Figure 1

Figure 2

Figure 3

Figure 4

Figure 5

Figure 6

Figure 7

Figure 8

Figure 9

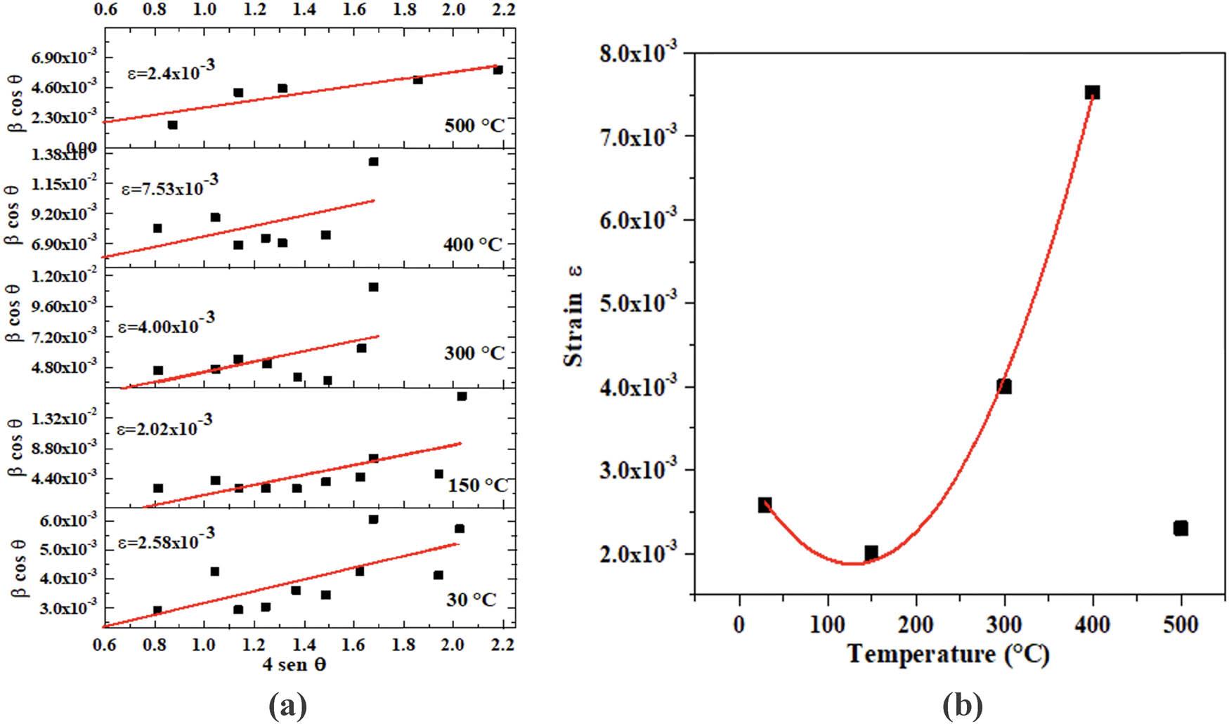
Figure 10

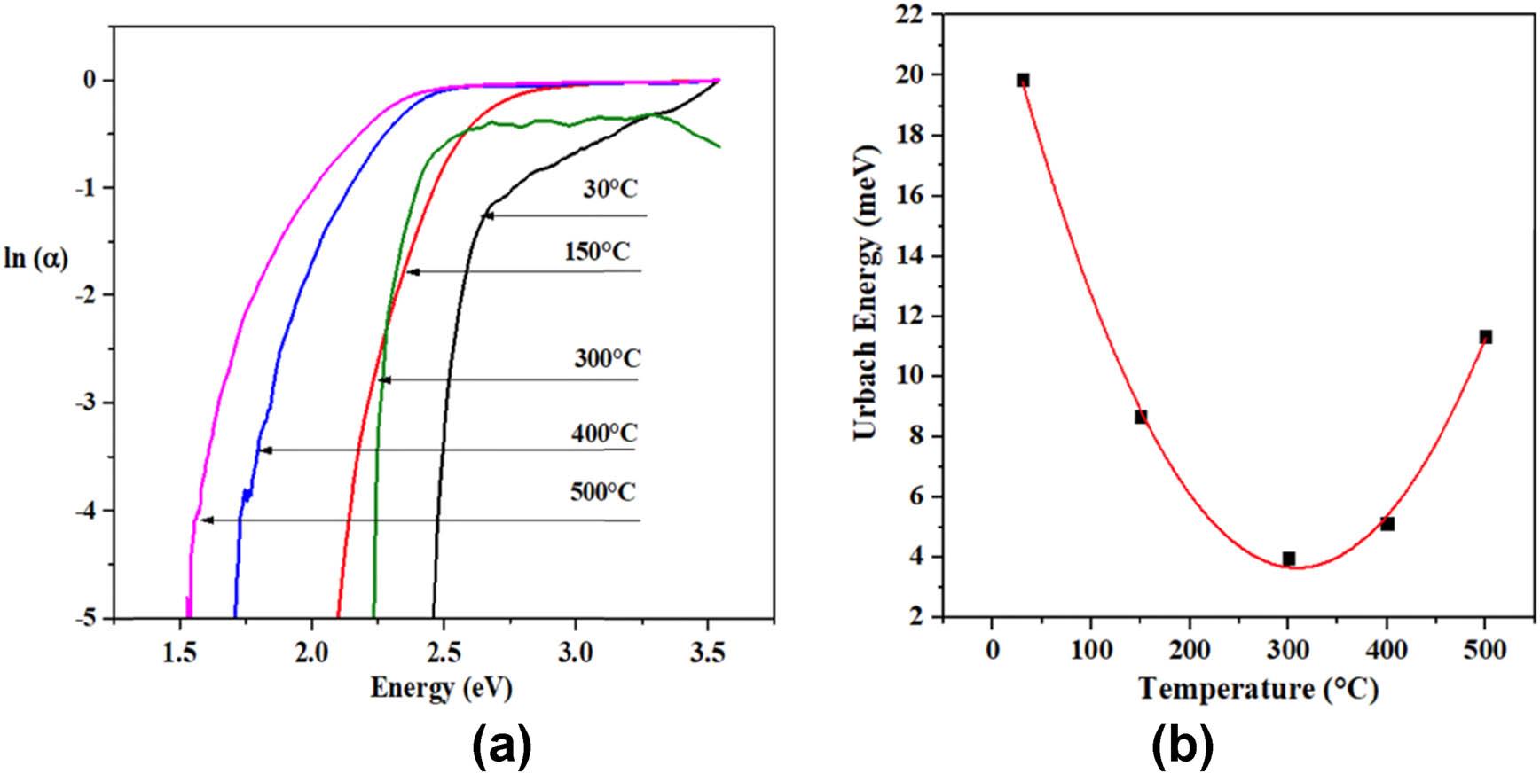
Figure 11

Figure 12

Figure 13

Figure 14

Figure 15

Figure 16

Figure 17

Experimental values for the bandgap energy (E g) of the 30°C, 150°C, 300°C, 400°C, and 500°C samples
| Temperature (°C) | E g (eV) |
|---|---|
| 30 | 2.37 |
| 150 | 2.31 |
| 300 | 2.17 |
| 400 | 2.06 |
| 500 | 1.87 |
Lattice parameters a and c, microstrain, and dislocation density (δ) of the 30°C, 150°C, 300°C, 400°C, and 500°C thin films_
| Sample (°C) | a (Å) | c (Å) | Microstrain | Dislocation density γ (lines/m2) |
|---|---|---|---|---|
| 30 | 4.947 | 16.263 | 1.144 × 10−4 | 3.8 × 1014 |
| 150 | 4.940 | 16.231 | 1.173 × 10−4 | 4.39 × 1014 |
| 300 | 4.9231 | 16.292 | 1.19 × 10−4 | 7.08 × 1014 |
| 400 | 4.9469 | 16.266 | 3.92 × 10−4 | 2.01 × 1014 |
| 500 | 4.9489 | 16.247 | 2.69 × 10−4 | 6.30 × 1014 |