The prime and fundamental process involved in manufacturing smart/digital devices or any machinery is micromachining, which is performed to creating thin film patterns. In this regard, electrochemical micromachining (ECMM) is found to be a promising method for the production of accurate and precise features (micro in nature) for a broad range of conducting materials [1]. It holds its ground in the non-conventional areas due to its fine surface finish, negligible thermal effects, and lack of residual stress in the workpiece [2]. It is extensively used to produce/fabricate parts that are very complex in shape despite their predominant hardness value [3]. In ECMM, anodic dissolution of metal occurs in the presence of electrolytic solution and this process follows the principle of Faraday's law of electrolysis [4].
Researchers have carried out work in the areas of pulse ECM, insulated tool ECM, vibration assisted tool ECM, and masking of workpiece [5] to improve the overall efficiency of the system [6]. A substantial improvement was experienced in mass transport by using a vibrating workpiece and a traveling wire which were manufactured by ECMM [7]. Eylon et al. [8] and Xu et al. [34] have considerably enhanced mass transport and electrolyte refreshment by enhancing cathode hydrophilicity [9]. Researchers proposed a technique which uses sinusoidal electrical signals in ECMM that are readily available and further eliminates the use of an expensive ultra-short pulse power source [10]. Laser-assisted jet ECM (JECM) was developed indigenously and its performance was compared with JECM; the experimental outcomes reported that the material removal rate (MRR) increased by 29.16% and the taper angle abated by 48.43% [11]. Magnetic field-assisted ECM is a process, where the magnetic line is orthogonal to the electrolyte stream path firming up the mass transfer rate and effectively reducing stray corrosion, thus there is no deterioration in the electrolytic processing flow field which resulted in improved surface roughness of the workpiece [12]. ECM found its application in the automobile and aviation industries in the production of fuel injection holes for car engines [7] and cooling holes in turbine blades [8]. Bhattacharyya et al. [9] availed ECMM for removal and patterning of thin films. With a wide spread changes occurring in micro scale, ECMM found its strong footing in miniature production cycles which hold a lot of economical weightage and with parts becoming smaller and finer, the need for ECMM has increased predominantly.
Titanium alloys have wide application in the sector of aerospace, marine, automobile industries owing to its excellent properties of higher tensile strength, corrosion resistance, and low modulus of elasticity [13]. But, machining such a multi-characteristic titanium alloy leads to colossal problems owing to long chip formation [14], minimal heat dissipation [15], and tensile residual stress formation [16] which affects the quality of the product [16]. In this regard, ECMM provides an apt solution for overcoming adverse effects, i.e., recast layer, cracking (micro in nature) and heat affected zone produced by other machining process [17]. Ti-6Al-4V is mainly availed for manufacturing blisks of high pressure air compressor [18]. Also, because of its nature of being biocompatible, Ti alloys are availed for dental implants, biomedical and health care products [19]. The roughness obtained in the oxide layered machined surface by ECMM process was suitable for use in titanium implants without any need for further surface preparation, owing to the fact of osseointegration [20].
Scientists and researchers carried out work and focused their efforts to improve the surface integrity of machined Ti-6Al-4V, thereby enhancing MRR and other associated machining parameters, and Lu and Leng [21] employed jet ECMM for achieving that. For mass production of Philips domestic and personal care products, ECMM was utilized to improve the overall productivity [22]. MRR plays a vital role in increasing the productivity and because of this great factor, it would get greater acceptance in all industry bodies involved manufacturing of micro and macro samples. Hinds at al. [23] studied the effect of magnetic field on copper electrolysis. It was ascertained that metal deposition surges by improving chemical reaction, in magneto electrolysis. Similarly, effect of magnetic field on electrolyte properties was studied by Fahidy [24], and Mohanta and Fahidy [25] simulated the effect of magnetic field on anodic dissolution amount in ECMM process [26]. In this work, influence of magnetic field on ECMM process is carried out for micro hole machining of titanium alloy (Ti-6Al-4V). The presence of magneto hydro dynamics (MHD) is accomplished with the aid of external magnetic field in order to improve the machining accuracy and the performance characteristics of ECMM.
A micro ECMM setup, developed for carrying out the research is depicted in Figure 1. It consists of stepper motor with a tool feed mechanism, a working tank with electrode fixing apparatus and a submergible pump with tube for flushing arrangement.
Fig. 1
Experimental setup for ECMM. ECMM, electrochemical micromachining.

The experiment uses water with sodium nitrite as electrolyte, as sodium nitrite has no passive reaction with the surface of the workpiece. The inter-electrode narrow gap was maintained at 30 m between the microtool and workpiece to assure a stable metal removal in micromachining of titanium alloy. Electrode end gap is maintained at minimal value so as to obtain colossal anodic dissolution, as localization of the dissolution process increases with low gap width [9]. A direct method is utilized to monitor the gap between the upon the propagation delay through the electrolyte between the microtool–electrolyte interface and workpiece surface–electrolyte interface. A cross reference is obtained by indirect gap measurement by computing and subtracting the micro tool face position from the workpiece height referenced to the same origin [13]. As the gap is predominantly small, mass and charge transfer kinetics tend to become complex causing indeterminacy in the reaction mode, which influences the current efficiency and in turn affects the MRR and accuracy [33]. The establishment of stable gap between electrodes is influenced by various major ECMM parameters such as applied voltage, type, concentration of electrolyte, gap voltage, and the process parameters and their levels for performing the experiment are indicated in Table 1.
