Have a personal or library account? Click to login
Transport and magnetic properties of Bi(Pb)2212 superconducting ceramics doped by low rate of potassium Cover

Transport and magnetic properties of Bi(Pb)2212 superconducting ceramics doped by low rate of potassium

Open Access
|Jun 2021

Full Article

1
Introduction

One of the most fascinating manifestations of quantum mechanics is superconductivity. It is used in many fields: scientific research, nuclear fusion, nuclear magnetic resonance medical imaging, storage of electrical energy and in transport (trains with magnetic levitation but also magneto-hydrodynamic propulsion). It is characterized by two remarkable properties: zero resistance and expulsion of magnetic field (Meissner effect). The discovery of high critical temperature (HTSC) superconductors by J.G. Bednorz and K.A. Müller in 1986 [1], allowed the transition of technologies based on low critical temperature superconductors to HTSC superconductors and extend the applications of superconducting materials. Bismuth-based compounds have the general formula Bi2Sr2Can−1CunO4+2n+d with 1⩽ n⩽ 3 (Bi2201-Bi2212-Bi2223) [2,3,4,5]. The role of bismuth substitution by lead in the phase Bi2212 is to increase the Tc and the critical current density (Jc). Lead (Pb) changes density holes in the charge reservoir constituted by the BiO layer. The effect of lead can thus serve as moderator or amplifier when a second substitution is performed either at CuO2 planes or at other planes (Sr or Ca). The role of lead appears also in suppressing the superstructure [6]. Chemical doping in high Tc superconducting cuprates (HTSC) have been reported at many studies [7, 8]. The primary purpose of the authors was to improve superconducting properties of their compounds [9,11,12]. The rare-earth element in many HTSC families of compounds plays an important role for the stabilization of the structure [7, 13, 14]. For more significant results, small concentrations of doping atoms should be considered. After the discovery of the Bi-2212 (Bi2Sr2CaCu2O8+d) superconducting phase [3, 5], the effect of doping by alkaline elements was studied [15,16,17]. This kind of doping results in changing the unit crystallographic cell parameters accompanied by a lowering of the phase formation temperature caused by the flux action of the alkaline element, for example: doping by potassium on the Sr site results in a contraction of the c axis parameter [16]. The decrease of oxygen content explains the generally observed enhancement of Tc [18]. More recently, in polycrystalline bulks of Bi2Sr2Ca1−xKxCu2O8+d, ac susceptibility measurement revealed the optimization of intergrain connections. An improvement of critical current density has been noticed [19]. Addition of potassium allowed also a faster growth rate of Bi-2212 whiskers [20]. In this paper, we study the effect on the Bi(Pb)-2212 phase at low rate of potassium doping by substitution or addition.

2
Experimental

Samples of Bi1.5Pb0.5(Sr1.8−xKx)CaCu2O8+d (0 ⩽ x ⩽ 0.05) were prepared with the usual method of solid state reaction using high grade purity powders of Bi2O3, SrCO3, CaCO3, PbO, CuO and KOH. The starting mixtures were calcined at 800 °C for 30 h. After that, the obtained powders were ground and pressed into pellet shape (13 mm in diameter and 1 mm thickness) under pressure of 5 ton/cm2 and finally sintered at 850 °C for 40 h. Preparation of samples of Bi1.5Pb0.5Sr1.8CaCu2O8+dKx (0 ⩽ x ⩽ 0.05; addition method) follows the same route as in substitution but without KOH, which is added only after calcination. x: corresponds to the weight fraction of the powder of the free K Bi(Pb)-2212 phase obtained after calcination. Obtained samples were characterized by X-ray diffraction (XRD) using CuKα radiation and scanning electron microscopy (SEM) [21]. Indexation of XRD patterns and determination of lattice parameters of samples have been done using CELREF software. Resistivity of samples was measured in temperature range 10 K to 125 K, on a closed cycle helium refrigerator (Cryodine CTI-Cryogenics) using a standard DC four-probe technique with a constant current of 5 mA at Physics Department of Abbant Izzet Baysal University of Bolu in Turkey. The magnetic measurements have been performed by means of a 9 Tesla Quantum Design PPMS (Physical Properties Measurement System) equipped with a Vibrating Sample Magnetometer (VSM) option at Physics Department of University of Salerno in Italy. It is worth to underline that, before each measurement, the residual magnetic field entrapped in the superconducting magnet was reduced below 1×10−4 T [22, 23]. The M(T) and M(H) measurements of magnetization as a function of the temperature and the magnetic field, respectively, were performed using the typical procedures [24,25,26]. In particular, the M(T) measurements were performed in zero field cooling (ZFC) and field cooling (FC) conditions. More precisely, the sample was first cooled down to 40 K in the absence of field, then a magnetic field of 0.002 Tesla was switched on and the data were acquired for increasing temperature (ZFC) reaching the room temperature 120 K. After that, the sample was cooled down again and FC magnetization was acquired in the presence of field. For M(H) measurements, the sample was first thermally stabilized to 4.2 K in the absence of magnetic field. Then, the field was ramped to reach +9 T, then back to −9 T, and finally to +9 T again, in order to acquire the complete M(H) loop.

