The increased development of hybrid drive technologies in passenger and commercial vehicles since the beginning of the 21st century has quickly focused the attention on the hybridization of high-speed tracked vehicle powertrains [1], [2], [3]. Hybrid powertrains in passenger and commercial vehicles are mainly used to reduce fossil fuel consumption and meet ecological standards [4], [5]. The motives for hybrid powertrain development for high-speed tracked vehicles are completely different and are mainly based on increasing the powertrain energy potential, powertrain and overall vehicle performance for the tasks for which the vehicle is designed and intended [6]. Since the special purpose systems of high-speed tracked vehicles have high electrical power demands, one of the main motives for hybridizing these vehicles is to increase the available electrical energy to be stored in batteries and/or other types of electrical energy storage devices. Hybrid powertrains also enable the reduction of the vehicle thermal and acoustic image, which is of great importance for the tasks for which these vehicles are intended, as well as optimal internal combustion engine (ICE) working regimes and a significant increase in performance with lower vehicle mass in certain hybrid concepts [7], [8].
High-speed tracked vehicle powertrain hybridization also has a positive financial impact on fossil fuel consumption. In a research paper analyzing the benefits of the military vehicle hybridization, Khalil claims that certain hybrid concepts can lead to a reduction in fossil fuel consumption of up to 15–20 % while achieving an optimal working regime of the ICE [9].
Although there are numerous advantages to high-speed tracked vehicle powertrain hybridization, few platforms have been developed and almost none are in active use. The reason for this is that modern hybrid drive technology does not meet the requirements of extreme operating conditions such as high temperatures, varying terrain conditions and different loads due to the vehicle’s purpose and use in rough terrain [10], [11], [12]. One of the greatest obstacles for high-speed tracked vehicle hybrid drives is the development of an electrical energy storage and management system that provides sufficient energy transformation efficiency and energy density [13], [14], [15].
From a design perspective, hybrid drives for high-speed tracked vehicles are divided into two basic groups: series and parallel hybrids [16], [17]. Considering that there are numerous variations in the powertrain design of these vehicles, the listed group can be extended to include combined series-parallel and complex hybrids [18], [19]. In terms of the degree of hybridization, high-speed tracked vehicle hybrid drives can be classified in the same way as commercial use hybrid drives: micro, mild, full, and plug-in hybrid. The specificity of the high-speed tracked vehicle hybrid drives compared to commercial use hybrids is that the power parameters must be delivered to two outputs, i.e., the left and right tracks, regardless of the hybrid powertrain type and concept. The difference between the various hybrid drive types is whether the output mechanical energy is generated solely by electrical energy or by a combination of electrical and mechanical energy [20], [21].
This paper presents a mathematical model of a high-speed tracked vehicle hybrid drive which can be classified as a parallel hybrid system. The model was developed as an upgrade of the previously developed and tested mechanical powertrain vehicle model. The paper presents the comparison of the mechanical and hybrid powertrain models for the same high-speed tracked vehicle and the same workload conditions to analyze the differences in the power balance curves and evaluate the efficiency of the two powertrain models. The analyzed workloads result from the vehicle turning process, one of the most demanding working regimes from a power balance perspective [22], [23]. The main assumption is that a hybrid powertrain vehicle has a better power balance curve and energy efficiency during the turning process than a mechanical powertrain vehicle [24]. The main reason for this point of view is that the vehicle turns without power loss due to the friction elements slip, as well as the modified design of the turning mechanism and the vehicle control system.
The main objective of this paper is to validate the hybrid powertrain model and show the performance improvements achieved by modifying the existing mechanical powertrain construction. The real hybrid model will be developed based on the developed and tested simulation model.
The main objective of this paper is to present the advantages of a hybrid high-speed tracked vehicle powertrain by analyzing the powertrain and vehicle turning system and comparing it with the existing mechanical powertrain. The method used to prove the main assumptions of this paper is based on the comparison of the real vehicle simulation model and the hybrid vehicle simulation model. The real vehicle simulation model has already been created in previous research work and verified by experimental tests. The first step is therefore to further develop the existing vehicle model by adding an electric turning mechanism, making this powertrain a parallel hybrid. Both simulation models will then be tested under the same simulation conditions to observe improvements and differences in powertrain efficiency of these two models.
The subject vehicle is a high-speed tracked vehicle with a mechanical powertrain and two power flows, as shown in Fig. 1. Both the mechanical powertrain simulation model and the hybrid powertrain simulation model were developed based on the subject vehicle powertrain.