Experimental details of ECMM setup.
| System working condition | |
|---|---|
| Parameters | Range |
| Working voltage | 150 V DC |
| Gap voltage | 0–10 V |
| Electrolyte | NaNO3 + Water |
| Magnets | Neodymium 40 × 20 × 10 mm |
| Tool | Copper: ϕ 0.6 mm |
| Workpiece | Ti-6Al-4V: 30 × 10 × 0.1 mm |
| Process parameters | ||||
|---|---|---|---|---|
| Process parameters | Symbols Levels | |||
| Peak current (mA) | Ip | 1.2 | 1.35 | 1.5 |
| Pulse on time (ms) | Ton | 300 | 400 | 500 |
| Duty factor | DF | 0.5 | 0.6 | 0.7 |
| Concentration of electrolyte (%) | C | 15 | 22 | 5 30 |
ECMM, electrochemical micromachining.
Variable rectangular DC pulsed supply in the range of microsecond pulse period was used for experimentation. The MRR and accuracy were observed for various sets of experiments with different combinations of process parameters. Micro tool feed rate was maintained as low as possible i.e., 2.4 m/s through control unit, which is most appropriate value for the existing EMM set up to enhance the micromachining accuracy [8]. The ratio of "pulse on time" to total pulse cycle time (sum of pulse on time and pulse off time) is termed as duty factor, which is taken at 50%, 60%, and 70% to form an appropriate flushing time to ensure proper linear dissolution takes place [7]. Orthogonal L27 array is utilized for experimental design. Before carrying out experimental analysis, the workpiece was machined to the dimensions mentioned and weighed (GR-202 with 0.0001 accuracy) before and after the experiments. No tool wear is ascertained in ECMM. The tool creates an inverse profile on the workpiece. The tool was designed and machined (circular profile edge: grounded) to ensure reduction in uneven edges for the circular hole profile to be created on the titanium alloy. Neodymium magnets (Nd-Fe-B) were used for the experimental work. The strength of the magnet and the field variation between the two magnets (both attraction and repulsion forces) were measured by using a gauss meter shown in Figure 2.
Fig. 2
Magnetic field measurement of magnets using gauss meter.

Further, experiments with attraction and repulsion forces of magnets have been carried out to understand the impact of the magnetic field on the machining cycle. The pictorial representation of the experimental setup along with magnets is shown in Figure 3.
Fig. 3
Placement of magnets in the machining cycle.

Moreover, the magnets were kept at a constant and equal distance from the tool center to ensure the repeatability of experiments conducted. Each specimen was weighed after all the experiments to ensure that continuous monitoring is carried out. The images of the machined hole are further captured and close to ideal experiment are studied by disparate characterization techniques to understand the effect of magnetic field on the machining cycle.
From the Faraday's law of electrolysis, the mass of the substance (m) deposited/liberated at any electrode is directly proportional to the quantity of electricity or the charge (q) passed as indicated in Eq. (1).
It further creates an electric field density (E) on charged particles. When the magnetic fields B are applied perpendicular to the current carrying conductor, it experiences a force on the charged particle and is indicated as Lorentz's force (FL), as indicated in Eq. (2).
This force causes the momentum transfer from the magnetic field driven ions to the neighboring solute molecules, giving rise to electrolyte convection resulting to a turbulence effect. This effect is indicated as MHD, which causes rapid movement of ion particles in helical orbits in the direction of Lorentz force and thus forces electrolyte movement. It affects bubble as well as ionic movement along with direction. Thus, in the presence of a magnetic field, mobility and direction of ions surge to a colossal extent. The net resultant force (FR) is given by,
The magnetic field effect is not limited to reaction kinetics, anodic dissolution, movement, and direction of gas bubbles but also to the mass transport rate. The evidence of enhancement is due to the MHD effect with convective diffusion process. The mass transport rate is directly proportional to the current density and is given by,
It is ascertained from the theoretical analysis that the magnetic field in the electrochemical machining process plays a vital role in increasing the charge transfer rate by turning laminar flow of electrolyte into turbulent flow, thereby influencing the ionic and gas bubble movement and direction. To understand the same, experiments were carried out on titanium alloys using ECMM under the influence of magnetic field.
Orthogonal (L27) array is utilized to evaluate and conduct the experiment for magnetic (both attraction and repulsion) and nonmagnetic field ECMM conditions. The parameters under consideration are MRR and overcut (OC) in correlation with concentration of electrolyte, peak current, time on, and duty factor. The experimental values pertaining to electrochemical micromachining are tabulated in Table 2.
Orthogonal array experiment (L27) for magnetic and nonmagnetic field ECMM of Ti-6Al-4V titanium alloy.
