In 1942, Paul Schlack, an American chemist, patented an epoxy resin [1]. This patent laid the foundation for the development and research of epoxy resins. Subsequently, in 1946, Ciba Specialty Chemicals of Switzerland developed the earliest epoxy bonding agent, which opened the way for epoxy resins to be pioneered in the industry. In 1958, PLAX CORP of the U.S.A. developed epoxy coatings [2], which added new possibilities for epoxy resins in the field of application.
So far, there are various types of epoxy resins, mainly including bisphenol A-type epoxy resins [3], bisphenol F-type epoxy resins [4], polyphenol glycidyl ether epoxy resins [5, 6], aliphatic glycidyl ether epoxy resins [7, 8], glycidyl ester epoxy resins [9], and silicone epoxy resin [10, 11], which are six major categories. The first five categories have been studied relatively more, while silicone epoxy resins [12, 13] have been studied less. Organosilicon epoxy resins have attracted much attention in the fields of semiconductor components [14, 15], LED encapsulation [16], and large electronic devices [17, 18]. With the increasing integration of integrated circuits, the miniaturization of chip size [19], and the improvement of encapsulation speed, the previous epoxy resins can no longer meet the performance requirements, and to meet the requirements of modern electronic encapsulation, the epoxy resins should have the characteristics of excellent resistance to humidity and heat, low stress, dielectric [20], and high hardness [21]. Compared with conventional epoxy resins, silicone epoxy resins can reduce internal stress and improve key properties such as toughness, high-temperature resistance, mechanical impact resistance [22], and corrosion resistance [23], which are of great significance to related industries.
The article describes the synthesis of a new organosilicon epoxy compound through the silicon-hydrogen addition reaction between triphenylsilane (TPS) monomer and 1,2-epoxy-4-vinylcyclohexane (EVC) monomer. The synthesized [2-(3,4-epoxycyclohexyl) ethyl] triphenylsilane (ECETPS) was subjected to amine curing experiments by mixing it with bisphenol A-type epoxy resin E-51 and modified amine (593 amine) to study the thermal stability and mechanical properties of the cured samples. It is noteworthy that this synthesized compound has not been reported in the literature.
Triphenylsilane (97.0%) was purchased from Shanghai Haohong Biomedical Technology Co., Ltd.; 1,2-epoxy-4-vinylcyclohexane (99.0%) was purchased from Jiangsu Tytel New Material Technology Co., Ltd.; Karstedt catalyst (99.5%) purchased from Shanghai Aladdin Technology Co., Ltd.; Wilkinson Catalyst (99.0%) from Sinopec Baling Petrochemical Co., Ltd.; Toluene (99.5%) was purchased from Tianjin Kemiou Chemical Reagent Co., Ltd.; 593 amine (98.0%) was purchased from Shanghai Resin Factory Co., Ltd.
The synthesis was conducted using the DF-1015 heat-collecting magnetic stirrer from Shanghai Fangrui Instrument Co., Ltd. Rotary evaporation was performed using the XD-52AA rotary evaporator from Shanghai Xiande Instrument Experiment Co., Ltd., along with the XDYQ-5/10 low-temperature circulating pump and SHZ-5 circulating water vacuum pump. The synthesized photosensitive resin was characterized using the Nicolet 5700 intelligent Fourier transform infrared spectrometer from Thermo Fisher Scientific for infrared spectroscopy. The nuclear magnetic resonance spectra of the synthesized photosensitive resin were obtained using the 400MR DD2 superconducting nuclear magnetic resonance spectrometer from Agilent Technologies. The mechanical properties of the cured samples were tested using the CMT4204 microcomputer-controlled universal material testing machine from New Sansi Corporation in Shenzhen, China.
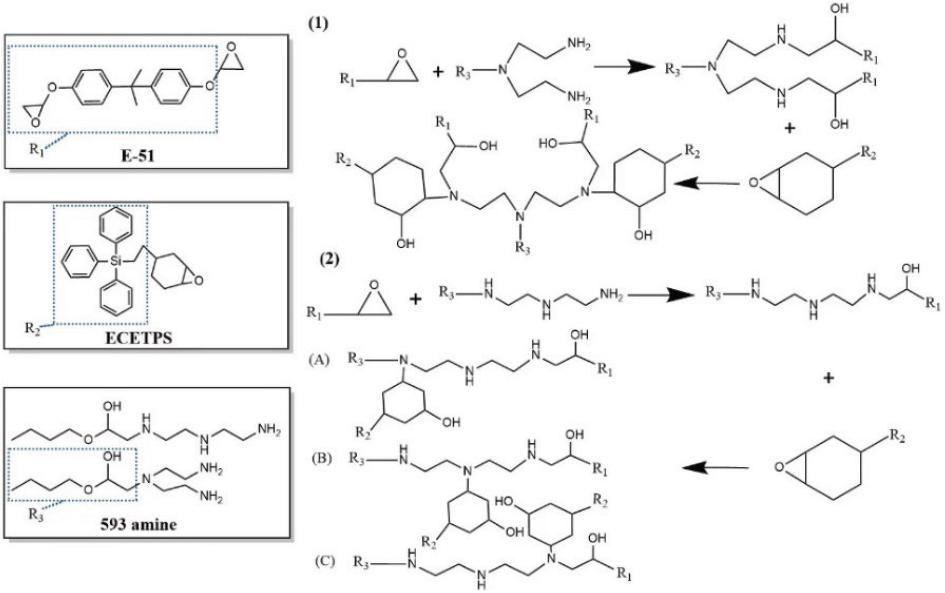
For this experiment, EVC and TPS are chosen as the raw materials. Before proceeding with the experiment, it’s necessary to prepare a Wilkinson catalyst by dissolving 1% of tris(triphenylphosphine) rhodium chloride in toluene. The prepared Wilkinson catalyst and Karstedt catalyst should be mixed with toluene and EVC in the same proportion, respectively, and poured into a three-mouth flask along with the stirring rotor. The three-necked flask should be equipped with a condenser, thermometer, and a constant pressure funnel. The constant pressure funnel should contain a well-mixed solution of TPS and toluene. Heat the mixture in the three-puff flask to 85 °C in a collection magnetic stirrer and add the solution from the constant pressure funnel to the three-puff flask at a rate of 2–3 drops per second. After the addition is completed, it is raised to a certain temperature and then kept at a constant temperature. Then, turn on the low-temperature circulating pump, move the three-necked flask to the rotary evaporator, and start the circulating water vacuum pump to evacuate. Finally, increase the temperature to 98° to remove the solvent and any excess reactants. The synthetic route is shown in Figure 1.

