Figure S1

Figure S2

Figure 1

Figure 2

Figure 3

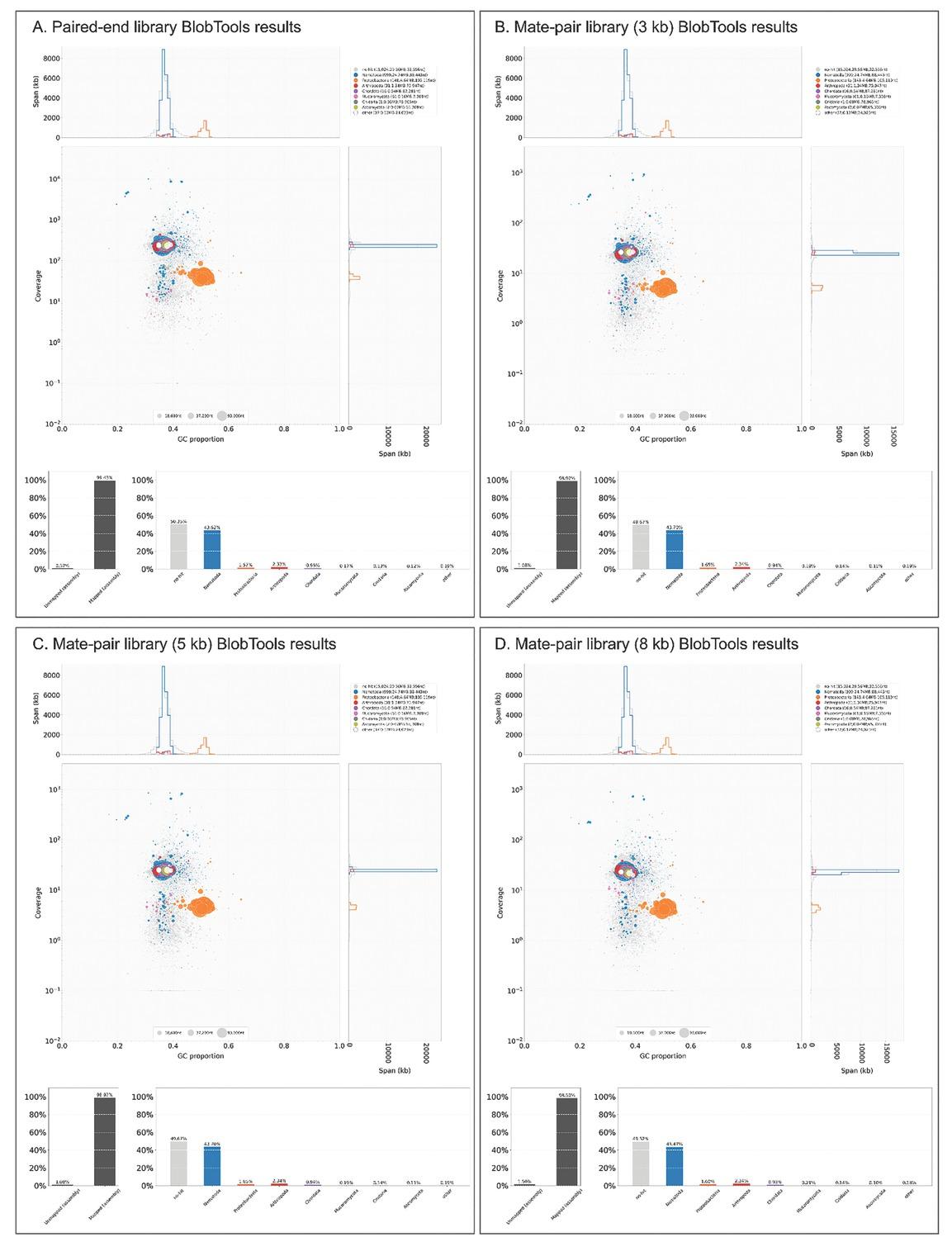
Figure S3

Figure 4

Figure 5

Whole body measurements of ten males, females and hermaphrodites_
| ID | Sexual morph | Length (μm) |
|---|---|---|
| MM1 | Male | 408.007 |
| MM2 | Male | 417.763 |
| MM3 | Male | 459.784 |
| MM4 | Male | 416.338 |
| MM5 | Male | 448.795 |
| MM6 | Male | 440.899 |
| MM7 | Male | 461.569 |
| MM8 | Male | 446.739 |
| MM9 | Male | 431.713 |
| MM10 | Male | 440.548 |
| FM1 | Female | 823.88 |
| FM2 | Female | 762.546 |
| FM3 | Female | 761.116 |
| FM4 | Female | 853.252 |
| FM5 | Female | 945.703 |
| FM6 | Female | 918.242 |
| FM7 | Female | 894.754 |
| FM8 | Female | 912.291 |
| FM9 | Female | 741.757 |
| FM11 | Female | 926.158 |
| HM1 | Hermaphrodite | 1,006.355 |
| HM2 | Hermaphrodite | 960.354 |
| HM3 | Hermaphrodite | 1,001.369 |
| HM4 | Hermaphrodite | 1,024.498 |
| HM5 | Hermaphrodite | 856.356 |
| HM6 | Hermaphrodite | 1,010.322 |
| HM7 | Hermaphrodite | 839.704 |
| HM8 | Hermaphrodite | 986.148 |
| HM10 | Hermaphrodite | 982.561 |
| HM11 | Hermaphrodite | 963.425 |
Number of F1 males, females and hermaphrodites produced by selfing mothers in the absence (control) and presence (crowding) of a crowding cue_
| Replicate | Male (%) | Female (%) | Hermaphrodite (%) | Total |
|---|---|---|---|---|
| Control 1 | 9 (11.7) | 68 (88.3) | 0 (0) | 77 |
| Control 2 | 3 (7.7) | 35 (89.7) | 1 (2.6) | 39 |
| Control 3 | 1 (7.7) | 9 (69.2) | 3 (23.1) | 13 |
| Control 4 | 4 (23.5) | 13 (76.5) | 0 (0.0) | 17 |
| Control 5 | 0 (0.0) | 45 (97.8) | 1 (2.2) | 46 |
| Total Control | 17 (8.9) | 170 (88.5) | 5 (2.6) | 192 |
| Crowding 1 | 0 (0.0) | 15 (88.2) | 2 (11.8) | 17 |
| Crowding 2 | 0 (0.0) | 15 (68.2) | 7 (31.8) | 22 |
| Crowding 3 | 1 (2.2) | 44 (95.7) | 1 (2.2) | 46 |
| Crowding 4 | 0 (0.0) | 27 (56.3) | 21 (43.8) | 48 |
| Crowding 5 | 0 (0.0) | 8 (19.5) | 33 (80.5) | 41 |
| Total Crowding | 1 (0.6) | 109 (62.6) | 64 (36.8) | 174 |
BUSCO scores of the genomes used to construct the phylogeny_
| Complete | Complete and single copy | Complete and duplicated | Fragmented | Missing | |
|---|---|---|---|---|---|
| A. melissensis (this study, GCA_943334845.1) | 2,784 (88.9%) | 2,771 (88.5%) | 13 (0.4%) | 45 (1.4%) | 302 (9.7%) |