| No magnetic force | Attraction magnetic force | Repulsion magnetic force | ||||||||
|---|---|---|---|---|---|---|---|---|---|---|
| S. No. | Concentration of electrolyte (g/l) | Ip (A) | Ton (μs) | DF | MRR 10−3 (mm3/min) | OC (mm) | MRR 10−3 (mm3/min) | OC (mm) | MRR 10−3 (mm3/min) | OC (mm) |
| 1 | 15 | 1.20 | 300 | 0.5 | 0.59 | 0.32 | 0.66 | 0.25 | 0.72 | 0.21 |
| 2 | 15 | 1.20 | 300 | 0.5 | 0.59 | 0.32 | 0.66 | 0.25 | 0.73 | 0.21 |
| 3 | 15 | 1.20 | 300 | 0.5 | 0.59 | 0.32 | 0.66 | 0.26 | 0.73 | 0.22 |
| 4 | 15 | 1.35 | 400 | 0.6 | 0.97 | 0.35 | 1.48 | 0.31 | 2.22 | 0.28 |
| 5 | 15 | 1.35 | 400 | 0.6 | 0.97 | 0.35 | 1.47 | 0.31 | 2.22 | 0.28 |
| 6 | 15 | 1.35 | 400 | 0.6 | 0.96 | 0.35 | 1.47 | 0.31 | 2.21 | 0.28 |
| 7 | 15 | 1.50 | 500 | 0.7 | 0.72 | 0.33 | 0.88 | 0.28 | 1.46 | 0.24 |
| 8 | 15 | 1.50 | 500 | 0.7 | 0.72 | 0.33 | 0.88 | 0.28 | 1.46 | 0.24 |
| 9 | 15 | 1.50 | 500 | 0.7 | 0.72 | 0.33 | 0.87 | 0.28 | 1.47 | 0.24 |
| 10 | 22.5 | 1.20 | 400 | 0.7 | 0.60 | 0.43 | 0.68 | 0.39 | 0.78 | 0.34 |
| 11 | 22.5 | 1.20 | 400 | 0.7 | 0.59 | 0.43 | 0.68 | 0.39 | 0.79 | 0.35 |
| 12 | 22.5 | 1.20 | 400 | 0.7 | 0.59 | 0.43 | 0.68 | 0.39 | 0.79 | 0.34 |
| 13 | 22.5 | 1.35 | 500 | 0.5 | 0.72 | 0.32 | 0.89 | 0.27 | 1.50 | 0.23 |
| 14 | 22.5 | 1.35 | 500 | 0.5 | 0.73 | 0.32 | 0.87 | 0.27 | 1.52 | 0.24 |
| 15 | 22.5 | 1.35 | 500 | 0.5 | 0.73 | 0.32 | 0.89 | 0.26 | 1.51 | 0.23 |
| 16 | 22.5 | 1.50 | 300 | 0.6 | 0.62 | 0.30 | 0.72 | 0.24 | 0.85 | 0.22 |
| 17 | 22.5 | 1.50 | 300 | 0.6 | 0.62 | 0.30 | 0.72 | 0.24 | 0.85 | 0.22 |
| 18 | 22.5 | 1.50 | 300 | 0.6 | 0.62 | 0.29 | 0.72 | 0.24 | 0.84 | 0.22 |
| 19 | 30 | 1.20 | 500 | 0.6 | 0.76 | 0.34 | 0.97 | 0.29 | 1.60 | 0.26 |
| 20 | 30 | 1.20 | 500 | 0.6 | 0.76 | 0.34 | 0.95 | 0.29 | 1.57 | 0.26 |
| 21 | 30 | 1.20 | 500 | 0.6 | 0.77 | 0.34 | 0.96 | 0.28 | 1.59 | 0.26 |
| 22 | 30 | 1.35 | 300 | 0.7 | 0.64 | 0.37 | 0.78 | 0.34 | 1.00 | 0.30 |
| 23 | 30 | 1.35 | 300 | 0.7 | 0.64 | 0.37 | 0.78 | 0.34 | 0.99 | 0.30 |
| 24 | 30 | 1.35 | 300 | 0.7 | 0.65 | 0.37 | 0.78 | 0.34 | 0.99 | 0.30 |
| 25 | 30 | 1.50 | 400 | 0.5 | 0.62 | 0.35 | 0.70 | 0.31 | 0.82 | 0.26 |
| 26 | 30 | 1.50 | 400 | 0.5 | 0.63 | 0.35 | 0.73 | 0.31 | 0.84 | 0.26 |
| 27 | 30 | 1.50 | 400 | 0.5 | 0.62 | 0.35 | 0.71 | 0.33 | 0.83 | 0.27 |
ECMM, electrochemical micromachining; MRR, material removal rate; OC, overcut.
By utilizing multi-attribute algorithms, scientists have established various decision-making statistical tools. The most common of them are ELECTRE [27], TOPSIS [28], GREY [29], and VIKOR [30]. TOPSIS, among them, holds its ground as it evaluates with minimal variation, has a lower computational complex and ensures that a common vertices plane is obtained, which postulates a close to ideal solution and negates the far from ideal solution [31]. The methodology of the decision-making in TOPSIS method is highlighted in Figure 4 [32].
Fig. 4
Methodology of TOPSIS (close to ideal solution).

The criteria of importance for factors under consideration is listed out by SIMO's weighting criteria method which is tabulated in Table 3. The valuation obtained using TOPSIS method, is listed out in Tables 4–6 for nonmagnetic and magnetic (Both attraction and repulsion) field ECMM conditions respectively.
Computational steps of SIMOS weighting procedure.
| Subset criteria | Number of criteria (variables) | Number of position | Non-normalized weighted matrix | Total (%) |
|---|---|---|---|---|
| MRR | 1 | 1 | 1/2*100 = 50~50 | 50 |
| OC | 1 | 2 | 11/2*100 =50~50 | 50 |
MRR, material removal rate; OC, overcut.
