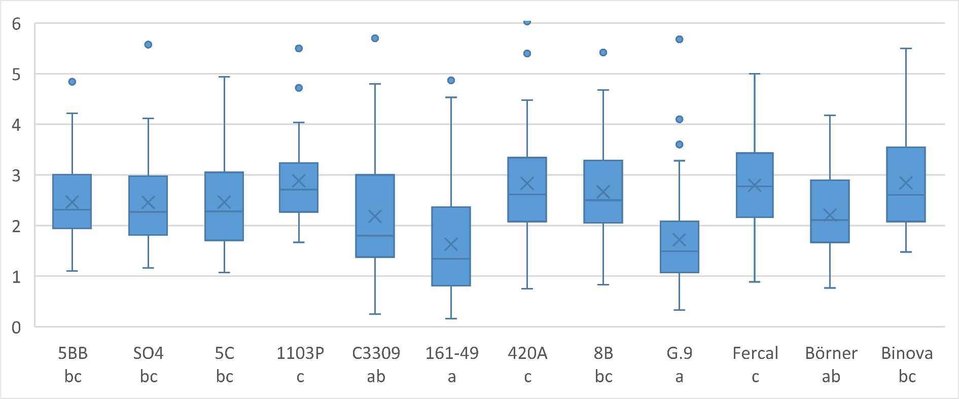
Abb. 1:

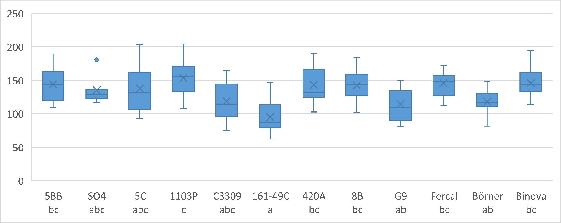
Abb. 2:

Abb. 3:

Makronährstoffgehalte der Blätter von ‘Welschriesling‘ (g/100g Trockensubstanz) in Abhängigkeit von der Unterlagsrebsorte (Mittelwerte und Standardabweichungen der Jahre 2010, 2012, 2015, 2018 und 2020_ ANOVA mit Fisher LSD-Analyse bzw_ Kruskal-Wallis-Test -mehrfache Paarvergleiche mittels Dunns Prozedur; n_s_ = nicht signifikant, *= signifikant (P≤0,05))_
| Stickstoff | Phosphor | Kalium | Kalzium | Magnesium | ||||||
|---|---|---|---|---|---|---|---|---|---|---|
| g/100g | SD | g/100g | SD | g/100g | SD | g/100g | SD | g/100g | SD | |
| 5BB | 2,66 ab | 0,42 | 0,27 abc | 0,04 | 1,12 abc | 0,11 | 2,12 abc | 0,23 | 0,13 abc | 0,01 |
| SO4 | 2,64 ab | 0,27 | 0,24 bc | 0,03 | 1,18 ab | 0,09 | 1,98 bc | 0,10 | 0,11 ab | 0,01 |
| 5C | 2,80 a | 0,37 | 0,28 ab | 0,05 | 1,14 abc | 0,18 | 2,19 ab | 0,11 | 0,13 abc | 0,02 |
| 1103P | 2,68 ab | 0,35 | 0,30 a | 0,03 | 0,92 d | 0,09 | 2,38 a | 0,13 | 0,21 c | 0,01 |
| C3309 | 2,60 ab | 0,41 | 0,22 c | 0,02 | 1,18 ab | 0,12 | 1,58 de | 0,14 | 0,16 bc | 0,01 |
| 161-49C | 2,52 ab | 0,28 | 0,23 c | 0,05 | 1,21 a | 0,15 | 1,76 cd | 0,29 | 0,14 abc | 0,01 |
| 420A | 2,67 ab | 0,30 | 0,24 bc | 0,04 | 1,04 bcd | 0,15 | 1,99 abc | 0,14 | 0,13 abc | 0,00 |
| 8B | 2,66 ab | 0,21 | 0,24 bc | 0,03 | 1,17 ab | 0,12 | 1,89 bcd | 0,25 | 0,15 abc | 0,02 |
| Ganzin 9 | 2,28 b | 0,33 | 0,24 bc | 0,06 | 0,98 cd | 0,18 | 1,35 e | 0,12 | 0,09 a | 0,01 |
| Fercal | 2,70 ab | 0,37 | 0,26 abc | 0,04 | 1,08 abcd | 0,19 | 1,95 bcd | 0,15 | 0,16 bc | 0,02 |
| Börner | 2,52 ab | 0,34 | 0,22 c | 0,03 | 1,13 abc | 0,11 | 1,75 cd | 0,15 | 0,13 abc | 0,01 |
| Binova | 2,82 a | 0,48 | 0,23 bc | 0,03 | 1,12 abc | 0,07 | 1,99 abc | 0,16 | 0,13 abc | 0,01 |
| *sign. | *sign. | *sign. | *sign. | *sign. | ||||||
Mittelwerte von °KMW, Gesamtzucker (g/l), Gesamtsäure (g/l), pH-Wert, NOPA (mg/l) und NH4+ (mg/l) von ‘Welschriesling‘ der Jahre 2008 bis 2019 zum Lesezeitpunkt und in Abhängigkeit von der Unterlagsrebsorte (ANOVA und Fisher LSD-Analyse bzw_ Kruskal-Wallis-Test - mehrfache Paarvergleiche mittels Dunns Prozedur; n_s_ = nicht signifikant, *= signifikant (P≤0,05))_