Real vehicle powertrain concept.
The powertrain shown in Fig. 1 is part of the real subject vehicle powertrain. The power output from the ICE (1), through the gearbox (2), summarizing planetary gear set (3) and to the drive wheels (4) is referred to as the main power flow. The main power flow is always active when the vehicle is in motion. The secondary power flow is referred to as the auxiliary power flow, which is only active when the vehicle is turning.
The subject vehicle has an asymmetric turning mechanism, i.e., when the vehicle enters the turning process, the outer track maintains the velocity of the vehicle’s center of mass during rectilinear movement, while the velocity of the center of mass and the inner track velocity are reduced [25]. The auxiliary power flow transfers the power from the ICE (1), through the auxiliary clutch (5) to the summarizing planetary gear set (3), where it is added to the power of the main power flow. The power parameters from the auxiliary power flow reduce the output angular velocity of the summarizing planetary gear set (towards the inner track), which results in a lower velocity of the inner track compared to the outer track. The inner track is the track with the lower velocity around which the vehicle is turning
The modernization proposed in this paper involves the replacement of both auxiliary clutches with electric motors, as shown in Fig. 2. The main purpose of replacing the auxiliary clutches with electric motors is to reduce the power loss in the turning mechanism, as well as supply the auxiliary power required for the turning process, which is currently provided only by the ICE. In addition, the modernized powertrain allows the vehicle to perform the pivot turn around the vehicle’s central axis, so that the vehicle can now have both a symmetrical and an asymmetrical turning mechanism, depending on the control system setup.

Hybrid vehicle powertrain concept.
The hybrid vehicle simulation model was developed in MATLAB Simulink [26] and is based on the real vehicle simulation model, which is explained and verified in detail in [27]. The hybrid powertrain model is basically the same as the previously developed and tested real vehicle powertrain model, with some improvements and changes. Therefore, only the differences between the mechanical and hybrid powertrain are discussed in this section.
The real vehicle model is equipped with a mechanical steering mechanism consisting of two friction clutches, placed in the auxiliary power flow of the powertrain, labeled S1 and S2, and friction brakes, labeled Mk1 and Mk2, Fig. 3. The friction clutches and brakes are engaged and disengaged from the control block, a signal builder block that defines physical signals for the auxiliary clutch models.

Mechanical powertrain model.
The key difference between the existing mechanical powertrain model and the hybrid powertrain model developed is that the auxiliary clutches are replaced by electric motors, which are housed in the auxiliary drive motor generators block, as shown in Fig. 4. The electric motors are directly connected to the auxiliary drive shafts and to the summarizing planetary gear sets. The auxiliary drive is not connected to the ICE as in the mechanical powertrain model.

Hybrid powertrain model.
The auxiliary friction clutches are replaced by synchronous electric motors powered by Li-ion batteries. Since there are no auxiliary friction clutches, their activation mechanisms are no longer necessary, so the control block no longer has clutch activation signals, but a signal representing the requested output rpm of the electric motors, labeled Mg1 and Mg2 in Fig. 5. This means that the vehicle turning process is controlled by regulating the angular velocity of the electric motors.