TOPSIS evaluation for ECMM of Ti-6Al-4V under nonmagnetic field.
| S. No. | Concentration of electrolyte (g/l) | Ip (A) | Ton (μs) | DF | Weighted matrix | Distance from ideal solution | Closeness coefficient | Rank | ||
|---|---|---|---|---|---|---|---|---|---|---|
| WMRR | WOC | Eij+ | Eij− | CCij | ||||||
| 1 | 15 | 1.20 | 300 | 0.5 | 0.08 | 0.09 | 0.05 | 0.03 | 0.36 | 18 |
| 2 | 15 | 1.20 | 300 | 0.5 | 0.08 | 0.09 | 0.05 | 0.03 | 0.37 | 16 |
| 3 | 15 | 1.20 | 300 | 0.5 | 0.08 | 0.09 | 0.05 | 0.03 | 0.36 | 17 |
| 4 | 15 | 1.35 | 400 | 0.6 | 0.13 | 0.10 | 0.02 | 0.06 | 0.78 | 3 |
| 5 | 15 | 1.35 | 400 | 0.6 | 0.13 | 0.10 | 0.02 | 0.06 | 0.78 | 1 |
| 6 | 15 | 1.35 | 400 | 0.6 | 0.13 | 0.10 | 0.02 | 0.06 | 0.78 | 2 |
| 7 | 15 | 1.50 | 500 | 0.7 | 0.10 | 0.09 | 0.04 | 0.03 | 0.48 | 10 |
| 8 | 15 | 1.50 | 500 | 0.7 | 0.10 | 0.09 | 0.04 | 0.03 | 0.48 | 12 |
| 9 | 15 | 1.50 | 500 | 0.7 | 0.10 | 0.09 | 0.04 | 0.03 | 0.48 | 11 |
| 10 | 22.5 | 1.20 | 400 | 0.7 | 0.08 | 0.12 | 0.06 | 0.00 | 0.03 | 25 |
| 11 | 22.5 | 1.20 | 400 | 0.7 | 0.08 | 0.12 | 0.07 | 0.00 | 0.00 | 27 |
| 12 | 22.5 | 1.20 | 400 | 0.7 | 0.08 | 0.12 | 0.06 | 0.00 | 0.01 | 26 |
| 13 | 22.5 | 1.35 | 500 | 0.5 | 0.10 | 0.09 | 0.04 | 0.04 | 0.50 | 8 |
| 14 | 22.5 | 1.35 | 500 | 0.5 | 0.10 | 0.09 | 0.04 | 0.03 | 0.50 | 9 |
| 15 | 22.5 | 1.35 | 500 | 0.5 | 0.10 | 0.09 | 0.03 | 0.04 | 0.51 | 7 |
| 16 | 22.5 | 1.50 | 300 | 0.6 | 0.08 | 0.08 | 0.05 | 0.04 | 0.43 | 15 |
| 17 | 22.5 | 1.50 | 300 | 0.6 | 0.09 | 0.08 | 0.05 | 0.04 | 0.43 | 14 |
| 18 | 22.5 | 1.50 | 300 | 0.6 | 0.09 | 0.08 | 0.05 | 0.04 | 0.44 | 13 |
| 19 | 30 | 1.20 | 500 | 0.6 | 0.10 | 0.09 | 0.03 | 0.03 | 0.52 | 4 |
| 20 | 30 | 1.20 | 500 | 0.6 | 0.10 | 0.09 | 0.03 | 0.03 | 0.51 | 5 |
| 21 | 30 | 1.20 | 500 | 0.6 | 0.10 | 0.10 | 0.03 | 0.03 | 0.51 | 6 |
| 22 | 30 | 1.35 | 300 | 0.7 | 0.09 | 0.10 | 0.05 | 0.02 | 0.24 | 24 |
| 23 | 30 | 1.35 | 300 | 0.7 | 0.09 | 0.10 | 0.05 | 0.02 | 0.25 | 23 |
| 24 | 30 | 1.35 | 300 | 0.7 | 0.09 | 0.10 | 0.05 | 0.02 | 0.26 | 22 |
| 25 | 30 | 1.50 | 400 | 0.5 | 0.08 | 0.10 | 0.05 | 0.02 | 0.31 | 21 |
| 26 | 30 | 1.50 | 400 | 0.5 | 0.09 | 0.10 | 0.05 | 0.02 | 0.32 | 19 |
| 27 | 30 | 1.50 | 400 | 0.5 | 0.09 | 0.10 | 0.05 | 0.02 | 0.31 | 20 |
ECMM, electrochemical micromachining.
TOPSIS evaluation for ECMM of Ti-6Al-4V under magnetic field (attraction).
| S. No. | Concentration of electrolyte (g/l) | Ip (A) | Ton (μs) | DF | Weighted matrix | Distance from ideal solution | Closeness coefficient | Rank | ||
|---|---|---|---|---|---|---|---|---|---|---|
| WMRR | WOC | Eij+ | Eij− | CCij | ||||||
| 1 | 15 | 1.20 | 300 | 0.5 | 0.07 | 0.08 | 0.09 | 0.05 | 0.34 | 16 |
| 2 | 15 | 1.20 | 300 | 0.5 | 0.07 | 0.08 | 0.09 | 0.04 | 0.34 | 17 |
| 3 | 15 | 1.20 | 300 | 0.5 | 0.07 | 0.08 | 0.09 | 0.04 | 0.33 | 18 |
| 4 | 15 | 1.35 | 400 | 0.6 | 0.16 | 0.10 | 0.02 | 0.09 | 0.82 | 1 |
| 5 | 15 | 1.35 | 400 | 0.6 | 0.16 | 0.10 | 0.02 | 0.09 | 0.80 | 3 |
| 6 | 15 | 1.35 | 400 | 0.6 | 0.16 | 0.10 | 0.02 | 0.09 | 0.82 | 2 |
| 7 | 15 | 1.50 | 500 | 0.7 | 0.09 | 0.09 | 0.07 | 0.04 | 0.40 | 10 |
| 8 | 15 | 1.50 | 500 | 0.7 | 0.09 | 0.09 | 0.07 | 0.04 | 0.40 | 11 |
| 9 | 15 | 1.50 | 500 | 0.7 | 0.09 | 0.09 | 0.07 | 0.04 | 0.40 | 12 |
| 10 | 22.5 | 1.20 | 400 | 0.7 | 0.07 | 0.13 | 0.10 | 0.00 | 0.03 | 26 |
| 11 | 22.5 | 1.20 | 400 | 0.7 | 0.07 | 0.13 | 0.10 | 0.00 | 0.03 | 27 |
| 12 | 22.5 | 1.20 | 400 | 0.7 | 0.07 | 0.12 | 0.10 | 0.00 | 0.03 | 25 |