3
Results and discussion

In our previous work, both substitution and addition affect the intensity of main peak's (Bi,Pb)-2212 [21]. Traces of parasitic phases Bi-2201 and/or Ca2PbO4 are present in all the samples. In SEM micrographs, the typical lamellar structure of HCTS is present. We can notice that the addition of K gives a faster growth rate of Bi-2212 whiskers [21]. The ionic radius of K+ ion is 1.38 Å when its coordination number is 6 and reaches 1.51 Å for a coordination number of 8 [27]. The Sr2+ one is 1.18 Å and 1.26 Å respectively for the same coordination numbers. Thus, c axis may increase when K substitutes on Sr site. The observed contraction of c axis may be due to a transfer of charges between the CuO2 planes resulting from the difference of valence between K+ and Sr2+ ions. When K is added to the Bi(Pb)-2212 phase c axis increases for most of the samples suggesting that K substitutes on the Ca site where the ionic radius of Ca2+ is 1.12 Å (coordination number of 8). The same kind of charge transfer is present but giving a different result when the site changes. The difference of behaviour between addition and substitution also appears in the variation of the orthorhombic strain (b−a)/(a+b) versus the content x of K shown in Table 1 and Table 2 where the variations of c axis are reported. The effect of K on the orthorhombic strain is higher for substitution where its increase corresponds to a decrease of parameter c. This means that substitution by potassium on outer plane (the Sr site) promotes the displacement of oxygen ions toward the CuO2 planes. The excess of charge in these planes increases the Jahn Teller distortion effect on the oxygen octahedron surrounding the Cu2+ ion. This excess of charge also causes the contraction of the c axis. With the addition of potassium, the behaviour of the orthorhombic strain is contrary, and a possible substitution on Ca site instead of Sr site is considered.

Table 1

Variations of the orthorhombic strain (b−a)/(a+b) versus x content of potassium for samples obtained by substitution and addition [21].

x00.010.020.030.040.05
(b−a)/(a+b)×103 substitution0.004130.003740.005520.005010.003750.00452
(b−a)/(a+b)×103 addition0.004130.004120.003610.004290.002690.00439
Table 2

Variations of lattice parameter c versus x content of potassium for samples obtained by substitution and addition [21].

x00.010.020.030.040.05
c[Å] substitution30.684130.7130.570530.512430.694730.7269
c[Å] addition30.684130.798530.747930.720330.647930.7074

A standard four-probe technique measures the electrical resistivity. Fig. 1 shows its variation as a function of temperature and doping. The results show the typical rapid resistive transition of super-conductors where Tc is determined. In Fig. 1(b), the values of resistivity of sample with x = 0.01 are divided by 20 in order to get all the curves together.

Fig. 1

Resistivity versus temperature curves obtained for samples doped by potassium substitution (a) and addition (b).

