II–VI group semiconductors are important materials because of their wide range of applications in electronic devices [1]. The importance of II–VI compounds as high refractive index materials in multilayer has been recognized because of their full transparency over a broad wavelength range [2]. Zinc telluride has a direct bandgap of 2.6 eV, therefore suitable for devices operating in the visible region of the electromagnetic spectrum [3] owing to its ability to emit green light [4]. In addition, ZnTe with its small valence-band offset (0.05 eV) to CdTe [5] is an excellent material as back contact for a CdTe-based solar cell. Several experimental techniques are usually used to deposit ZnTe films, including conventional quenching technique [1], resistance heating of a quartz crucible [2], resistive heating thermal evaporation [6], pulsed laser deposition [7], screen printing [8], closed space sublimation [9], electro-deposition [10], sputtering [5], brush plating [11], electron beam evaporation [12], melt quenching technique [13], stacked elemental layer [14], and chemical bath deposition [15]. Typically, intrinsic ZnTe films are mostly p-type semiconductors with a low electron affinity of 3.53 eV [1], and they usually have a cubic zinc blend structure [16] with a high resistivity of 106–107 Ω-cm (i.e., almost all insulators) [17]. A common method to enhance the electrical conductivity of p-type materials is to introduce acceptor atoms from either group I elements (such as Cu [18] or Ag [4]) or group V elements (such as Sb [19], N [20], or As [21]). It should be noted here that group I elements prefer to substitute for Zn [16], while group V elements prefer to replace Te in the lattice structure [22]. Antimony is one of the most suitable candidates for ZnTe doping because antimony and tellurium atomic radii are close to each other; consequently, doping with Sb results in minimal distortion in the crystal structure. ZnTe:Sb is mostly prepared by the deposition of Sb films between two ZnTe layers [22] or co-evaporation of ZnTe as compound and Sb using two sources [19].
In this study, ZnTe:Sb films were deposited by the simultaneous thermal evaporation of Zn, Te, and Sb using three different sources. This method enables the control of the evaporation rate of each element in order to achieve heavily doped ZnTe films. The purpose of this study was to determine the best deposition parameters for achieving high-conductivity films and to investigate the effect of these parameters on the optical, electrical, and structural characteristics of the resulting ZnTe films.
High-purity Zn, Te, and Sb (>99.99%) were used as elemental source materials for evaporation. The materials were placed into three separate graphite crucibles, each with a ∼2 mm diameter hole on its top to serve as a point source. Each graphite crucible was heated independently via a 500 W quartz lamp. The lamps were connected to the main electric source through temperature controllers with K-type thermocouples inserted into each crucible. Another thermocouple was inserted in the substrate holder to control the IR substrate heater. The source-to-substrate distance was set at 12 cm. The evaporation was carried out under a base pressure of ∼10−7 torr with the help of rotary and diffusion pumps and a liquid nitrogen trap. The evaporation rate was monitored by using quartz crystals. The films were deposited on Corning 7059 glass substrates freshly cleaned in isopropyl alcohol, placed inside an ultrasonic cleaner, and then dried with nitrogen gas. A mechanical shutter was placed under the substrate to avoid undesired deposition before and after setting the required temperature at which the source materials began to evaporate uniformly. The Zn and Te temperatures were fixed at 540 and 480°C, respectively (i.e., the flux ratio Zn/Te was ∼2). These parameters are essential for obtaining stoichiometric films and reducing vacancies, which may lead to complex defects in the samples [17]. The Sb source temperature was varied from 560 to 640°C for the different films. Two sets of samples were prepared at substrate temperatures of 250 and 350°C as listed in Table 1. The source materials were sintered at 400°C for 5 min. The temperature was then gradually increased to the desired deposition temperature, at which point the shutter was opened for 3 min to begin deposition. Following the deposition, the shutter was placed below the substrate, and the source heaters were turned off while keeping the film at the deposition temperature for 30 min. Finally, the substrate heater was turned off, which allowed the system to cool to room temperature.
Deposition parameters.
| Film number | Substrate temp. (°C) | Sb source temp. (°C) | Zn source temp. (°C) | Te source temp. (°C) | Sb evaporation rate (nm/s) |
|---|---|---|---|---|---|
| Za1 | 250 | — | 540 | 480 | — |
| Za2 | 250 | 560 | 540 | 480 | 1.1 |
| Za3 | 250 | 600 | 540 | 480 | 2.9 |
| Za4 | 250 | 640 | 540 | 480 | 5.2 |
| Zb1 | 350 | — | 540 | 480 | |
| Zb2 | 350 | 560 | 540 | 480 | 1.1 |
| Zb3 | 350 | 600 | 540 | 480 | 2.9 |
| Zb4 | 350 | 640 | 540 | 480 | 5.2 |
The composition of the prepared films was evaluated using energy dispersive X-ray spectrometry (EDX) attached to a scanning electron microscope (SEM). The structure of the films was determined using X-ray diffraction (XRD) with Cu-Kα1 (λ = 1.541 nm) radiation. The optical transmission spectra in the range of 400–2,000 nm were recorded using a Perkin-Elmer UV–VIS–NIR spectrophotometer (Lambda19, supported with UV-WinLab software). The dark electrical DC conductivities were measured by cutting pieces of the films and evaporating the Au contacts, matching the van der Pauw geometry. Conductivity measurements were conducted in the temperature range of 30–170°C.
Visual inspection of the films revealed that all the films adhered well to the substrate. The ZnTe films were transparent and had a bright orange color; however, as the Sb content increased, they started to lose their transparency and changed color to red-grayish.
XRD was used to determine the structures of the films. XRD patterns depicted in Figure 1 show that all samples have a cubic zinc blend structure, with interplanar spacing (d) agreeing with the data given by JCPDC No. 15-0746 for the cubic phase of ZnTe. Six different peaks indexed to (111), (220), (311), (400), (331), and (422) were observed for the ZnTe films with no Sb content. However, some of the peaks nearly disappeared when the films were deposited in the presence of Sb vapor, and the films became more oriented in the (111) direction. The cubic structure of ZnTe films with a preferred (111) orientation has been reported by many authors for ZnTe films deposited using various methods including films in which deposition was by sputtering [23], thermal evaporation [3], pulsed laser deposition [18], brush plated [11], and closed space sublimation [24]. It should be mentioned here that there were no peaks that could be attributed to antimony or antimony compounds, which might be due to the limited amount of Sb. The lattice constant of the films was ∼0.613 nm, which almost matches the value reported for the ZnTe powder. Moreover, there is no noticeable lattice constant difference between ZnTe:Sb and ZnTe because Sb and Te have similar ionic radii of 140 pm and 145 pm, respectively. The average crystallite size (calculated using Scherrer’s formula) of the films deposited at 350°C is 22 ± 2 nm. However, the grain size increases with increasing Sb evaporation rate and reaches 31 nm for Za4. This increase in the grain size is most likely attributed to an increase in the film thickness.