Synthesis route of [2-(3,4-epoxycyclohexyl) ethyl] triphenylsilane
Different reactant ratios result in varying ECETPS yields. As shown in Table 1, the yield increases with the TPS: ECV molar ratio. The optimal yield is achieved when the TPS:ECV molar ratio is 1:1.2. Beyond a molar ratio of 1:1.2, the increase in yield is not significant. The excess of 1,2-epoxy-4-vinylcyclohexane is due to the difficulty of distilling out the Si-H bonds from the triphenylsilane during the hydrosilylation process. Therefore, a slight excess of 1,2-epoxy-4-vinylcyclohexane allows triphenylsilane to participate in the reaction as much as possible.
ECETPS yields based on different ratios
| Numbering | TPS:ECV | ECETPS |
|---|---|---|
| 1 | 1:1.10 | 81.58% |
| 2 | 1:1.15 | 83.70% |
| 3 | 1:1.20 | 92.24% |
| 4 | 1:1.25 | 92.34% |
| 5 | 1:1.30 | 92.61% |
The yield of ECETPS is the ratio of the actual value to the theoretical value, where the actual value is the mass of the product at the end of the experiment, and the theoretical value is the value calculated according to the chemical equation.1 mol of triphenylsilane with 1 mol of 1,2-epoxy-4-vinylcyclohexane to produce 1 mol of ECETPS.
The yield of ECEDS can be calculated using the following formula (Eq. 1):
γ—Yield
m—Quality of collected products (g)
M—Molar mass of [2-(3,4-epoxycyclohexyl) ethyl] triphenylsilane (g/mol)
n1—Amount of triphenylsilane (mol)
n2—Amount of 1,2-Epoxy-4-vinylcyclohexane material (mol)
This experiment explores the influence of two catalysts, the Karstedt catalyst and the Wilkinson catalyst, on the synthesis of ECETPS. From the graphs, it can be observed that as the catalyst concentration increases, the yield of ECETPS rises.
It’s evident from Figure 2 that using the Wilkinson catalyst yields better results compared to the Karstedt catalyst. With the Wilkinson catalyst at 0.1%, a yield of 59.43% is achieved, whereas the Karstedt catalyst at the same concentration only reaches 45.23%. As the catalyst dosage increases, the yield with the Wilkinson catalyst reaches 95.31% at 0.5%, while the Karstedt catalyst only achieves 73.49% at the same concentration. The yield with the Wilkinson catalyst is higher than that with the Karstedt catalyst. This is attributed to the higher catalytic activity of the Wilkinson catalyst in the hydrosilylation reaction, facilitating the progress of the chemical reaction. The optimal catalytic reaction dosage is reached when the Wilkinson catalyst dosage is 0.4%.