Table 3 and Table 4 present the critical temperatures Tconset {\rm{T}}_{\rm{c}}^{{\rm{onset}}} (beginning of the transition from the normal state to the superconducting one) and Tcoff {\rm{T}}_{\rm{c}}^{{\rm{off}}} (end of the state corresponding to R = 0) of the samples. Tconset {\rm{T}}_{\rm{c}}^{{\rm{onset}}} for all the samples obtained by addition or substitution is lower than the K free sample. Overall oxygen content and the disorder in CuO2 planes [28, 29] are mechanisms responsible for variation of Tconset {\rm{T}}_{\rm{c}}^{{\rm{onset}}} . For substitution, Tconset {\rm{T}}_{\rm{c}}^{{\rm{onset}}} is maximum at x = 0.01 and corresponds to a minimum of orthorhombic strain and a high value of c axis. Substitution by potassium at the Sr site leads to a decrease of Tconset {\rm{T}}_{\rm{c}}^{{\rm{onset}}} . Similar results were found by T.H. Duc et al. [12], the authors found that both transition temperatures Tconset {\rm{T}}_{\rm{c}}^{{\rm{onset}}} and Tcoff {\rm{T}}_{\rm{c}}^{{\rm{off}}} were decreased with bulk of Bi1.6Pb0.4Sr2−xKxCa2Cu3O10+d where x = 0.00, 0.04, 0.08 and 0.1); only in this study, two superconducting phases of Bi-2223 and Bi-2212 were formed. When a second substitution is used other than lead (Pb), Tc seems to behave otherwise. In case of superconducting K-Na co-doped Bi2Sr2KxCa1Cu1.75Na0.25Oy (x = 0, 0.05, 0.1 and 0.25) ceramics [17], the results show that Tconset {\rm{T}}_{\rm{c}}^{{\rm{onset}}} values are gradually increasing as K content is increased. Our results are explained by the excess of charge in CuO2 planes due to the oxygen octahedron surrounding the Cu+2 ion (Jahn Teller distortion effect); this causes a contraction of the c axis thus a decrease of Tc.

Table 3

Tconset {\rm{T}}_{\rm{c}}^{{\rm{onset}}} of the samples.

x00.010.020.030.040.05
Tconset {\rm{T}}_{\rm{c}}^{{\rm{onset}}} substitution [K]82.1981.9479.0379.1475.2880.4
Tconset {\rm{T}}_{\rm{c}}^{{\rm{onset}}} addition [K]82.1970.8578.379.3880.3178.72
Table 4

Tcoff {\rm{T}}_{\rm{c}}^{{\rm{off}}} of the samples.

x00.010.020.030.040.05
Tcoff {\rm{T}}_{\rm{c}}^{{\rm{off}}} substitution [K]79.2773.7374.5675.7174.4377.68
Tcoff {\rm{T}}_{\rm{c}}^{{\rm{off}}} addition [K]79.2747.3173.7873.5676.1372.05

The used x rate of substitution of K is very low, its effect on the Bi(Pb)-2212 phase is not the same as on the Bi-2212 phase where higher rates were used [16]. A decrease of the Tc is observed contrary to the increase observed in the Bi-2212 phase. Table 4 gives values of Tcoff {\rm{T}}_{\rm{c}}^{{\rm{off}}} for all the samples. The results show that Tcoff {\rm{T}}_{\rm{c}}^{{\rm{off}}} for samples obtained by addition, is lower than the pure sample with a minimum at x = 0.01.

For those obtained by substitution, the same behaviour is observed and the Tcoff {\rm{T}}_{\rm{c}}^{{\rm{off}}} value corresponding to x = 0.01 is improved. Tcoff {\rm{T}}_{\rm{c}}^{{\rm{off}}} indicates the beginning of the flux creep of the vortices and gives information about the quality of the pinning in the sample. The critical temperature Tc of the samples is also determined from the M(T) measurements in zero field cooling (ZFC) and field cooling (FC) conditions with an applied field of 0.002 T (see Fig. 2(a)–(b)). In this case, Tc is equal to the temperature corresponding to the onset of the ZFC magnetization drop as shown in Fig. 2(a)–(b). From the enlargement of the curve in the region of the superconducting transition, we can notice that Tc reported values are consistent with those obtained by measurement of resistivity versus temperature. The difference ΔM, between 60 K and 90 K of the ZFC and FC branches (see Fig. 3(a)–(b)), gives the irreversibility temperature Tirr of the samples. Tirr corresponds to the value of temperature where ΔM becomes equal to zero corresponding to the ZFC and FC overlap [30].

Fig. 2

Magnetization as the function of temperature M(T) using ZFC-FC procedure for the K doped samples by substitution (a) and by addition (b). The applied field is 0.002 Tesla. The insets show a magnification of the region near the superconducting transition.