XRD patterns of the prepared films.
The EDX spectra presented in Figure 2 clearly show the presence of Sb in the films. In particular, sample Za4 contained large quantities of Sb. This sample was prepared with a high Sb source temperature at a substrate temperature of 250°C. Small oxygen and Si peaks, mainly from the substrate, were excluded from the calculations. The Zn, Te, and Sb (element %) ratios are listed in Table 2. For films deposited at 250°C, the increase in the Sb ratio was directly proportional to the Sb evaporation rate. However, films deposited at 350°C showed much lower Sb content, which might be due to the re-evaporation of Sb atoms from the surface of the substrate. This result agrees with Barati et al. [22] who reported that no Sb was detected in the films deposited at a substrate temperature of 420°C, even at high Sb evaporation rates. Romeo et al. explained that the high resistivity of films deposited at 300°C is due to re-evaporation of Sb from the substrate surface. In conclusion, a high Sb ratio could be easily achieved at a moderate substrate temperature of 250°C.

EDX spectra of films Za1 to Za4.
EDX and conductivity results.
| Film number | Zn ratio element % (±2%) | Te ratio element % (±2%) | Sb ratio element % (±2%) | Resistivity at 30°C (Ω-cm) | Conductivity activation energy (eV) |
|---|---|---|---|---|---|
| Za1 | 50.44 | 49.56 | — | 8.93 × 106 | 0.68 |
| Za2 | 50.33 | 47.27 | 2.44 | 1.62 × 102 | 0.21 |
| Za3 | 49.54 | 44.28 | 8.18 | 1.34 × 101 | 0.09 |
| Za4 | 49.28 | 37.76 | 12.96 | 3.30 × 10−1 | 0.06 |
| Zb1 | 50.14 | 49.86 | — | 6.72 × 107 | 0.76 |
| Zb2 | 50.13 | 49.87 | — | 2.71 × 103 | 0.27 |
| Zb3 | 50.16 | 49.84 | — | 8.70 × 102 | 0.21 |
| Zb4 | 50.10 | 48.49 | 1. 41 | 2.72 × 102 | 0.18 |
The SEM images in Figure 3 show a featureless surface with a pinhole-free, homogeneous, smooth, and uniform distribution. In addition, the films covered the entire substrate surface. Sample Za4, deposited at 250°C with a high Sb evaporation rate, shows some sort of surface randomness with clusters of varied sizes appearing at different points. This could be attributed to the nanostructure with densely packed connected fine grains [13] and the improvement in the crystalline size with doping. The SEM image of film number Za4 shows black flower-like spots, where the ratio of antimony inside these spots was 13.23% which is close to the ratio outside them (12.96 at%).