Hybrid vehicle model.
When the vehicle is moving straight, the input signal of the electric motors is zero, which means that the electric motors, i.e., the auxiliary shafts, are braked. If the requested electric motor rpm signals deviate from zero, the electric motors start to rotate with the intensity and direction corresponding to the signal value. Based on the requested electric motor rpm signal, the electric motor input parameters, such as voltage and electric current, are controlled so that the requested output parameters are achieved. The same signal controls the braking of the auxiliary shaft, so that the signals for engaging and disengaging the rectilinear brakes are also unnecessary.
In order to simulate the same conditions for mechanical and hybrid models, the hybrid model steering signal setup is such that the hybrid turning mechanism works like an asymmetrical one, i.e., the vehicle turns by increasing the electric motor rpm on the inner track while the electric motor on the outer track is braked. By increasing the electric motor rpm, the velocity of the inner track is reduced, while the outer track maintains the velocity of the vehicle’s center of mass during rectilinear movement.
The most important improvement to the hybrid powertrain model is the electric auxiliary drive model. The model is a replacement for the auxiliary friction clutches and provides torque and angular velocity to the turning mechanism via electric motors, instead of the portion of the ICE power. The electric auxiliary drive model is shown in Fig. 6.

Auxiliary drive model.
The model consists of two synchronous permanent magnet electric motors powered by a Li-ion battery. The battery model represents a direct current electrical power source with defined nominal voltage, rated capacity, state of charge and discharge characteristics.
The electric motors are parametrized according to the characteristics of the models available on the market. The electric motor models are complex models with braking choppers, speed controllers, three-phase inverters, etc. The electric motors are powered by three-phase current and are therefore equipped with three-phase inverters to convert the direct current from the battery. The models are parametrized down to the smallest detail for each subsystem they incorporate, such as resistance, inertia, inductance, number of pole pares, breaking chopper parameters, speed controller parameters, etc.
The electric motors are controlled from the control block by setting the desired electric motor output rpm. This is the input parameter for the electric motors. This signal controls the electric motor input parameters from the battery, such as the supply current and voltage required to achieve the desired mechanical output power parameters, such as angular velocity and mechanical torque.
The model is also equipped with various gauges and other means of observing the input and output parameters that are important for evaluating the electric motor efficiency.
If you replace the auxiliary clutches of the actual vehicle powertrain with electric motors, not only does the nature of the turning mechanism change, but it is also expected to have a significant impact on the power balance curve. The power distribution during the turning process of the hybrid vehicle powertrain is shown in Fig. 7.

Modernized hybrid powertrain kinematic scheme.
During the rectilinear movement, the brakes Mk1 and Mk2 are active and provide the braking force for the auxiliary shaft, i.e., the electric motor shaft, in the same way as in the real vehicle powertrain. When the turning process is initiated, the brake on the inner track is released, while the electric motor Mg1 or Mg2 is switched on at the same time. The power of the corresponding electric motor is combined with the power of the ICE and the main power flow in the corresponding summarizing planetary gear set, labeled SPP1/SPP2 in Fig. 7. In the real vehicle powertrain, the brake must first be released, in order to engage the auxiliary clutch. This leads to considerable power losses due to auxiliary clutch slip and to a delayed achievement of the calculated turning radius, which can only be achieved when the auxiliary clutch is fully engaged. The use of the electric motors instead of the auxiliary clutches neutralizes the slip losses, but more importantly, the electric motors allow an infinite number of calculated turning radii in the specified rpm range.
The theoretical argument for this assumption lies in the power balance formula (1) [28], [29],
P2, P1 – power delivered to the outer and inner track,
Pmz – ICE power required for the turning process,
Ps – power lost due to auxiliary clutch slip,
ηt, ηp – losses in powertrain mechanical components.
Replacing the auxiliary clutches with electric motors eliminates the power loss in the auxiliary power flow due to the clutch slip Ps, so that the ICE requires much less power for the turning process, as can be seen from (3).
As the auxiliary power flow is no longer driven by ICE but by electric motors, the turning process requires even less power from the ICE. The power delivered to the inner track by means of the auxiliary power flow depends solely on the electric motor parameters. The power delivered to the turning mechanism and added to the power from the main power flow is influenced by the regulation of the output power parameters of the electric motor.
In order to prove the previously stated theories, both hybrid and mechanical powertrain vehicle models are subjected to a test simulation in which the vehicles are turning with the same turning radius. Matching the turning radius of both vehicle models with the same simulation setup and the same terrain conditions leads to the same turning resistance. This allows us to accurately evaluate the efficiency of the two powertrains under the same driving conditions.
The simulation process is divided into two scenarios. In the first scenario, the hybrid powertrain model and the real mechanical vehicle model are compared in a turning scenario with the calculated turning radius corresponding to the fully engaged auxiliary clutch state of the mechanical powertrain. The execution of this simulation scenario shows the efficiency improvements in the power balance curve of the hybrid powertrain compared to the mechanical powertrain in the working regime of the mechanical powertrain, which is the most efficient.
The second simulation scenario involves comparing the two models in the same manner as in the first scenario, but with an undefined turning radius corresponding to the partially engaged auxiliary clutch state of the mechanical powertrain, the most common working regime of the vehicle powertrain. In this simulation scenario, an even greater difference between the power balance curves of the two models can be expected, as there are no slip losses in the hybrid powertrain that occur in the mechanical powertrain due to the auxiliary clutch slip.
The simulation starts from a steady state for both scenarios, by deactivating the main brakes K1 and K2, first gear is engaged in the gearbox, the ICE rpm remains constant and full throttle is applied, resulting in the same turning parameters for both models at the end of the simulation. The input signals for the mechanical and hybrid models are shown in Fig. 8 and Fig. 9.