Fig. 3

Variation of ΔM with temperature for samples obtained by substitution (a) and addition (b) of potassium

Fig. 4 reports Tc and Tirr values for the K doped samples prepared by substitution (Fig. 4(a)) and by addition (Fig. 4(b)). Tirr values are lower than Tc while the difference between the two parameters for the same concentrations is not significant and seems to be the same except for x = 0.01, which appears more significant. Addition of K causes a decrease in both Tc and Tirr, more importantly in the x = 0.01 sample. On the other hand, substitution by K causes a quasi-linear decrease of Tirr until x = 0.04. At x = 0.05, the decrease is significantly lower giving a value near to that of the undoped sample. Tc is improved for x = 0.01 but it decreases for the other values of x, except for x = 0.01, Tc has a similar behaviour as Tconset {\rm{T}}_{\rm{c}}^{{\rm{onset}}} obtained by transport measurement.

Fig. 4

Tc and Tirr values obtained for K doped samples by substitution (a) and addition (b) of potassium

Fig. 5 shows, for the K doped samples by substitution (Fig. 5(a)) and addition (Fig. 5(b)), the magnetic hysteresis loops measured at T = 4.2 K with the applied field H parallel to the c axis (H||c). Use of the Bean critical state model [31, 32] allows to extract the critical current density Jc from the M(H)curves. The formula used is: Jc=20ΔMH/[b(1b/3a)] Jc\; = \;20\Delta MH/[b(1 - b/3a)]\; ΔMH=MdnMup \Delta MH\; = \;Mdn\; - \;Mup Where Mdn is the magnetization measured for decreasing, Mup for increasing, the applied magnetic field. a and b are the lengths (in cm) characterizing the cross section of the sample perpendicular to the applied field (H||c).

Fig. 5

Magnetic hysteresis loops measured at T = 4.2 K for the K doped samples by substitution (a) and addition (b).

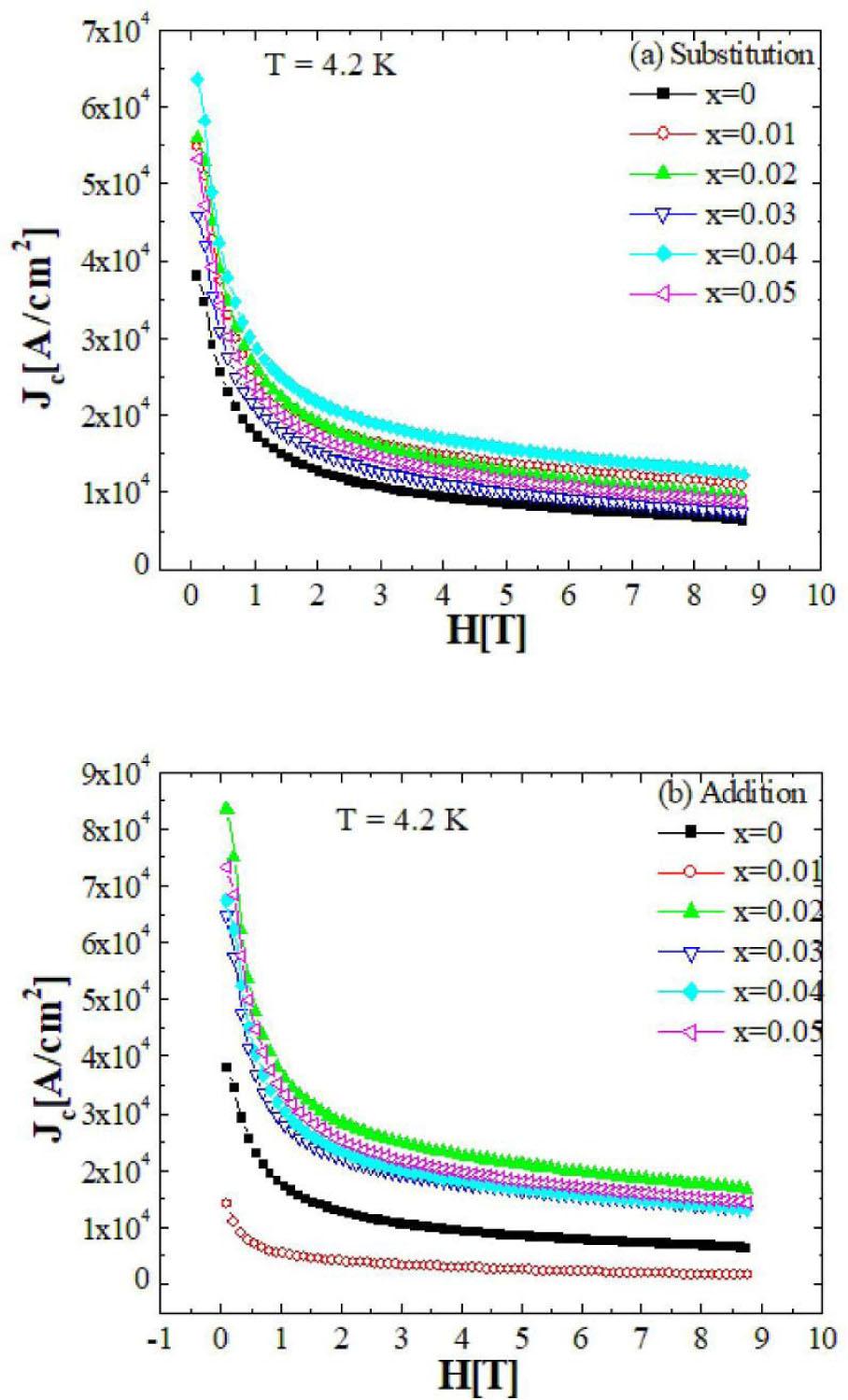
Fig. 6 reports Jc variations versus the applied field H for the K doped samples by substitution (a) and addition (b). Except for x = 0.01 doped by addition, both methods enhance Jc. Highest Jc is obtained in sample doped by substitution with x = 0.04 and sample doped by addition with x = 0.02. Addition of K gives higher values of Jc reaching a maximum more than two times the undoped one. In Bi based superconducting ceramics, the structural properties are beside the anisotropy of physical properties the main factor governing the behaviour of Jc. Improvement of critical current density is due to the enhancement of flux pinning properties [33]. This depends at its turn on structure for intrinsic pinning and grain boundaries for pinning centres (low angle grain boundaries can act as pinning centres). Effective pinning centres are created by doping impurities, of the order of coherence length, in the system. This will lead to an improvement of flux pinning properties of the Bi system. Impurities chosen for flux pinning should not deteriorate the superconducting properties [34, 35]. Jc depends also on grain size and orientation, which control the size of superconducting current loops [19, 36]. The lowest value of Jc is obtained in the sample doped by addition with x = 0.01.