Effect of different catalysts and their contents on the yield of ECETPS
In the literature, the Wilkinson catalyst [24, 25] in organosilicon hydrogenation reactions is considered a valuable alternative to Karstedt catalysts. Compared to Karstedt catalysts, the advantages of rhodium catalysts like Wilkinson’s are that their cross-linking is more uniform and their reactivity is better [26]. Additionally, Wilkinson catalysts are relatively inexpensive, which can help to appropriately reduce production costs.
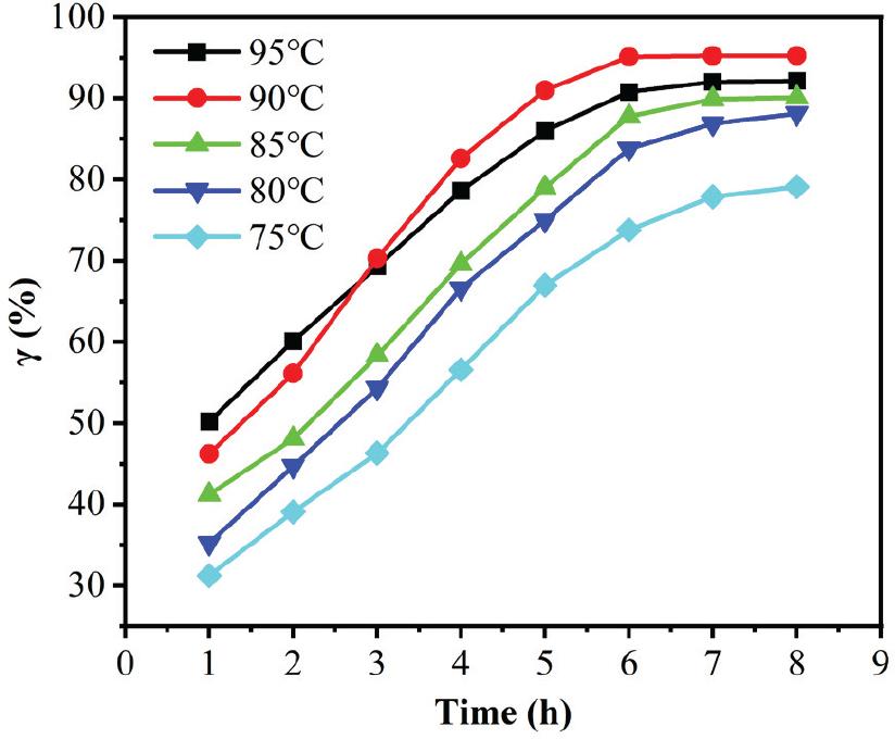
Different reaction temperatures and durations have a significant impact on the synthesis of ECETPS. It’s evident from Figure 3 that under constant temperature, the yield increases over time. After 6 hours, the yield stabilizes. Before 3 hours, the yield increases with temperature. However, after 3 hours, the yield peaks at 90° C, reaching up to 95.21%. As the temperature exceeds 90°C, the yield decreases, possibly due to the exothermic nature of the hydrosilylation reaction. At 95°C, the reaction becomes intense, leading to polymerization of unsaturated double bonds in the reactants and a decrease in the yield. Therefore, the optimal synthesis conditions for ECETPS are a reaction temperature of 90° C and a reaction duration of 6 hours.

Effect of different reaction times and temperatures on the yield of ECETPS
After placing EVC, TPS, and ECETPS into a Fourier Transform Infrared Spectrometer (FTIR) and conducting a test within the wavenumber range of 400–4000 cm−1, we obtained the Fourier Infrared Absorption Spectrum depicted in Figure 4.