SEM micrographs of films Za4 (with two resolutions), Zb1, and Zb3.
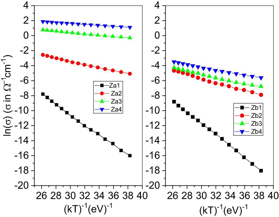
The samples used for electrical measurements were prepared by cutting a square of 1 cm2 of the sample and evaporating gold contacts of equal size. A silver paste was used to connect the wires to the sample. The dark DC conductivity (σ) was measured under vacuum in the temperature range 30–170°C. In this temperature range, DC conductivity can be expressed as [25] σ = σ(0) Exp[−(E
f
– E
v
)/(kT)]. Here, E
v
is the critical energy at which the delocalization of states in the valence band occurs, k is the Boltzmann constant, σ(0) is the conductivity at 1/T = 0, and E
f
is the Fermi energy level. The dark conductivity activation energy

A plot of ln(σ) against 1/kT along with the linear fit of the data.

A plot of ln(σ) against 1/kT of the films.
Increasing the Sb content led to a noticeable decrease in the activation energy and room-temperature resistivity. The activation energy in our case (0.68 eV) is close to that mentioned in the literature (0.65 eV) [16]. The minimum activation energy and room-temperature resistivity were found in sample Za4, which was deposited at 250°C with a high Sb evaporation rate. Relatively higher activation energies and resistivities were observed for the films deposited at 350°C. The decrease in the activation energy is attributed to the increase in Sb concentration, which led to strong interactions among the impurities, causing the Fermi level to shift closer to the valence band.
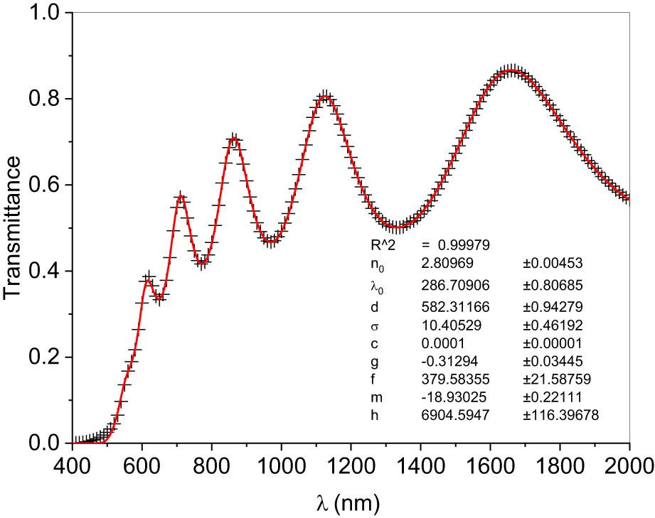
Films free of antimony are transparent and have a bright orange color. However, as the Sb ratio increased, the transparency of the films gradually decreased. This was clearly observed for the film deposited at 250°C compared to other films prepared at 350°C, as shown in Figure 6. The film thickness (d), mean square surface roughness (σ), and refractive index (n) were evaluated by fitting the experimental normal transmission (T) data to the following equations [26]:

A plot of transmittance against wavelength of all deposited films.
Equation (1) represents the normal transmittance of light through a film deposited on a transparent substrate assuming k
2
≪ n
2
, where
The symbols in equations (2)–(8) have the following meaning: n s is the refractive index of the glass substrate, α is the absorption coefficient of the films, λ is the photon wavelength, and k is the extinction coefficient.
The refractive index of the substrate can be expressed as

Transmittance data along with the fitting curve of Zb4.
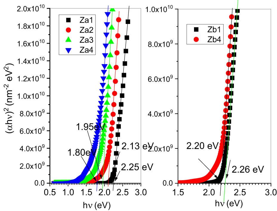
In the case of an allowed direct transition, α varies with the photon energy (hν) as αhν = A′(hν – E g)1/2. This relation is known as Tauc’s direct optical transition model, where A is a constant that depends on the optical transition probability [5] and E g is the optical energy gap. E g can be extracted from (αhν) 2 against the photon energy by extrapolating the linear portion of (αhν)2 versus hν to intercept the x-axis at α = 0, as shown in Figure 8.