Fig. 6

Magnetic field dependence, at T = 4.2 K, of critical current density Jc for K doped samples with substitution (a) and addition (b).

4
Conclusion

In the present work, samples of Bi(Pb)2212 are doped by potassium using two methods: substitution and addition. XRD and SEM analysis shows that substitution by K enhances the texture, while for addition, this effect is obtained only for a lower rate of K [21]. Resistivity measurements show a decrease of Tconset {\rm{T}}_{\rm{c}}^{{\rm{onset}}} and Tcoff {\rm{T}}_{\rm{c}}^{{\rm{off}}} for both methods. The K doping by substitution may increase the incorporation of oxygen in the structure; this will reduce the Cu valence and consequently a degradation of Tconset {\rm{T}}_{\rm{c}}^{{\rm{onset}}} .

Magnetic measurements show an improvement of the critical current density for both methods. The enhance of Jc is greater for the samples obtained by addition and it reaches a maximum (more than two times the undoped one). This effect is a result of the improvement of the texture, which give a better grain orientation and the higher grain size observed by SEM [21]. The results have shown that better properties are obtained when potassium is added with a possible substitution at the calcium site instead of strontium site.

For practical application, potassium doping by addition seems a better way to improve superconducting properties.

DOI: https://doi.org/10.2478/msp-2021-0005 | Journal eISSN: 2083-134X | Journal ISSN: 2083-1331
Language: English
Page range: 15 - 23
Submitted on: Feb 22, 2021
|
Accepted on: Feb 22, 2021
|
Published on: Jun 1, 2021
In partnership with: Paradigm Publishing Services
Publication frequency: 4 issues per year

© 2021 K. Belala, A. Galluzzi, M.F. Mosbah, M. Polichetti, published by Wroclaw University of Science and Technology
This work is licensed under the Creative Commons Attribution-NonCommercial-NoDerivatives 4.0 License.