| 13 | 22.5 | 1.35 | 500 | 0.5 | 0.10 | 0.09 | 0.06 | 0.05 | 0.43 | 8 |
| 14 | 22.5 | 1.35 | 500 | 0.5 | 0.09 | 0.09 | 0.07 | 0.05 | 0.41 | 9 |
| 15 | 22.5 | 1.35 | 500 | 0.5 | 0.10 | 0.08 | 0.06 | 0.05 | 0.44 | 6 |
| 16 | 22.5 | 1.50 | 300 | 0.6 | 0.08 | 0.08 | 0.08 | 0.05 | 0.37 | 14 |
| 17 | 22.5 | 1.50 | 300 | 0.6 | 0.08 | 0.08 | 0.08 | 0.05 | 0.37 | 15 |
| 18 | 22.5 | 1.50 | 300 | 0.6 | 0.08 | 0.08 | 0.08 | 0.05 | 0.37 | 13 |
| 19 | 30 | 1.20 | 500 | 0.6 | 0.10 | 0.09 | 0.06 | 0.05 | 0.45 | 5 |
| 20 | 30 | 1.20 | 500 | 0.6 | 0.10 | 0.09 | 0.06 | 0.05 | 0.44 | 7 |
| 21 | 30 | 1.20 | 500 | 0.6 | 0.10 | 0.09 | 0.06 | 0.05 | 0.46 | 4 |
| 22 | 30 | 1.35 | 300 | 0.7 | 0.08 | 0.11 | 0.08 | 0.02 | 0.21 | 22 |
| 23 | 30 | 1.35 | 300 | 0.7 | 0.08 | 0.11 | 0.08 | 0.02 | 0.21 | 23 |
| 24 | 30 | 1.35 | 300 | 0.7 | 0.08 | 0.11 | 0.08 | 0.02 | 0.22 | 21 |
| 25 | 30 | 1.50 | 400 | 0.5 | 0.08 | 0.10 | 0.09 | 0.03 | 0.25 | 20 |
| 26 | 30 | 1.50 | 400 | 0.5 | 0.08 | 0.10 | 0.08 | 0.03 | 0.26 | 19 |
| 27 | 30 | 1.50 | 400 | 0.5 | 0.08 | 0.10 | 0.09 | 0.02 | 0.20 | 24 |
ECMM, electrochemical micromachining.
TOPSIS evaluation for ECMM of Ti-6Al-4V under magnetic field (repulsion).
| S. No. | Concentration of electrolyte (g/l) | Ip (A) | Ton (μs) | DF | Weighted matrix | Distance from ideal solution | Closeness coefficient | Rank | ||
|---|---|---|---|---|---|---|---|---|---|---|
| WMRR | WOC | Eij+ | Eij− | CCij | ||||||
| 1 | 15 | 1.20 | 300 | 0.5 | 0.05 | 0.08 | 0.11 | 0.05 | 0.30 | 17 |
| 2 | 15 | 1.20 | 300 | 0.5 | 0.05 | 0.08 | 0.11 | 0.05 | 0.31 | 16 |
| 3 | 15 | 1.20 | 300 | 0.5 | 0.05 | 0.08 | 0.11 | 0.05 | 0.30 | 18 |
| 4 | 15 | 1.35 | 400 | 0.6 | 0.16 | 0.10 | 0.02 | 0.11 | 0.82 | 1 |
| 5 | 15 | 1.35 | 400 | 0.6 | 0.16 | 0.10 | 0.03 | 0.11 | 0.82 | 2 |
| 6 | 15 | 1.35 | 400 | 0.6 | 0.16 | 0.10 | 0.03 | 0.11 | 0.81 | 3 |
| 7 | 15 | 1.50 | 500 | 0.7 | 0.11 | 0.09 | 0.06 | 0.07 | 0.54 | 11 |
| 8 | 15 | 1.50 | 500 | 0.7 | 0.11 | 0.09 | 0.06 | 0.07 | 0.53 | 12 |
| 9 | 15 | 1.50 | 500 | 0.7 | 0.11 | 0.09 | 0.06 | 0.07 | 0.54 | 10 |
| 10 | 22.5 | 1.20 | 400 | 0.7 | 0.06 | 0.12 | 0.11 | 0.01 | 0.05 | 25 |
| 11 | 22.5 | 1.20 | 400 | 0.7 | 0.06 | 0.13 | 0.12 | 0.01 | 0.04 | 27 |
| 12 | 22.5 | 1.20 | 400 | 0.7 | 0.06 | 0.12 | 0.11 | 0.01 | 0.05 | 26 |
| 13 | 22.5 | 1.35 | 500 | 0.5 | 0.11 | 0.08 | 0.05 | 0.07 | 0.57 | 9 |
| 14 | 22.5 | 1.35 | 500 | 0.5 | 0.11 | 0.09 | 0.05 | 0.07 | 0.57 | 8 |
| 15 | 22.5 | 1.35 | 500 | 0.5 | 0.11 | 0.09 | 0.05 | 0.07 | 0.57 | 7 |
| 16 | 22.5 | 1.50 | 300 | 0.6 | 0.06 | 0.08 | 0.10 | 0.05 | 0.32 | 13 |
| 17 | 22.5 | 1.50 | 300 | 0.6 | 0.06 | 0.08 | 0.10 | 0.05 | 0.32 | 15 |
| 18 | 22.5 | 1.50 | 300 | 0.6 | 0.06 | 0.08 | 0.10 | 0.05 | 0.32 | 14 |
| 19 | 30 | 1.20 | 500 | 0.6 | 0.12 | 0.09 | 0.05 | 0.07 | 0.60 | 4 |
| 20 | 30 | 1.20 | 500 | 0.6 | 0.12 | 0.09 | 0.05 | 0.07 | 0.58 | 6 |
| 21 | 30 | 1.20 | 500 | 0.6 | 0.12 | 0.10 | 0.05 | 0.07 | 0.58 | 5 |
| 22 | 30 | 1.35 | 300 | 0.7 | 0.07 | 0.11 | 0.10 | 0.03 | 0.22 | 21 |
| 23 | 30 | 1.35 | 300 | 0.7 | 0.07 | 0.11 | 0.10 | 0.03 | 0.21 | 24 |
| 24 | 30 | 1.35 | 300 | 0.7 | 0.07 | 0.11 | 0.10 | 0.03 | 0.21 | 23 |
| 25 | 30 | 1.50 | 400 | 0.5 | 0.06 | 0.10 | 0.10 | 0.03 | 0.23 | 20 |
| 26 | 30 | 1.50 | 400 | 0.5 | 0.06 | 0.10 | 0.10 | 0.03 | 0.23 | 19 |
| 27 | 30 | 1.50 | 400 | 0.5 | 0.06 | 0.10 | 0.10 | 0.03 | 0.22 | 22 |
ECMM, electrochemical micromachining.