Hybrid model control block signals.

Mechanical model control block signals.
First, the brake Mk1 for rectilinear movement on the inner track side of the mechanical powertrain is gradually released from t = 4–6 s, after which the auxiliary clutch S1 is gradually engaged. In the first simulation scenario, the auxiliary clutch S1 is fully engaged with an activation pressure of p = 6 bar, while in the second scenario it is partially engaged with an activation pressure of p = 3 bar. The hybrid model starts the turning process by engaging the Mg1 electric motor from the steady state at t = 4 s and reaching the required –1600 rpm at t = 6 s. The negative rpm value means that the electric motor rotates in the opposite direction to the positive rpm direction. The hybrid model does not require Mk1/Mk2 brakes in the simulation, as the electric motors are braked when the input speed signal is zero. The electric motor on the inner track is activated in the same time interval in which the Mk1 brake of the mechanical powertrain is released.
In order to achieve the calculated turning radius for the first simulation scenario, the auxiliary clutch of the mechanical powertrain must be fully engaged so that the power is transferred to the turning mechanism without slip. The hybrid powertrain has an infinite number of calculated turning radii, as the auxiliary friction clutches are replaced by the electric motors. There are no slip losses and the turning radius of the vehicle is influenced by the electric motor output rpm. In order to achieve the same turning radius as with the mechanical powertrain, the electric motor output rpm, i.e., the auxiliary shaft rpm is adapted to the rpm of the mechanical powertrain auxiliary shaft. Since the same kinematic parameters for the main and the auxiliary power flow are determined for both models, the two models turn with the same turning radius so that their power balance curves can be compared.
The second simulation scenario is performed in the same manner as the first, but the turning radius of the hybrid powertrain is adjusted to the corresponding turning radius of the mechanical powertrain when the auxiliary clutch is partially engaged. The vehicle with the mechanical powertrain turns with an undefined turning radius required by the vehicle driver.
The turning radius for both mechanical and hybrid powertrain models at the end of the turning process with the calculated turning radius (auxiliary clutch fully engaged) is shown in Fig. 10. Both vehicles start the turning process at the same time t = 4 s and under the same conditions with the same kinematic parameters for a goal. The vehicle with the mechanical powertrain reaches the calculated turning radius at t ≈ 10 s with the auxiliary clutch fully engaged. The vehicle with the hybrid powertrain achieves the same turning radius at t ≈ 6 s. This is due to differences in the turning mechanism design. Both powertrains start the turning process at the same moment t = 4 s, namely by releasing the brake of the auxiliary clutch in the mechanical powertrain, i.e., by switching on the electric motor in the hybrid powertrain. In the mechanical powertrain, the auxiliary clutch only starts to engage when the brake is fully released. In the hybrid powertrain, on the other hand, the electric motor has its own brake, which is released by switching on the electric motor as soon as it receives the electrical signal from the control block. This design improvement means that the hybrid powertrain achieves the desired turning radius significantly earlier than the mechanical powertrain.