FTIR spectra of triphenylsilane, 1,2-epoxy-4-vinylcyclohexane, [2-(3,4-epoxycyclohexyl) ethyl] triphenylsilane
Upon examining the FT-IR (Fourier Transform Infrared Spectroscopy) spectra of the reactants EVC, TPS, and the synthesized compound ECETPS, we can observe several distinctive characteristic peaks. For EVC, the peak at 1642 cm−1 represents the stretching vibration of the characteristic C=C backbone [27], which is based on literature data [28]. At 2935 cm−1 and 908 cm−1, these peaks correspond to the symmetric stretching vibration of C=C methylene and the out-of-plane bending vibration of C=C, respectively. The peak at 994 cm−1 arises from the asymmetric C-O-C stretching in the epoxy group. The peak at 1434 cm−1 is attributed to the deformation vibration of saturated C-H bonds. Observing the FT-IR spectrum of TPS, the characteristic peak at 2120 cm−1 clearly originates from the stretching vibration of Si-H bonds. The range from 1425 cm−1 to 1113 cm−1, and the peak at 1695 cm−1 reflects the characteristic peaks of the benzene ring. Meanwhile, the absorption peak at 800 cm−1 represents the stretching vibration of Si-C (on the benzene ring).
When comparing the FT-IR spectra of TPS and EVC with the spectrum of ECETPS, several notable changes can be observed. In the spectrum of ECETPS, the Si-H bond stretching vibration peak at 2120 cm−1 and the C=C bond stretching vibration peak at 908 cm−1 have disappeared. This is due to the addition reaction between the carbon-carbon double bond in EVC and the siliconhydrogen bond in TPS, resulting in the formation of a new characteristic Si-C bond stretching vibration peak at 809 cm−1. Furthermore, the absorption peaks observed at 2924 cm−1, 1432 cm−1, and 1108 cm−1 in the FT-IR spectrum of ECETPS further confirm the presence of aromatic rings and epoxy groups in the synthesized compound.
Using CDCl3 as the solvent and ECV, TPS, and ECETPS as internal references, the synthesized 1H-NMR spectrum was recorded on a 400MR DD2 Nu-81 high-resolution nuclear magnetic resonance spectrometer operating at 600 MHz, from Agilent Technologies (USA).
From Figure 5, it can be observed that the carbon-carbon double bonds in 1,2-epoxy-4-vinylcyclohexane have completely disappeared, and the silicon-hydrogen bonds in triphenylsilane have reduced to almost none. This is consistent with the previous Fourier-transform infrared spectroscopy (FT-IR) data, indicating the successful synthesis.

1H -NMR hydrogen spectra of TPS, ECV, [2-(3,4-epoxycyclohexyl) ethyl] triphenylsilane
The 1H-NMR hydrogen spectrum of the whole synthesized compound has six major peaks, as can be seen in Figure 6, and the area ratio of the fronts is placed in Table 2, from which it can be learned that the peaks have an area ratio of 2:6:1:2:2:6:9. This is consistent with the number of species of hydrogen atoms on the molecular structural formula of ECETPS and their number ratios. This indirectly verifies the successful synthesis of ECETPS by TPS and EVC.

1H-NMR pattern of [2-(3,4-epoxycyclohexyl)ethyl] triphenylsilane
1H-NMR spectral analysis of ECETPS
| Location of H | Chemical shift/ (δ/ppm) | Integral ratio | Structural formula |
|---|---|---|---|
| 1 | 3.15 | 2.00 | 2H -O-CH- |
| 2 | 1.40~1.70 | 5.90 | 6H-CH-CH2-CH- |
| 3 | 1.72 | 1.17 | 1H -CH- |
| 4 | 1.17 | 1.98 | 2H C-CH2-CH2- |
| 5 | 2.24 | 2.37 | 2H Si-CH2-CH2- |
| 6 | 7.57 | 6.21 | 6H Si-C-CH- |
| 7 | 7.41 | 9.22 | 9H -CH-CH-CH- |
The synthetic material is mixed with bisphenol A epoxy resin E-51 in different ratios, as shown in Table 3. Then, 2 grams of amine 593 are added and stirred again to prepare the samples.
Amine curing ratios
| Numbering | ECETPS:E-51:593 amine |
|---|---|
| ETE-0 | 0.0:8.0:2.0 |
| ETE-1 | 0.8:7.2:2.0 |
| ETE-2 | 1.6:6.4:2.0 |
| ETE-3 | 2.4:5.6:2.0 |
| ETE-4 | 3.2:4.8:2.0 |
In Figure 7, it can be observed that the prepared samples are dripped into the mold via a dropper and then placed in a constant-temperature oven for curing. Amine curing involves the initial ring-opening polymerization reaction between the epoxy groups in E-51 and the amine groups, followed by the reaction between the epoxy groups in ECETPS and the amine groups, ultimately forming a crosslinked polymer structure.