The experiments are done on samples under the parameters such as concentration of electrolyte 15 g/l, peak current 1.35 A, pulse on time 400 μs, and duty factor of 0.5 (close to ideal condition) at different conditions, to study the individual micro-structural properties and compare the effect of magnetic field when titanium alloy is electrochemically micro- machined. The machined samples are characterized by energy dispersive x-ray spectroscopy (EDS). Images (AFM) of the machined surface are probed, as the tip of the scan maneuvers alongside the z-axis, which has a spectrum of 2–110 μm, and apogee rate of 0.1 mm/s. The metallurgical changes and the residual stresses in the machined surface in different mediums is obtained using x-ray diffraction (XRD). The functional relevance of the machined surface is attributed by the integrity of the machined surface. The XRD technique is contemplated for the measurement of residual stress as well as to study its nature of stress (compressive or tensile) during the machining (boring) of surface by using copper anode (Cu_kα) [32].
Based on Table 7 and Figure 5, we can say an improvement of 11.91–52.43% and 23.51–129.68% in MRR, 6.03–21.47% and 18.32–33.09% in OC is observed in electrochemical micromachining of titanium alloy under the influence of attraction and repulsion magnetic field, respectively, in correlation with nonmagnetic electro-chemical micromachining process.
Improvement in response factors in presence of magnetic field with respect to nonmagnetic field electrochemical micromachined Ti-6Al-4V.
| % Increase in MRR | % Decrease in OC | |||||||
|---|---|---|---|---|---|---|---|---|
| Concentration of electrolyte (g/l) | Ip(A) | Ton (μs) | DF | Attraction | Repulsion | Concentration of electrolyte (g/l) | Ip(A) | Ton (μs) |
| 15 | 1.20 | 300 | 0.5 | 12.09 | 23.51 | 15 | 1.20 | 300 |
| 15 | 1.20 | 300 | 0.5 | 11.91 | 23.74 | 15 | 1.20 | 300 |
| 15 | 1.20 | 300 | 0.5 | 12.44 | 23.95 | 15 | 1.20 | 300 |
| 15 | 1.35 | 400 | 0.6 | 52.43 | 127.99 | 15 | 1.35 | 400 |
| 15 | 1.35 | 400 | 0.6 | 51.47 | 128.19 | 15 | 1.35 | 400 |
| 15 | 1.35 | 400 | 0.6 | 51.99 | 129.68 | 15 | 1.35 | 400 |
| 15 | 1.50 | 500 | 0.7 | 22.45 | 103.00 | 15 | 1.50 | 500 |
| 15 | 1.50 | 500 | 0.7 | 22.39 | 103.34 | 15 | 1.50 | 500 |
| 15 | 1.50 | 500 | 0.7 | 21.78 | 103.98 | 15 | 1.50 | 500 |
| 22.5 | 1.20 | 400 | 0.7 | 14.05 | 31.28 | 22.5 | 1.20 | 400 |
| 22.5 | 1.20 | 400 | 0.7 | 16.12 | 35.21 | 22.5 | 1.20 | 400 |
| 22.5 | 1.20 | 400 | 0.7 | 14.88 | 33.62 | 22.5 | 1.20 | 400 |
| 22.5 | 1.35 | 500 | 0.5 | 23.30 | 107.71 | 22.5 | 1.35 | 500 |
| 22.5 | 1.35 | 500 | 0.5 | 20.56 | 110.10 | 22.5 | 1.35 | 500 |
| 22.5 | 1.35 | 500 | 0.5 | 20.53 | 106.00 | 22.5 | 1.35 | 500 |
| 22.5 | 1.50 | 300 | 0.6 | 15.51 | 37.78 | 22.5 | 1.50 | 300 |
| 22.5 | 1.50 | 300 | 0.6 | 15.23 | 36.32 | 22.5 | 1.50 | 300 |
| 22.5 | 1.50 | 300 | 0.6 | 16.34 | 35.64 | 22.5 | 1.50 | 300 |
| 30 | 1.20 | 500 | 0.6 | 27.78 | 110.54 | 30 | 1.20 | 500 |
| 30 | 1.20 | 500 | 0.6 | 25.28 | 107.33 | 30 | 1.20 | 500 |
| 30 | 1.20 | 500 | 0.6 | 25.00 | 107.12 | 30 | 1.20 | 500 |
| 30 | 1.35 | 300 | 0.7 | 22.18 | 55.34 | 30 | 1.35 | 300 |
| 30 | 1.35 | 300 | 0.7 | 20.46 | 53.08 | 30 | 1.35 | 300 |
| 30 | 1.35 | 300 | 0.7 | 20.13 | 51.27 | 30 | 1.35 | 300 |
| 30 | 1.50 | 400 | 0.5 | 14.18 | 33.51 | 30 | 1.50 | 400 |
| 30 | 1.50 | 400 | 0.5 | 15.97 | 33.52 | 30 | 1.50 | 400 |
| 30 | 1.50 | 400 | 0.5 | 14.28 | 32.43 | 30 | 1.50 | 400 |
MRR, material removal rate; OC, overcut.
