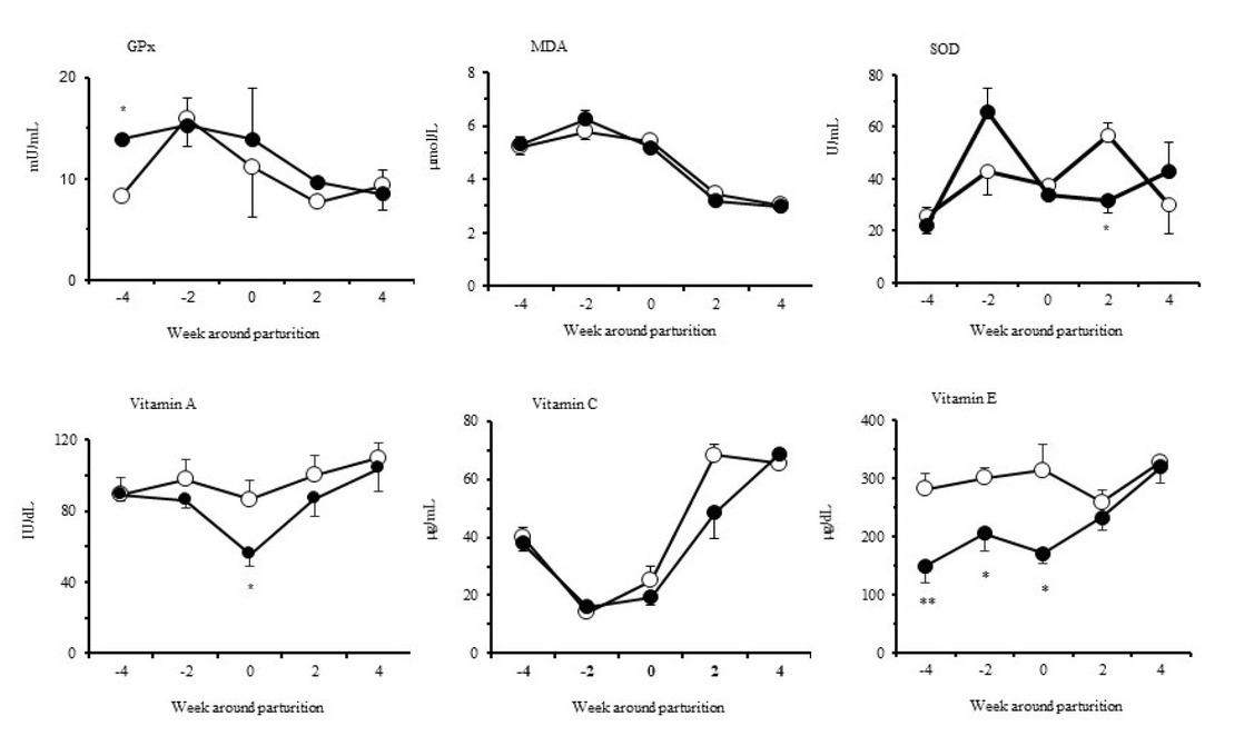
Fig. 1

Fig. 2

Group composition and blood sampling time
| Experiment | Study group | Haemolactia grade | Prepartum week | Postpartum week | ||||
|---|---|---|---|---|---|---|---|---|
| n | −4 | −2 | 0 | 2 | 4 | |||
| Haemolactic | Severe | 11 | - | - | 〇a) | - | - | |
| Exp. 1 | Non-haemolactic | - | 11 | - | - | 〇a) | - | - |
| Haemolactic | Moderate | 6 | 〇 | 〇 | 〇b) | 〇 | 〇 | |
| Exp. 2 | Non-haemolactic | - | 6 | 〇 | 〇 | 〇b) | 〇 | 〇 |