A plot of (αhν)2 against photon energy (hν).
The film thickness along with the root mean square surface roughness and refractive index as a function of the wavelength and optical energy gap is listed in Table 3. The results showed that at a substrate temperature of 250°C, the film thickness increased with the antimony evaporation rate. This is because the Zn to Te vapor flux ratio is almost 2, which allows the Sb atoms to substitute for the Te deficiency. Furthermore, excess Zn will not be re-evaporated, as in the case of the pure ZnTe films. However, a higher substrate temperature (350°C) caused Sb atoms to re-evaporate faster, leading to a much smaller amount of Sb in the prepared films. This is because there was no observable change in the film thickness and surface roughness, although there was a relatively small change in the refractive indices and optical energy gaps of the films. This increase in the refractive index and decrease in the optical energy gap were mostly due to the doping process, as in the case of silver doping [16] and copper doping [28], the refractive index increases with increases with doping concentration. The conductivity was observed to increase by several orders of magnitude, making the material suitable for applications that require medium conductivity and good optical quality, such as window layers for solar cells and other optical devices. Moreover, films deposited at 250°C showed a significant increase in the refractive index accompanied by a clear narrowing of the optical energy gap, an increase in the absorption region, and a large improvement in the electrical conductivity of the ZnTe films. This makes the material suitable for use as a back contact for CdTe solar cells.
Results of the calculated optical parameters.
| Film number | Thickness (nm) | Root mean square roughness (nm) |
| Energy gap (eV) | |
|---|---|---|---|---|---|
| n o | λ o (nm) | ||||
| Za1 | 653 ± 3 | 12.3 ± 0.7 | 2.72 ± 0.01 | 292.5 ± 1.1 | 2.25 ± 0.005 |
| Za2 | 756 ± 1 | 09.9 ± 0.5 | 2.94 ± 0.01 | 299.7 ± 0.7 | 2.13 ± 0.005 |
| Za3 | 876 ± 3 | 16.0 ± 0.7 | 2.97 ± 0.01 | 348 ± 1.5 | 1.95 ± 0.005 |
| Za4 | 954 ± 4 | 18.2 ± 1.0 | 3.06 ± 0.02 | 363 ± 2.5 | 1.80 ± 0.005 |
| Zb1 | 660 ± 3 | 12.6 ± 0.7 | 2.71 ± 0.01 | 294.8 ± 1.0 | 2.26 ± 0.005 |
| Zb2 | 616 ± 2 | 9.7 ± 0.8 | 2.72 ± 0.01 | 298.5 ± 1.0 | 2.25 ± 0.005 |
| Zb3 | 601 ± 2 | 10.3 ± 0.6 | 2.76 ± 0.01 | 295.9 ± 0.9 | 2.22 ± 0.005 |
| Zb4 | 582 ± 1 | 10.4 ± 0.5 | 2.81 ± 0.01 | 286.7 ± 0.8 | 2.20 ± 0.005 |
Thermal evaporation of elemental Zn, Te, and Sb sources was used to deposit heavily antimony-doped ZnTe films onto a glass substrate. This method enabled precise control over the evaporation rate of each element. Furthermore, ZnTe:Sb films were deposited at substrate temperature of 250 and 350°C. The presence of antimony in the films was confirmed by EDX measurements. All films exhibited a zinc blend structure with preferred orientation along the (111) direction. ZnTe films deposited at 350°C have a low Sb content (<2 at%) even at high Sb evaporation rates. Nevertheless, this small amount has a noticeable effect on the physical properties of the films. The room temperature resistivity was observed to decrease from 6.7 × 107 to 270 Ω-cm, and the dark conductivity activation energy was reduced from 0.76 to 0.18 eV. This is accompanied by a slight increase in the refractive index, a decrease in the optical bandgap from 2.26 to 2.20 eV, and a slight change in the optical transmittance. Improving the conductivity with little change in the optical properties makes these films suitable for various optical applications. However, the room-temperature resistivity and activation energy of other films deposited at 250°C dropped to 0.33 Ω-cm and 0.06 eV, respectively. However, this low resistivity of the films is accompanied by a critical increase in the refractive index, low transmittance, and a reduction of the optical energy gap from 2.6 to 1.8 eV. Such desirable characteristics make the films suitable for application as a back contact for CdTe-based solar cells.
The financial support provided by Hashemite University and Zarqa University is gratefully acknowledged.
Authors state no funding involved.
Akram Aqili: Conducting experiment, performing data analysis, original draft, Writing, review and editing. Anas Y. Al-Reyahi: Writing – review & editing, Mufeed Maghrabi: Review & editing.
Authors state no conflict of interest.
Data will be made available on request.