| °KMW; | SD | Gesamtzucker g/l | SD | Gesamtsäure g/l | SD | pH | SD | NOPA mg/l | SD | NH4+ mg/l | SD | |
|---|---|---|---|---|---|---|---|---|---|---|---|---|
| 5BB | 17,7 | 1,53 | 201,4 | 24,3 | 7,98 | 1,1 | 2,96 | 0,08 | 52,5 | 14,9 | 25,6 | 10,0 |
| SO4 | 17,3 | 1,45 | 194,8 | 22,0 | 8,38 | 1,1 | 2,95 | 0,06 | 66,8 | 22,9 | 34,1 | 12,3 |
| 5C | 17,6 | 1,65 | 199,2 | 27,2 | 8,16 | 1,2 | 2,94 | 0,08 | 54,3 | 18,6 | 25,6 | 9,1 |
| 1103P | 17,7 | 1,31 | 203,8 | 22,8 | 8,19 | 1,3 | 2,94 | 0,09 | 48,0 | 17,8 | 24,1 | 9,9 |
| C3309 | 17,7 | 1,42 | 207,5 | 23,7 | 7,50 | 1,1 | 2,99 | 0,09 | 52,1 | 31,3 | 23,6 | 21,5 |
| 161-49C | 17,7 | 1,23 | 203,7 | 22,8 | 7,77 | 0,8 | 2,98 | 0,07 | 50,5 | 20,5 | 24,3 | 12,8 |
| 420A | 17,9 | 1,53 | 202,7 | 24,5 | 8,11 | 1,2 | 2,95 | 0,06 | 56,0 | 21,2 | 29,7 | 12,7 |
| 8B | 17,5 | 1,48 | 199,9 | 25,1 | 7,80 | 1,1 | 2,96 | 0,07 | 47,2 | 26,0 | 21,5 | 14,5 |
| G9 | 15,7 | 1,37 | 179,4 | 18,9 | 8,59 | 1,1 | 2,94 | 0,05 | 44,7 | 21,0 | 23,6 | 14,4 |
| Fercal | 17,3 | 1,25 | 198,0 | 19,1 | 7,95 | 1,0 | 2,95 | 0,06 | 49,8 | 21,2 | 24,3 | 13,8 |
| Börner | 17,7 | 1,12 | 207,1 | 18,6 | 8,03 | 1,0 | 2,96 | 0,08 | 46,9 | 28,8 | 24,3 | 20,3 |
| Binova | 17,7 | 1,49 | 199,2 | 23,7 | 8,36 | 1,0 | 2,96 | 0,08 | 57,2 | 16,4 | 28,0 | 13,8 |
| *sign. | *sign. | *sign. | n.s. | n.s. | n.s. | |||||||
Versuchsvarianten (= verwendete Rebunterlagen)
| Unterlagsrebsorte | Abstammung (Elternsorten) | |
|---|---|---|
| Kober 5 BB | 5BB | V. berlandieri × V. riparia |
| Selektion Oppenheim 4 | SO4 | V. berlandieri × V. riparia |
| Teleki 5 C | 5C | V. berlandieri × V. riparia |
| Paulsen 1103 | 1103P | V. berlandieri × V. rupestris |
| 161-49 Couderc | 161-49C | V. riparia × V. berlandieri |
| 3309 Couderc | C3309 | V. riparia × V. rupestris |
| 420 A Millardet et de Grasset | 420A | V. berlandieri × V. riparia |
| Teleki 8 B | 8B | V. berlandieri × V. riparia |
| Ganzin 9 | G9 | Aramon × V. rupestris Ganzin |
| Fercal | (Vitis berlandieri × Ugni Blanc) 1B × Richter 31 | |
| Börner | V. riparia 183Gm × V. cinerea Arnold | |