Turning radius without auxiliary clutch slip.
In the second simulation scenario, the reference turning conditions for both vehicle models are those corresponding to the turning radius when the auxiliary clutch of the mechanical powertrain is partially engaged (p = 3 bar), which means that the auxiliary clutch transfers the power with some power loss due to clutch slip.
When the auxiliary clutch is engaged at half of the maximum activation pressure value, the mechanical powertrain reaches the turning radius of R = 13 m at t = 11.5 s, as shown in Fig. 11. The hybrid powertrain achieves the same turning radius at t = 5.5 s. As the turning radius of the vehicle is larger, the turning resistance decreases, so the time and power required to reach the desired turning radius should also decrease [30]. The hybrid powertrain confirms this and turns the vehicle faster than in the first scenario. However, the mechanical powertrain exhibits a certain delay and requires even more time than in the first scenario to perform the desired turning process. The reason for this is the auxiliary clutch slip and the power lost due to the partially engaged auxiliary clutch.

Turning radius with auxiliary clutch slip.
When it comes to the vehicle’s center of mass and track velocities, the values for the first simulation scenario of both hybrid and mechanical powertrain vehicles, are shown in Fig. 12. The turning radius of the vehicle depends directly on the track velocities and is achieved when the desired track velocities are reached, as shown in (4) [31].
B – vehicle track width,
V2, V1– outer and inner track velocities,
R – turning radius.

Track and center of mass velocities without auxiliary clutch slip.
Since the vehicle has an asymmetric turning mechanism, the outer track velocities for both vehicle models, labeled V2-hybrid and V2-mechanical, maintain the center of mass velocity of the rectilinear movement and have the same value [32]. In order to achieve the same turning radius, the inner track velocities of both mechanical and hybrid powertrain models must be reduced to the value V1-hybrid = V1-mechanical = 1 m/s. According to the turning radius, the hybrid powertrain reaches the inner track velocity at t ≈ 6 s, while the mechanical powertrain inner track velocity reaches the required value at t ≈ 10 s. The same applies to the vehicle’s center of mass velocities V-hybrid and V-mechanical.
The auxiliary clutch slip scenario shows a similar pattern, as can be seen in Fig. 13. As the turning radius is larger, the turning resistance is lower and the inner track velocities for both vehicle models are higher. The hybrid powertrain inner track reaches the required velocity V1-hybrid ≈ 2 m/s at the same moment t ≈ 6 s as in the first scenario, as there is no auxiliary clutch slip. The inner track of the mechanical powertrain reaches the same velocity V1-mechanical = 2 m/s slightly later than in the first scenario, at t ≈ 11.5 s, because the auxiliary clutch slips because it is partially engaged.

Track and center of mass velocities with auxiliary clutch slip.
All these results indicate that the vehicle with the hybrid powertrain has better kinematic and turning geometry parameters compared to the existing mechanical powertrain
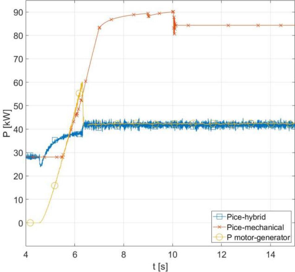
The most important argument to discuss and analyze is the effect of the hybrid powertrain improvement on the overall power balance curve. This is particularly important because the real vehicle mechanical powertrain consumes significantly more ICE power for turning than for the rectilinear movement [33]. We have seen that the hybrid powertrain achieves the desired trajectory and velocities significantly earlier than the mechanical powertrain, but what about power consumption? The power balance curve for the first simulation scenario, turning with the calculated turning radius in first gear, is shown in Fig. 14.

Power balance without auxiliary clutch slip – 1st gear.
The power required for turning is the same for both powertrains in order to overcome the resisting forces. However, this power is provided from different sources in these two powertrain models. In the mechanical powertrain, the total power required to turn the vehicle is provided by the ICE and is Pice-mechanical = 84 kW. In the hybrid powertrain, on the other hand, the electric motor supplies 41 kW (P motor-generator), while the ICE supplies 43 kW. This means that even in the most efficient working regime of the mechanical powertrain, the ICE power consumption is reduced by almost half by the hybrid improvement in first gear. In higher gears, the power distribution between the main and the auxiliary power flow is different, as shown in Fig. 15.

