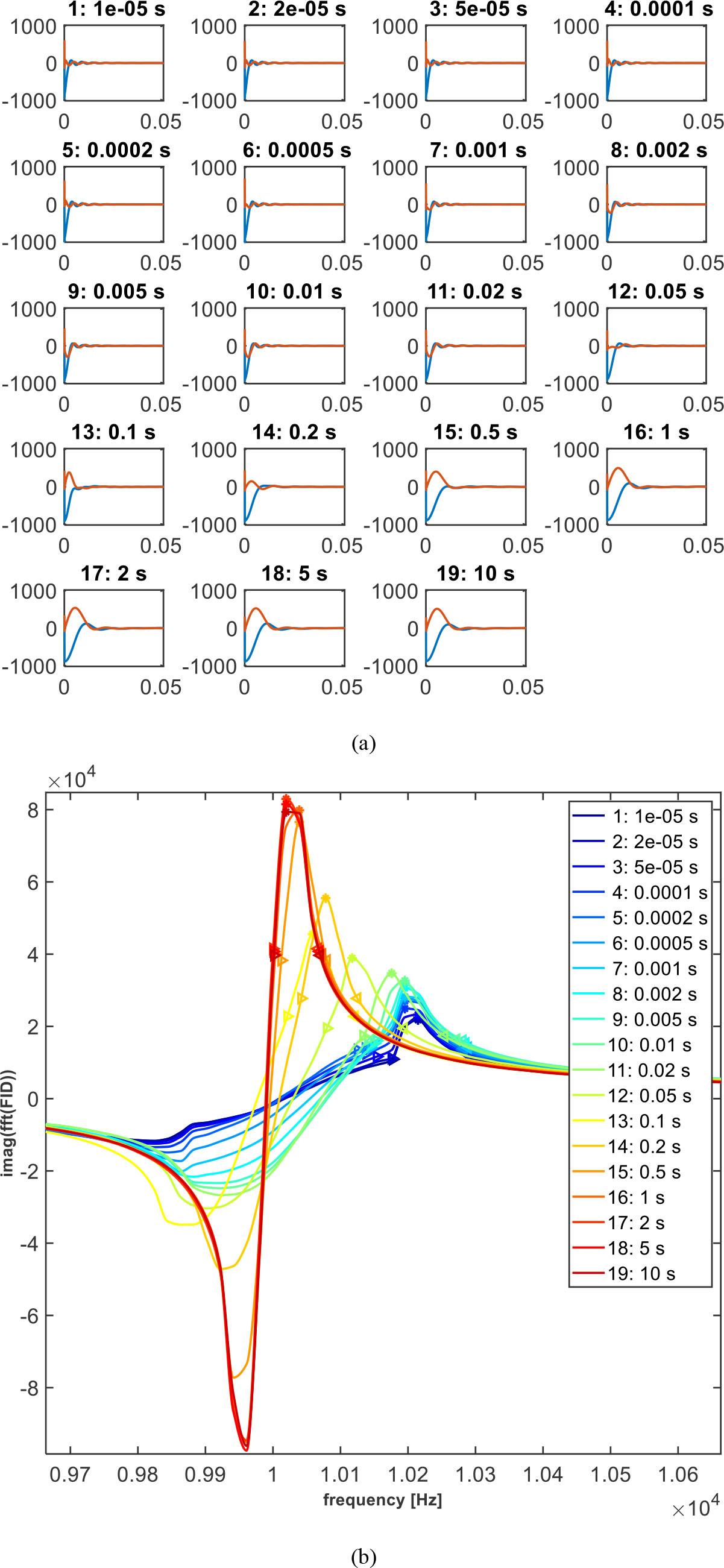
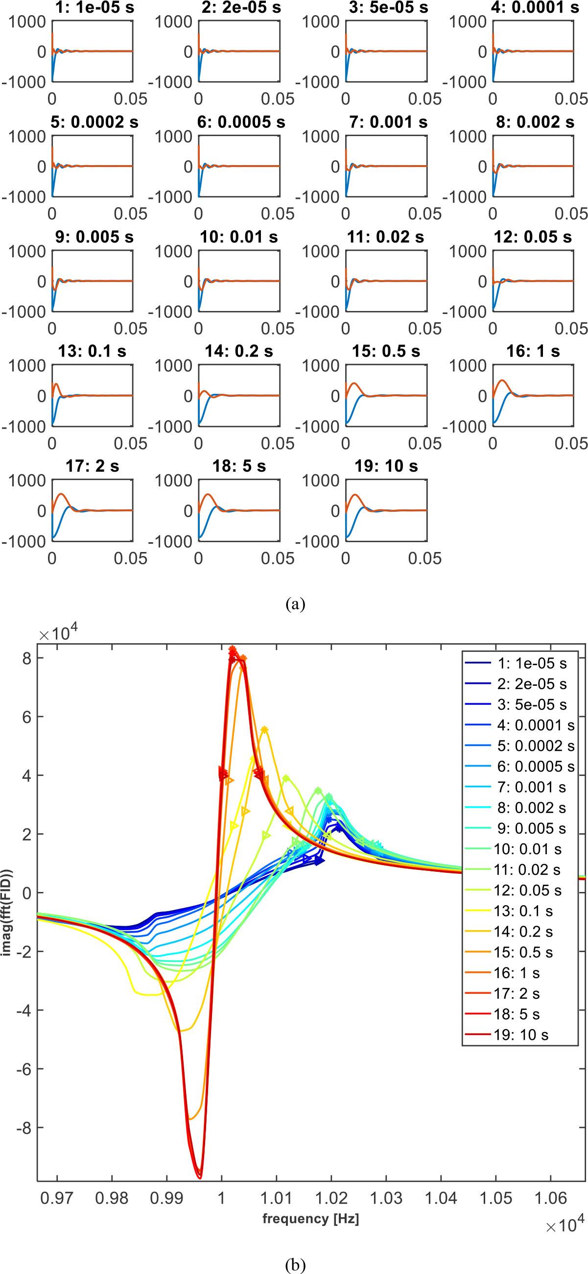
Fig. 2.