| Binova Sel. Oppenheim 4 Mutation | Binova | V. berlandieri × V. riparia |
Daten der Wetterstation Adcon „LVZ Haidegg (Pößnitz – Süd)“, 46°38’N, 15°30’E der Jahre 2008 bis 2023_
| Jahr | mm Niederschlag | mm Niederschlag Juni - August | °C Temperaturmittel | °C Temperaturmittel April - Oktober | °C Temperaturmittel Juni - August | Tropentage (Temp. ≥ 30°C) Juni-August |
|---|---|---|---|---|---|---|
| 2008 | 883 | 460 | 11,4 | 16,0 | 19,7 | 16 |
| 2009 | 1.477 | 745 | 10,8 | 16,4 | 19,5 | 16 |
| 2010 | 980 | 336 | 9,9 | 15,4 | 20,3 | 37 |
| 2011 | 848 | 393 | 10,8 | 16,6 | 19,9 | 25 |
| 2012 | 1.005 | 328 | 11,2 | 16,6 | 21,1 | 42 |
| 2013 | 1.065 | 143 | 10,6 | 16,6 | 21,2 | 46 |
| 2014 | 1.424 | 461 | 11,4 | 15,7 | 18,7 | 11 |
| 2015 | 1.020 | 325 | 11,3 | 16,4 | 20,9 | 39 |
| 2016 | 1.193 | 396 | 10,8 | 16,1 | 19,7 | 11 |
| 2017 | 840 | 177 | 11,0 | 16,6 | 21,3 | 42 |
| 2018 | 1.049 | 345 | 11,3 | 17,5 | 20,4 | 26 |
| 2019 | 1.024 | 293 | 11,6 | 16,6 | 21,4 | 28 |
| 2020 | 951 | 433 | 10,8 | 16,0 | 19,6 | 16 |
| 2021 | 906 | 295 | 10,4 | 15,5 | 20,7 | 30 |
| 2022 | 936 | 351 | 11,4 | 16,7 | 21,1 | 28 |
| 2023 | 1.291 | 534 | 11,6 | 16,6 | 20,2 | 27 |
| MW | 1.056 | 376 | 11,0 | 16,3 | 20,4 | 27,5 |
Resistenz von ‘Welschriesling‘ gegen Trockenheit (Deskriptor OIV 403) in Abhängigkeit von der Unterlagsrebsorte im Jahr 2013 (Mittelwerte und Standardabweichungen; Kruskal-Wallis-Test; mehrfache Paarvergleiche mittels Dunns Prozedur / Zweiseitiger Test; Werte mit unterschiedlichen Buchstaben unterscheiden sich signifikant (p<=0,05))_
| MW | Gruppen | SD | |
|---|---|---|---|
| 5BB | 8,5 | a | 1,0 |
| SO4 | 8,0 | a | 2,0 |
| 5C | 8,0 | a | 1,2 |
| 1103P | 9,0 | a | 0,1 |
| C3309 | 6,5 | a | 1,9 |
| 161-49C | 7,5 | a | 1,0 |
| 420A | 8,5 | a | 1,0 |
| 8B | 7,0 | a | 1,6 |
| G9 | 7,0 | a | 1,6 |
| Fercal | 9,0 | a | 0,1 |
| Börner | 6,5 | a | 1,0 |
| Binova | 8,0 | a | 1,0 |
| n.s. |
Mittelwerte der Gehalte an Magnesium (mg/l), Kalium (mg/l), Kalzium (mg/l) und Natrium (mg/l) im ‘Welschriesling‘-Most der Jahre 2008 bis 2019 in Abhängigkeit von der Unterlagsrebsorte (ANOVA und Fisher LSD-Analyse bzw_ Kruskal-Wallis-Test - mehrfache Paarvergleiche mittels Dunns Prozedur); n_s_ = nicht signifikant, *= signifikant (P≤0,05))_