Power balance without auxiliary clutch slip – 2nd gear.
The ICE power distributed through the main power flow, increases, while the power distributed to the auxiliary power flow decreases. This leads to a higher load on the ICE. However, this is analyzed in the event that the electric motor rotates at the same rpm as the mechanical powertrain auxiliary shaft. The real advantage of the hybrid powertrain is that this power redistribution ratio can be changed so that the electric motor delivers more power and relieves the ICE.
It should be noted that some of the electrical energy for the batteries that drive the electric motors must be generated by the ICE, so that power consumption cannot be reduced by the mentioned rate. However, the electric motors are only activated for a short time, when the vehicle is turning, and the batteries can be recharged during rectilinear movement by regenerative braking and possibly by recuperation power during the turning process, so that the ICE power consumption for battery recharging during the turning process is minimal.
As the most efficient vehicle working regime is rare, the most common working regime is also analyzed, namely when the driver slightly corrects the vehicle trajectory while partially engaging the auxiliary clutch, as shown in Fig. 16.

Power balance with auxiliary clutch slip.
It is obvious that both vehicles are turning with the larger turning radius, so the total power required to turn the vehicles is slightly lower as the turning resistance is lower. In this scenario, however, these two power values are not equal, as there is no clutch slip in the hybrid powertrain. The total power required to turn with a hybrid powertrain is 42 kW, of which the electric motor supplies 7 kW (P motor-generator), while the ICE supplies 35 kW (Pice-hybrid). The mechanical powertrain requires 62 kW (Pice-mechanical with clutch slip), from the ICE alone, to make a turn with the selected turning radius. This proves that the hybrid powertrain improves the power balance curve of the vehicle, for any working regime of the actual vehicle. It is noted that the power loss due to clutch slip in the mechanical powertrain is about 25 %, as discussed in [34].
The hybrid powertrain model developed has numerous advantages over the mechanical powertrain model, both in terms of performance and efficiency. The design improvements of the hybrid powertrain allow the vehicle to reach the required turning radius earlier and reduce the duration of the turning process by approximately 40 % compared to the most power-efficient turning scenario of the mechanical powertrain – with a fully engaged auxiliary clutch. The hybrid powertrain allows the vehicle to turn with an infinite number of calculated turning radii corresponding to the electric motor rpm range, without any power loss due to friction element slip. This results in less ICE and total power being consumed for the turning process, about 25 % less power compared to the working regime where the auxiliary clutch is engaged at half the maximum activation pressure. However, the steering on these vehicles is usually only used for small trajectory corrections, which means that in most cases the auxiliary clutch is engaged with even lower activation pressures. This leads to a high auxiliary clutch slip and thus to high slip losses. As a result, the difference in power consumption between the hybrid model and the mechanical model is even greater in favor of the hybrid model. However, the hybrid powertrain model is set to work as an asymmetrical turning mechanism powertrain, which is the most inefficient working regime of this powertrain. This is done to analyze the turning process efficiency for both models under the same conditions.
The real improvements in power efficiency can be observed when the hybrid powertrain is used as a symmetrical turning mechanism powertrain. Different settings of the electric motor input signals offer numerous possibilities in the transformation of the turning mechanism type. If you set the control signals so that the electric motors can rotate in both directions, the turning process can become completely symmetrical by simultaneously increasing the rpm of both electric motors, only in different directions. This is a great improvement for the overall maneuverability of the vehicle and will be the main goal of further research with this model.
The hybrid powertrain model offers the possibility to completely change the working principle of the mechanical high-speed tracked vehicle powertrain and to analyze the advantages of the symmetrical turning mechanisms in general. The model is highly adaptable to different powertrain and turning mechanism designs. This modernization of the existing mechanical powertrains allows for a smaller thermal and acoustic image of the vehicle, overcoming the most demanding obstacles and high-load conditions in the most efficient working regime of the electric motors with high power balance efficiency, as well as using the vehicle as an all-electric powered vehicle. The model allows numerous options and variations before the realization of the real vehicle.