Fig. 5
Improvement in MRR and OC in presence of magnetic field when electrochemical micromachined Ti-6Al-4V. MRR, material removal rate; OC, overcut.

In a nonmagnetic field, the emergence of bubbles is observed and they accumulate around the hole like glomerule, and so the metal ions rotate near the reaction region leading to low mass transfer rate [23]. In attraction type of magnetic field, the bubbles will be exiting from the hole in one direction. In this condition, the current carrying conductor cuts the magnetic flux at 90° leading to the formation of Lorentz forces. The direction of Lorentz force is perpendicular to both magnetic field and the current which is outward from the reaction region. In repulsion magnetic field, the direction of ionic motion and the bubble movements are emerging out of the hole (in two directions) in a swirl motion. This is attributed to repulsive forces of magnets in the ECMM process. In this scenario, the current cuts the flux of two equal magnets with same poles causing the Lorentz's force in two directions. Apart from this, the repulsive force compresses the reaction region and causes the electrolyte to have a stirring or whirlpool effect. This causes the metal ion particles with the hydrogen bubbles to divide into two opposite directions which are perpendicular to both magnetic field and the current to move out of the reaction region. The improvement in ECMM MRR of titanium alloy is higher in the presence of magnetic field (attraction and repulsion) owing to MHD effect with the Lorentz force in correlation to nonmagnetic field. In both the conditions of attraction and repulsion magnetic fields, the direction of the Lorentz forces with MHD effect causes bubble movement causing a transfer of momentum from magnetic field driven ions in to the neighboring solute particles thereby enhancing the mass transfer rate [26].
This aids in the improvement in the amount of anodic dissolved-metal ions to flow in the direction out of the reaction region. In the case of nonmagnetic field, only the electric field plays the role of anodic dissolution, which does not match with the coupling effect of magnetic field ECMM process. With a controlled MHD effect, the OC is also reduced drastically as the metal ion particles move in the reverse direction in correlation to hydrogen bubbles and causing lower deviation and higher accuracy in the hole making operation [25].
Titanium alloys provide self-passivation ability which helps in the formation of titanium oxide layer, thus preventing the base material from dissolving [13]. The breakdown of the same would further result in dissolving and eroding the parent base metal properties [14]. EDS analysis, depicted in Figure 6, is carried out to study and characterize the machined layer in order to analyze the oxide layer breakdown effect [15]. The electrochemical micro- machined titanium alloys ideal solution for nonmagnetic field and magnetic field is taken in consideration around the hole profile to understand the base metal composition after the machining cycle [18]. For both the types of machining environments, no change is ascertained in the base metal, thereby concluding that there is negligible composition change during machining operation [16].
Fig. 6
EDS analysis of electrochemical micromachined Ti-6Al-4V hole profile: (A) without magnetic field and (B) with magnetic field. EDS, energy dispersive X-ray spectroscopy.

During the machining cycle in the absence of magnetic field, a precipitation is found near the hole edges. Sludges are formed as anodic dissolution persists in the electrolyte [16]. The liberated gas (hydrogen), gets accumulated around the hole profile causing higher erosion factor around the hole, as depicted in Figure 7(A), along the entry hole profile. This causes an effect on the accuracy of the hole profile, as the phenomenon of electrolyte gets altered in the presence of hydrogen bubbles around the region of metallic dissolution [17].
Fig. 7
Hole profile of electrochemical micromachined Ti-6Al-4V: (A) without and (B) with magnetic field.

More complex models need more convergence and accuracy. The accuracy can be achieved by utilizing a more precise tool design and good electrolyte reaction track. Precise tool design leads to economic costs associated with the machining operations. But, in the presence of magnetic field, it is possible to achieve the same. From Figure 8 and Table 8, surface roughness factor of the hole profile measured using atomic force microscope indicates a reduction of 55.34% in magnetic field ECMM in correlation with nonmagnetic field environment electrochemical machined titanium alloy. Also, from Figure 7, SEM images of entry diameter of the machined micro-holes indicate and support the reduction of burrs in the magnetic field electrochemical machining process. As explained earlier, for no magnetic field condition, the bubbles get accumulated around the hole, taking longer time to leave the hole entrance [18]. Also, they tend to merge and form larger bubbles leaving the electrolyte very little space to reach the tool tip [19].
Fig. 8
Atomic force microscopy of electrochemical micromachined Ti-6Al-4V hole profile: (A) without and (B) with magnetic field.