| mg/l Magnesium | SD | mg/l Kalium | SD | mg/l Kalzium | SD | mg/l Natrium | SD | |
|---|---|---|---|---|---|---|---|---|
| 5BB | 74,3 | 7,6 | 1164 | 221 | 51,4 | 14,2 | 20,0 | 7,9 |
| SO4 | 72,5 | 6,4 | 1201 | 192 | 55,3 | 17,4 | 20,6 | 10,2 |
| 5C | 76,0 | 6,4 | 1178 | 217 | 52,1 | 16,6 | 19,3 | 8,1 |
| 1103P | 80,9 | 7,1 | 1195 | 206 | 49,4 | 14,8 | 18,9 | 9,5 |
| C3309 | 84,3 | 8,4 | 1174 | 204 | 56,1 | 16,8 | 19,1 | 8,8 |
| 161-49C | 77,4 | 6,7 | 1179 | 206 | 55,9 | 16,8 | 18,4 | 8,2 |
| 420A | 74,9 | 5,9 | 1187 | 170 | 52,1 | 14,4 | 21,1 | 9,0 |
| 8B | 74,6 | 7,0 | 1151 | 196 | 52,4 | 13,9 | 18,6 | 7,3 |
| G9 | 80,0 | 7,9 | 1184 | 204 | 59,3 | 17,3 | 18,0 | 6,3 |
| Fercal | 73,8 | 6,1 | 1157 | 175 | 50,8 | 13,7 | 19,6 | 11,4 |
| Börner | 76,7 | 7,6 | 1173 | 178 | 60,7 | 16,0 | 18,3 | 8,1 |
| Binova | 72,7 | 6,8 | 1204 | 196 | 55,6 | 13,9 | 19,3 | 8,8 |
| n.s. | n.s. | n.s. | n.s. | |||||
Schnittholzgewichte (1-jähriges Holz über 15 Jahre) und Stammdurchmesser von Welschriesling in Abhängigkeit von der Unterlagsrebsorte (Mittelwerte und Standardabweichungen)_ Mehrfache Paarvergleiche mittels Dunns Prozedur / Zweiseitiger Test_ Signifikanzniveau 5 %
| Schnittholzgewicht (kg/Stock) | Stammdurchmesser (mm) | |||
|---|---|---|---|---|
| Mittelwerte 2008-2022 | SD | Werte nach 17 Standjahren | SD | |
| 5BB | 0,46 cd | 0,11 | 38,4 ab | 5,9 |
| SO4 | 0,42 bcd | 0,11 | 34,8 a | 3,1 |
| 5C | 0,42 bcd | 0,10 | 36,6 ab | 4,0 |
| 1103P | 0,59 d | 0,12 | 41,3 b | 4,6 |
| C3309 | 0,24 ab | 0,12 | 32,9 a | 5,5 |
| 161-49C | 0,21 a | 0,10 | 32,8 a | 6,6 |
| 420 A | 0,48 cd | 0,11 | 37,6 ab | 7,5 |
| 8B | 0,37 abc | 0,10 | 33,7 a | 6,2 |
| Ganzin 9 | 0,38 abc | 0,08 | 36,2 ab | 3,5 |
| Fercal | 0,41 bcd | 0,11 | 37,0 ab | 3,3 |
| Börner | 0,28 ab | 0,07 | 34,1 a | 6,6 |
| Binova | 0,45 cd | 0,09 | 36,6 ab | 4,1 |
| *sign. | *sign. | |||
Mikronährstoffgehalte der Blätter von ‘Welschriesling‘ (mg/1000g Trockensubstanz) in Abhängigkeit von der Unterlagsrebsorte (Mittelwerte und Standardabweichungen der Jahre 2010, 2012, 2015, 2018 und 2020; ANOVA mit Fisher LSD-Analyse bzw_ Kruskal-Wallis-Test - mehrfache Paarvergleiche mittels Dunns Prozedur; n_s_ = nicht signifikant, *= signifikant (P≤0,05))_