Amine curing process diagram. (In the ball-and-stick model: red spheres represent oxygen atoms, gray spheres represent carbon atoms, black spheres represent hydrogen atoms, blue spheres represent nitrogen atoms, and purple spheres represent silicon atoms.)
During the curing process, the epoxy groups and amine groups of E-51 and ECETPS are involved in the main reactions, as shown in Figure 8. The reaction primarily consists of two stages: adsorption and reaction. During the adsorption stage, amine curing agents physically adsorb to the epoxy groups in the epoxy resin, forming hydrogen bonds between amine and hydroxyl groups. Subsequently, in the chemical reaction stage, the amine groups react chemically with the epoxy groups to form amine oxides, thereby undergoing crosslinking polymerization [29].

Chemical equations involved in amine curing
As shown in Figure 9, the tensile strength increases as the curing temperature rises before the curing temperature is 35°C. When the curing temperature is above 35 °C and the curing time is greater than 8 hours, the tensile strength will decrease.

Effect of different reaction temperatures and reaction times on tensile strength
When the temperature is constant, the tensile strength will increase with the curing time, and when the curing time is less than 4 hours, the cured material is gelatinous and cannot be tested. The curing time is between 4 and 10 hours, and the tensile strength increases with the curing time. However, beyond 10 hours, the tensile strength did not further improve, indicating that the resin was fully cured. Further extending the curing time has no noticeable effect. Therefore, it can be concluded that the optimal curing temperature is 35°C, and the curing time is 10 hours.
Tensile and bending samples were prepared with [2-(3,4-epoxycyclohexyl)ethyl] triphenylsilane, bisphenol A epoxy resin E-51 and 593 amine, in accordance with the standards of GB/T 1040-92 “Test Methods for Plastic Tensile Properties” and the standards of GB/T 9341-2008 “Determination of Plastic Bending Properties”.
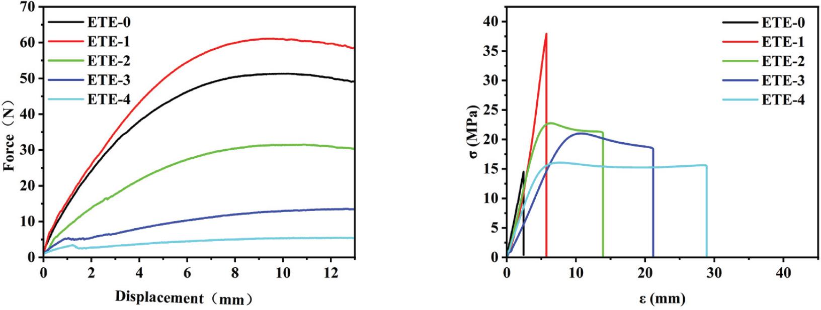
The mechanical properties were tested according to the different ratios in Table 3, provided that the cured samples were cured at a temperature of 35°C for 10 hours, and the results of the experiments are shown in Tables 4 and 5, as well as in Figure 10.