Topographical analysis of electrochemical micromachined Ti-6Al-4V hole profile.
| ECMM environment | Hole surface roughness (nm) |
|---|---|
| No magnetic field | 159 |
| Magnetic field | 71 |
ECMM, electrochemical micromachining.
As for no circulation of electrolyte, the heat generation as well as the sludge formation at hole entrance becomes more aggressive. This would cause the reduction in OC values as well [20].
But, in the case of magnetic field electrochemical micromachining, the bubbles are leaving out in the direction of Lorentz force (one direction), taking the sludge away from the hole. In the cases of opposite poles, the bubbles leave out in two directions from the hole, as repulsive forces between magnets acts perpendicular to the electric field controlling the reaction region in a particular aspect resulting in a lesser OC.
The inner side wall circumvent of the machined hole, as indicated in Figures 7 and 8, is greatly influenced by the magnetic field assisted machining, because the inner wall feature is present for the purpose of adhesion, adsorption which controls the products to fix it inside the hole. A drop in surface roughness is also attributed to the magnetic field flux which is due to the repulsion forces, where a turbulence effect is created in the electrolyte causing a surge in the flow velocity and thus mobility of ions in the machining zone [21].
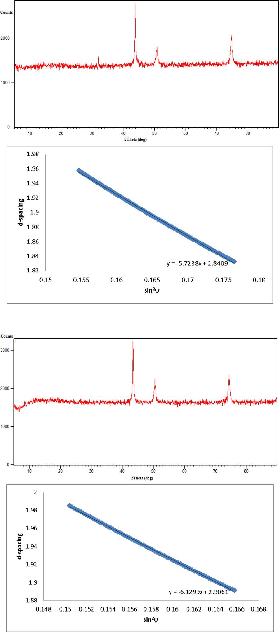
Electrochemical micromachining is considered to be a residual stress free machining process [22]. The residual stress (compressive) factor plays an important role in achieving the hardness of the surface after the machining cycle [27]. It is evaluated by using sin2Ψ technique [27]. From Table 9 and Figure 9, it is observed that there is an increase of 0.019% stress value in magnetic field assisted electrochemical micromachining of titanium alloy in correlation with nonmagnetic field ECMM [29]. A surge in the factor of stress would have indicated the presence of a residual factor, compressive or tensile. But from the pattern as indicated in Figure 9, two conditions no peak broadening or shift in the peaks is ascertained [28], which indicates minimal stress value. Thus, ECMM with the presence of magnetic field does not induce any outward stress on the component [32].
Residual stress analysis of electrochemical micromachined Ti-6Al-4V hole profile.
| No magnetic field | Magnetic field | |
|---|---|---|
| Residual stress values (MPa) | 259.62 | 264.89 |
Fig. 9
XRD analysis of electrochemical micromachined Ti-6Al-4V hole profile: (A) Without and (B) With magnetic field. XRD, x-ray diffraction.

This clearly indicates that no outward stress is affecting the machined material, even though environment of machining has been enhanced. A slight surge in the compressive residual factor will increase the passivation potential of titanium alloy, and would result in higher resistance to corrosion resistance [31], which is the inherent property of titanium alloy.
Influence of magnetic field on ECMM process is carried out for micro-hole machining of titanium alloy (Ti-6Al-4V) in correlation with nonmagnetic field ECMM process. The major attributes of the experimental investigation are:
A micro ECMM setup has been developed for carrying out the research, using sodium nitrite as electrolyte (owing to passive reaction on the surface). Neodymium magnets (Nd-Fe-B) are availed for magnetic field variation and measured using gauss meter.
Analysis indicates that the magnetic field in the electrochemical machining process plays a vital role in increasing the charge transfer rate by changing laminar flow of electrolyte into turbulent flow, thereby influencing the ionic and gas bubble movement and direction.
Close to ideal solution for magnetic and nonmagnetic field ECMM process is concentration electrolyte of 15 g/l, peak current of 1.35 A, pulse on time of 400 μs, and duty factor of 0.5.
An improvement of 11.91–52.43% and 23.51–129.68% in MRR, 6.03–21.47% and 18.32–33.09% in OC is observed in electrochemical micromachining of titanium alloy under the influence of attraction and repulsion magnetic field respectively in correlation with nonmagnetic field electrochemical micromachining process.
In a nonmagnetic field, the emergence of bubbles are accumulating around the hole like glomerule and the metal ions are rotating near the reaction region leading to less mass transfer rate, and only the presence of electric field leads to minimal anodic dissolution.
Surface roughness factor of the hole profile measured using atomic force microscope indicates a reduction of 55.34% in magnetic field ECMM in correlation with nonmagnetic field environment electrochemical machined titanium alloy.
During the machining cycle in the absence of magnetic field, a precipitation is observed near the hole edges. Sludges are formed as anodic dissolution persists in the electrolyte. The liberated gas (hydrogen) gets accumulated around the hole profile causing higher erosion factor around the hole.
Under repulsion magnetic field, the direction of ionic motion and the bubble movements are emerging out of the hole (in two directions) like a swirl motion. In this scenario, the current cuts the flux of two equal magnets with same poles causing the Lorentz's force in two directions. This repulsive force compresses the reaction region and causes the electrolyte to have a stirring or whirlpool effect. This makes the metal ion particles with the hydrogen bubbles to divide into two opposite directions which are perpendicular to both magnetic field and the current to move out of the reaction region, leading to higher MRR, lower OC, and better surface morphology.
No outward stress is affecting the machined material, even though environment of electrochemical machining process has been enhanced with the presence of magnetic field. A slight surge in the compressive residual factor helps in the increase of passivation potential of titanium alloy, and would result in higher resistance to outside environment changes, which is the inherent property of titanium alloy.