Abb. 1:

Abb. 2:

Abb. 3:

Anhang 3:

Abb. 4:

Abb. 5:

Abb. 6:

Abb. 7:

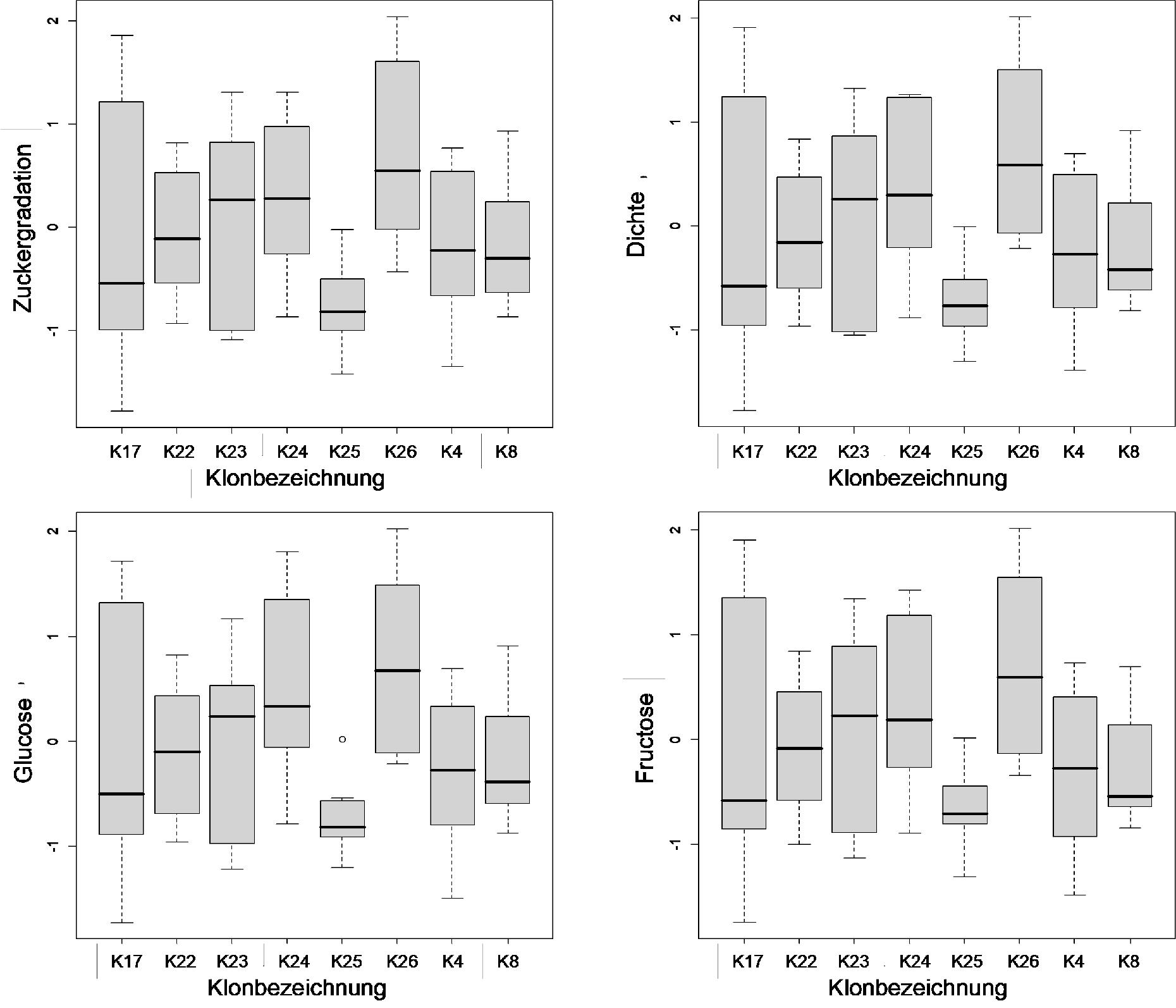
Abb. 1.1:

Abb. 1.2:

Abb. 1.3:

Abb. 1.4:

Abb. 1.5:

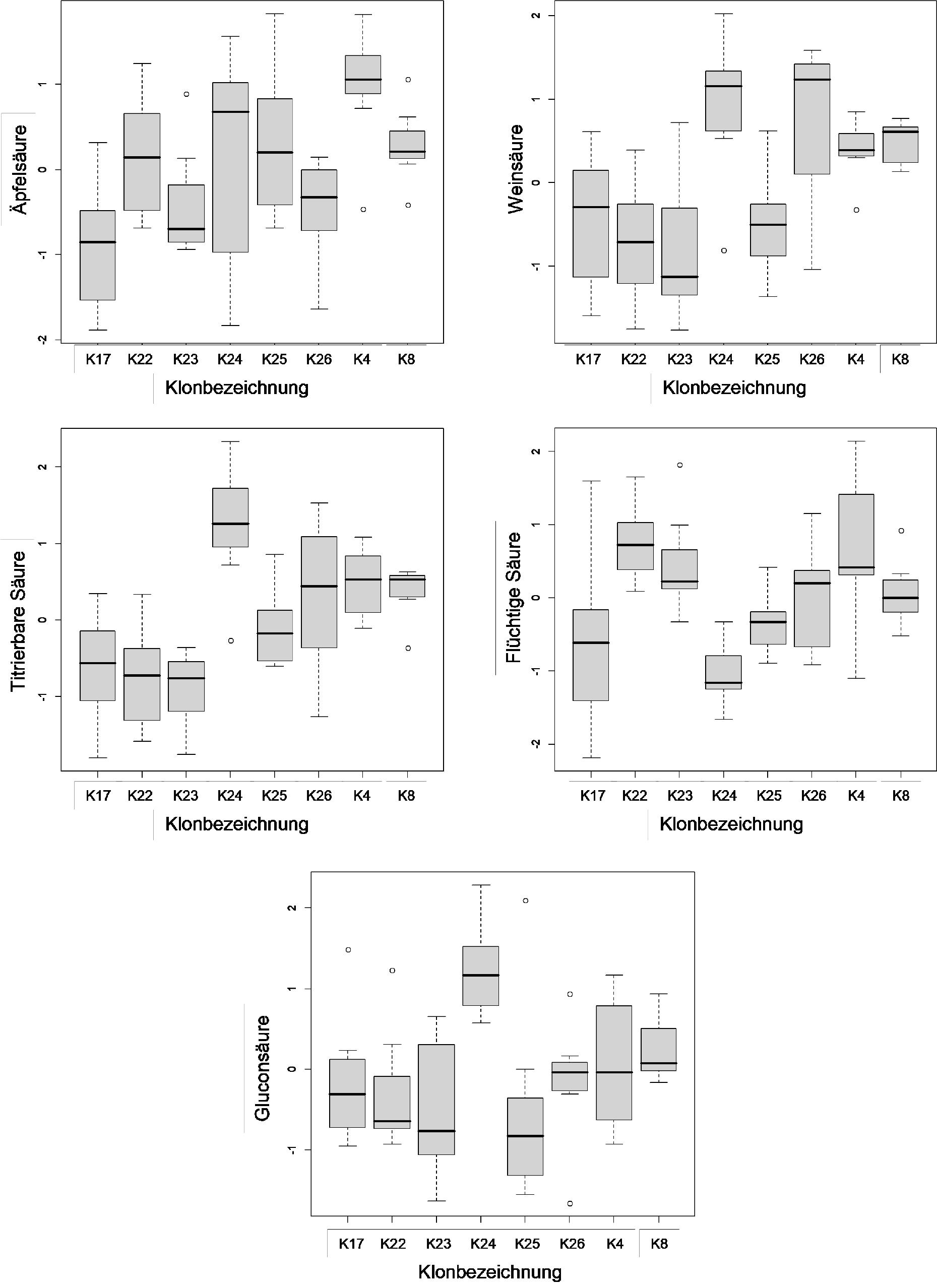
Abb. 2.1a:

Abb. 2.1b:

Abb. 2.1c:

Abb 2.1d:

Vergleich der Klone für die Menge an flüchtiger Säure im Traubensaft; verwendete Testverfahren sind der t-Test für verbundene Stichproben und der Wilcoxon-Vorzeichen (Signed Rank)-Test_ n_ s_ bedeutet nicht signifikant, P-Werte < 0,05 gelten als signifikant_ Man beachte, dass wegen der großen Testanzahl ein niedrigeres Signifikanzniveau (P < 0,01) gewählt werden könnte und sollte_ Dass trotzdem das höhere Signifikanzniveau gewählt wurde, liegt daran, dass mehrere signifikante Unterschiede bei einem Klon dessen herausragende Position ebenfalls belegen können_
| t-Test | GVK4 | GVK8 | GVK17 | GVK22 | GVK23 | GVK24 | GVK25 | GVK26 |
|---|---|---|---|---|---|---|---|---|
| GVK4 | n.s. | n.s. | n.s. | n.s. | 0.006336 | n.s. | n.s. | |
| GVK8 | n.s. | n.s. | n.s. | n.s. | n.s. | n.s. | ||
| GVK17 | n.s. | n.s. | n.s. | n.s. | n.s. | |||
| GVK22 | n.s. | 0.0001257 | 0.000232 | n.s. | ||||
| GVK23 | 0.006336 | 0.04086 | n.s. | |||||
| GVK24 | 0.00376 | 0.03893 | ||||||
| GVK25 | n.s. | |||||||
| GVK26 |
Klonunterschiede in qualitativer Beurteilung
| GVK4 | GVK8 | GVK17 | GVK22 | GVK23 | GVK24 | GVK25 | GVK26 | |
|---|---|---|---|---|---|---|---|---|
| 100 Beerengewicht | hoch | niedrig | ||||||
| Traubengewicht | niedrig | hoch | hoch | rel. niedrig | ||||
| Gradation in °KMW | hoch | niedrig | hoch | |||||
| Dichte | hoch | niedrig | hoch | |||||
| Glucose (g/l) | hoch | niedrig | hoch | |||||
| Fructose (g/l) | hoch | niedrig | hoch | |||||
| Titrierbare Säure (g/l) | konstant | niedrig | niedrig | niedrig | hoch | |||
| Weinsäure | konstant hoch | konstant hoch | niedrig | niedrig | niedrig | hoch | niedrig | rel. hoch |
| Äpfelsäure (g/l) | hoch | konstant | niedrig | rel. niedrig | ||||
| Flüchtige Säure (g/l) | hoch (variabel) | hoch | rel. hoch | niedrig | rel. niedrig | |||
| Gluconsäure (g/l) | konstant | hoch | konstant | |||||
| pH-Wert | hoch | konstant | hoch | rel. hoch | konstant niedrig | konstant | ||
| FAN | konst. hoch | niedrig | konstant |
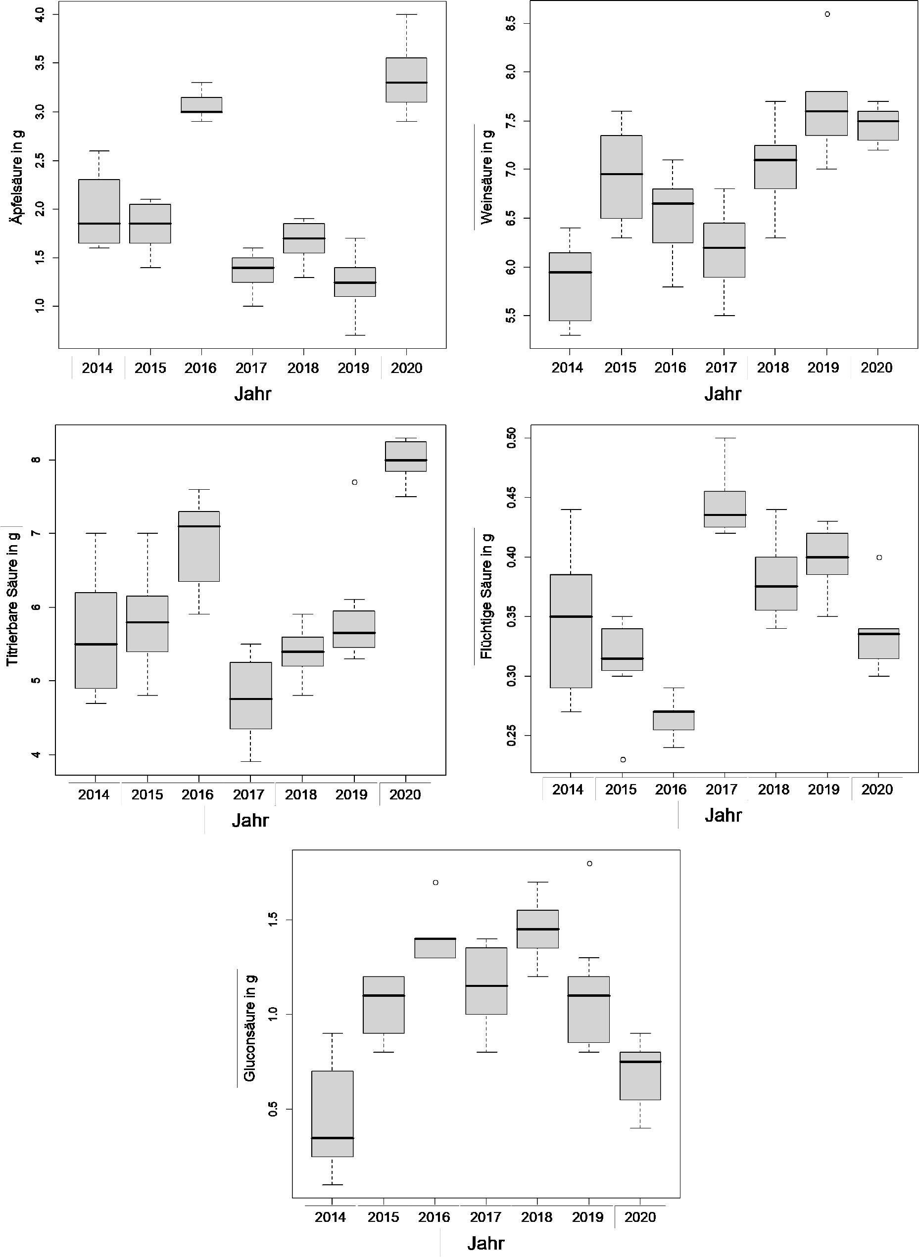
Lesetermine für den Versuchsweingarten im Untersuchungszeitraum; man beachte, dass z_ B_ der 19_09_2016 und der 19_09_2018 nicht der gleiche Tag des jeweiligen Jahres (DOY) sind_
| Lesetermin | Jahr | Tag des Jahres |
|---|---|---|
| 08.10.2014 | 2014 | 280 |
| 24.09.2015 | 2015 | 266 |
| 19.09.2016 | 2016 | 262 |
| 21.09.2017 | 2017 | 263 |
| 19.09.2018 | 2018 | 261 |
| 25.09.2019 | 2019 | 267 |
| 24.09.2020 | 2020 | 267 |