The effect of adding different concentrations of ECETPS on mechanical properties. (left: force and displacement curves for bending properties, right: stress and strain curves for tensile properties).
Tensile mechanical property data for cured samples
| Numbering | Elastic modulus (MPa) | Tensile strength (MPa) | Elongation at break (%) |
|---|---|---|---|
| ETE-0 | 505.65 | 14.53 | 2.33 |
| ETE-1 | 581.22 | 37.95 | 4.00 |
| ETE-2 | 443.08 | 22.78 | 12.42 |
| ETE-3 | 384.06 | 20.60 | 19.36 |
| ETE-4 | 290.10 | 16.08 | 26.59 |
Bending mechanical property data for cured samples
| Numbering | Elastic modulus (MPa) | Bending strength (MPa) | Elongation at break (%) |
|---|---|---|---|
| ETE-0 | 1136.65 | 25.38 | 8.31 |
| ETE-1 | 1847.91 | 39.10 | 9.73 |
| ETE-2 | 1342.19 | 20.24 | 8.93 |
| ETE-3 | 573.75 | 8.71 | 8.25 |
| ETE-4 | 239.12 | 3.06 | 7.74 |
It can be observed from Tables 4 and 5 that the mechanical properties of the resin system can be changed by changing the addition content of ECETPS. With the increase in ECETPS content, the tensile strength and flexural strength of the spline increased first and then decreased, and both reached the maximum value when the ECETPS was 10%(ETE-1). The reason is that ECETPS contains Si-C bonds and phenyl groups that can be strengthened, and the introduction of Si-C bonds and phenyl groups in the resin system can strengthen the interaction of epoxy resin segments, promote the cross-linking of molecular chains, and improve the tensile strength.
As can be seen from the left panel of Figure 10, the best flexural strength is achieved when the ECETPS content is added at 10%(ETE-1), indicating that the stronger the bending resistance of the sample, the higher its structural stiffness. As can be seen from the right panel of Figure 10, the addition of ECETPS can increase the strength of the sample, and when the ECETPS content reaches more than 20%, the sample begins to produce yield strength. At the same time, a significant increase in elongation at break can be observed. The results indicated that the addition of ECETPS also helped to improve the toughness of bisphenol A epoxy resin curing.
Thermogravimetric analysis (TGA) has been performed with TGA 4000 Thermogravimetric Analyzer (American PE Company), in a range of 50 to 6600° C at a heating rate of 10°C/min in a stream of nitrogen (60 mL/min). The thermogravimetric curves of the amine-cured samples tested are shown in Figure 11. The left graph shows the amine-cured TG and DTG curves without the addition of ECETPS, and the right graph shows the amine-cured TG and DTG curves with the addition of ECETPS.

TG analysis vs. DTG analysis. (The left graph shows TG vs. DTG without added synthetics, right graph shows TG vs. DTG with added synthetics).
When the sample weight loss reaches 5wt%, the temperature corresponding to epoxy resin samples with added ECETPS (197.58°C) is higher than that of epoxy resin without ECETPS (181.20°C). This is mainly due to the increased cross-linking density in the system caused by the addition of ECETPS, resulting in improved thermal stability. At 50wt% weight loss, the corresponding temperatures for samples with added ECETPS are 374°C, while the temperature for amine-cured samples without ECETPS is 361°C. Additionally, it can be observed that between 250°C and 450°C, the mass loss of the uncured sample without ECETPS reaches 71.96%, while the mass loss of the sample with added ECETPS is 60.20%.
This rapid mass loss is attributed to the oxidative decomposition of the main chain carbons in the cured resin structure. It is evident that the mass loss of cured samples with added ECETPS is relatively lower, indicating improved thermal resistance of the cured samples with ECETPS at 450°C.
[2-(3,4-Epoxycyclohexyl) ethyl] triphenylsilane (ECETPS) was synthesized by combining triphenylsilane with 1,2-epoxy-4-vinylcyclohexane as the main raw materials. The reaction temperature was 90°C, the reaction time was 6 hours, the molar ratio of triphenylsilane to 1,2-epoxy-4-vinylcyclohexane was1.0:1.2, and the catalyst was selected as the Wilkinson catalyst with a catalyst content of 0.4%, and the yield of ECETPS was 95.12%.
When the molar ratio of ECETPS:E-51:593 amine was 0.8:7.2:2 and cured at 35°C for 10 hours, the mechanical properties of the cured sample and film were significantly improved. TG and DTG data suggest that the addition of ECETPS helps to enhance the thermal stability of pure E-51 amine-cured samples. The experimental results of the mechanical properties test show that the tensile strength increases by 261.18%. The flexural strength increased by 125.69%. This indicates that the sample under this condition has high stiffness and hardness. With the increase of ECETPS content, the tensile elongation at break increased significantly, indicating that the addition of ECETPS helped improve the toughness of bisphenol A epoxy resin cured samples.
In conclusion, the addition of [2-(3,4-epoxycyclohexyl) ethyl] triphenylsilane to traditional resin (E-51) enhances its thermal stability and mechanical properties, further expanding the range of organic silicon resins, and demonstrates potential for wider application.