| Bor | Mangan | Kupfer | Zink | Eisen | ||||||
|---|---|---|---|---|---|---|---|---|---|---|
| mg pro 1000g | SD | mg pro 1000g | SD | mg pro 1000g | SD | mg pro 1000g | SD | mg pro 1000g | SD | |
| 5BB | 21,5 a | 10,1 | 66,3 a | 14,3 | 10,4 abc | 2,3 | 34,5 a | 5,8 | 83,6 a | 9,0 |
| SO4 | 23,7 a | 10,3 | 55,4 a | 12,9 | 10,0 bc | 1,5 | 30,9 a | 8,4 | 71,4 abc | 10,2 |
| 5C | 24,9 a | 10,3 | 63,1 a | 9,9 | 10,5 abc | 1,4 | 31,9 a | 5,5 | 76,0 abc | 7,9 |
| 1103P | 28,4 a | 13,0 | 80,0 a | 17,4 | 14,2 a | 2,1 | 30,1 a | 5,3 | 79,0 ab | 10,2 |
| C3309 | 25,8 a | 13,3 | 59,5 a | 21,7 | 8,6 bc | 1,5 | 37,3 a | 6,6 | 69,4 abc | 8,3 |
| 161-49C | 18,5 a | 7,9 | 48,8 a | 17,7 | 7,4 c | 2,5 | 33,0 a | 1,6 | 71,4 abc | 18,2 |
| 420A | 22,2 a | 10,0 | 59,9 a | 9,7 | 9,2 bc | 1,8 | 35,7 a | 8,2 | 69,8 abc | 8,7 |
| 8B | 21,1 a | 9,9 | 63,2 a | 19,9 | 11,5 abc | 1,8 | 34,3 a | 3,8 | 75,4 abc | 14,4 |
| Ganzin 9 | 21,9 a | 9,4 | 47,7 a | 14,9 | 14,6 a | 1,5 | 31,8 a | 10,7 | 67,6 bc | 9,3 |
| Fercal | 26,4 a | 12,5 | 68,5 a | 21,5 | 12,5 ab | 1,1 | 34,5 a | 5,8 | 75,8 abc | 8,0 |
| Börner | 19,9 a | 8,8 | 56,9 a | 22,0 | 9,0 bc | 2,3 | 32,5 a | 9,0 | 63,2 c | 15,4 |
| Binova | 24,8 a | 10,7 | 61,1 a | 13,7 | 9,6 bc | 1,6 | 30,3 a | 8,9 | 77,4 abc | 9,8 |
| n.s. | n.s. | *sign. | n.s. | *sign. | ||||||
Prozentueller Anteil von mit Stiellähme befallenen Trauben bzw_ Traubenteilen der Sorte Welschriesling in Abhängigkeit von der Unterlags-rebsorte im Jahr 2014 (Mittelwerte und Standardabweichungen; Kruskal-Wallis-Test; mehrfache Paarvergleiche mittels Dunns Prozedur / Zweiseitiger Test; Werte mit unterschiedlichen Buchstaben unterscheiden sich signifikant (p≤0,05))_
| % Befall MW | SD | |
|---|---|---|
| 5BB | 19,1 ab | 7,8 |
| SO4 | 21,7 ab | 13,3 |
| 5C | 23,1 ab | 17,6 |
| 1103P | 16,1 ab | 8,2 |
| C3309 | 0,3 a | 0,5 |
| 161-49C | 4,6 ab | 3,3 |
| 420A | 13,4 ab | 6,9 |
| 8B | 16,1 ab | 8,7 |
| G9 | 6,1 ab | 5,8 |
| Fercal | 11,7 ab | 4,8 |
| Börner | 2,1 ab | 1,8 |
| Binova | 28,0 b | 16,7 |
| *sign. | ||