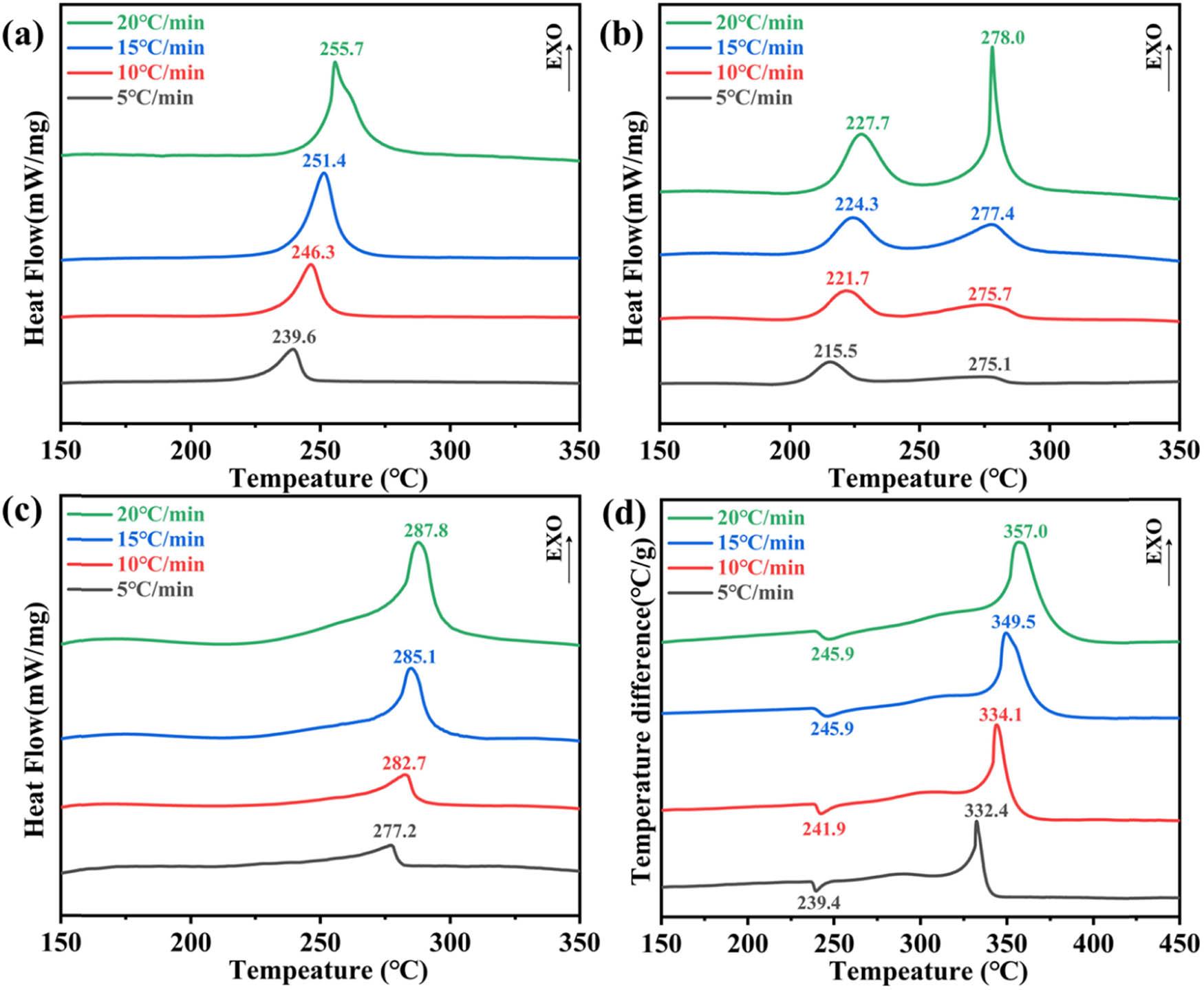
Figure 1

Figure 2

Figure 3

Figure 4

Figure 5

Figure 6

Figure 7

Figure 8

Figure 9

Kinetic parameters of energetic material catalysts_
| Energetic material catalysts | β/(°C/min) | Kinetic calculation parameters | ||||
|---|---|---|---|---|---|---|
| 5 | 10 | 15 | 20 | Kissinger’s method | ||
| E k (kJ/mol) | R | |||||
| CL20-CuCBx | 512.75 | 519.45 | 524.55 | 528.85 | 203.37 | 0.9565 |
| FOX-7-CuCBx | 548.25 | 548.85 | 550.55 | 551.15 | 1012.96 | 0.9887 |
| HMX-CuCBx | 550.35 | 555.85 | 558.25 | 560.95 | 350.42 | 0.9563 |
| AP-CuCBx | 569.55 | 571.25 | 586.65 | 594.15 | 118.54 | 0.8955 |
| CL-20 | 518.35 | 526.25 | 529.85 | 532.25 | 234.76 | 0.9968 |
| FOX-7 | 568.55 | 571.05 | 571.25 | 572.25 | 1056.39 | 0.972 |
| HMX | 556.45 | 559.85 | 561.75 | 563.45 | 530.88 | 0.0004 |
| AP | 551.65 | 566.95 | 576.85 | 582.25 | 128.62 | 0.9993 |