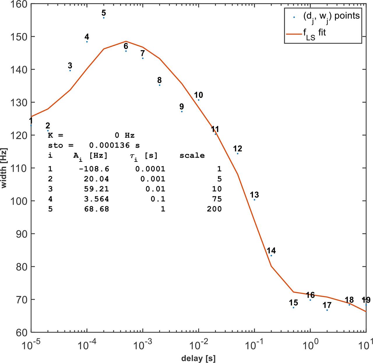
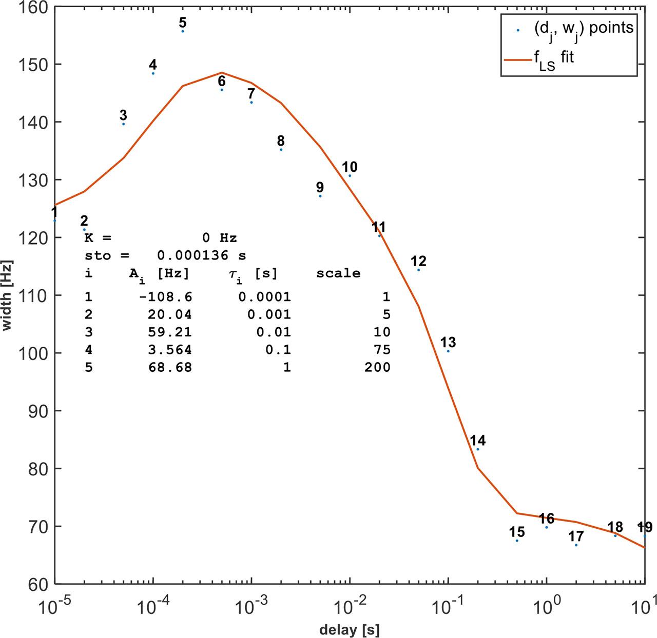
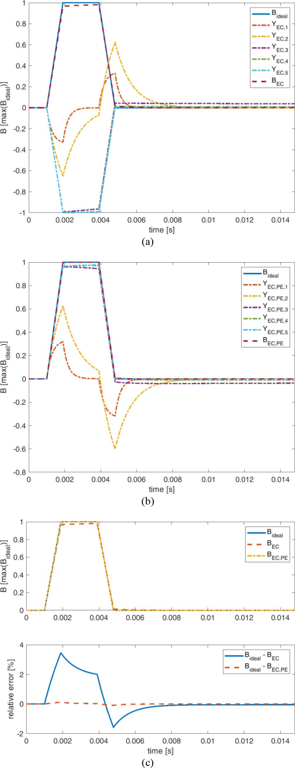
Fig. 3.

Fig. 4.

Fig. 5.

Fig. 6.

The correction values for APOLO console_
| Description | Grx | Gry | Grz |
|---|---|---|---|
| A0 | 50 | 50 | 50 |
| A1 | 67.055 | −2.9362 | 19.36 |
| A2 | 4.2602 | 0.54167 | 2.6 |
| A3 | 0.48708 | 1.6002 | 1.6099 |
| A4 | −0.60883 | 0.096324 | −0.27792 |
| A5 | 2.2315 | 1.8562 | 2.2057 |
| T1 [μs] | 100 | 100 | 100 |
| T2 [ms] | 1 | 1 | 1 |
| T3 [ms] | 10 | 10 | 10 |
| T4 [ms] | 100 | 100 | 100 |
| T5 [s] | 1 | 1 | 1 |
Values of parameters for simulations and experiments_
| Description | Symbol | Value | Unit |
|---|---|---|---|
| Common parameters: | |||
| Time step size | ∆t | 50 | μs |
| Gradient ramp time | tramp | 900 | μs |
| Gradient plateau time | tplato | 2 | ms |
| Gradient strength in GRD experiment | GrGRD | 20 | % |
| Gradient strength in GS experiment | GrGS | 2 | % |
| Peak width in GS experiment | wGS | 1191.1 | Hz |
| Number of EC sources | n | 5 | 1 |
| Simplified model of ECs effects gradient PE compensation: | |||
| Gradient max magnetic flux density | max (Bideal) | 1 | T |