| A. freiburgensis (Talal Al Yazeedi, pers. comm.) | 2,789 (89.1%) | 2,756 (88.0%) | 33 (1.1%) | 48 (1.5%) | 294 (9.4%) |
| A. rhodensis (GCA_947366455) | 2,812 (89.8%) | 2,796 (89.3%) | 16 (0.5%) | 39 (1.2%) | 280 (9.0%) |
| O. tipulae (GCA_013425905.1) | 2,843 (90.8%) | 2,786 (89.0%) | 57 (1.8%) | 47 (1.5%) | 241 (7.7%) |
| C. elegans (GCF_000002985.6) | 3,113 (99.4%) | 3,096 (98.9%) | 17 (0.5%) | 3 (0.1%) | 15 (0.5%) |
| P. pacificus (GCA_000180635.4) | 2,587 (82.6%) | 2,537 (81.0%) | 50 (1.6%) | 38 (1.2%) | 506 (16.2%) |
Preprocessing of the genomic libraries_
| Library (insert size) | Number of raw pairs | Number of pairs after trimming (quality and size)* | Number of pairs after contamination removal |
|---|---|---|---|
| Pair-end DNA library (200 bp) | 68,587,064 | 68,109,105 (99.30%) | 67,271,297 |
| Mate-pair DNA library (3 kb) | 16,195,093 | 9,920,448 (61.26%) | 9,766,526 |
| Mate-pair DNA library (5 kb) | 11,655,487 | 7,484,279 (64.21%) | 7,372,147 |
| Mate-pair DNA library (8 kb) | 10,769,133 | 7,125,674 (66.17%) | 7,017,505 |
Genomic and transcriptomic raw data used in this study_
| Library (insert size) | Number of raw pairs | GC content (%) | Run accession number (experiment acc) |
|---|---|---|---|
| Pair-end DNA library (200 bp) | 68,587,064 | 37 | ERR9709439 (ERX9258761) |
| Mate-pair DNA library (3 kb) | 16,195,093 | 37 | ERR9709942 (ERX9259264) |
| Mate-pair DNA library (5 kb) | 11,655,487 | 37 | ERR9710904 (ERX9260226) |
| Mate-pair DNA library (8 kb) | 10,769,133 | 37 | ERR9709954 (ERX9259276) |
| RNA-seq library of mixed stages | 22,509,195 | 44 | ERR9712246 (ERX9261548) |
Basic statistics on the genome of A_ melissensis compared to that of C_ elegans_ The nematoda_odb10 database was used for the BUSCO analysis_
| A. melissensis PRJEB51845/ GCA_ 943334845.1 | C. elegans PRJNA13758/ GCF_ 000002985.6 | |
|---|---|---|
| Number of scaffolds | 7,511 | 6 + MT |
| Span (Mb) | 59.7 | 100.3 |
| GC content (%) | 37.1 | 35.4 |
| N50 (bp) | 404,820 (n = 39) | 17,493,829 |
| Longest scaffold/ chromosome | 2,171,611 | 20,924,180 |
| N counts | 5,769,006 | 0.00 |
| Gaps | 3,945 | NA |
| Repeats | 4,816,819 bp (8.07%) | (21.95%) |
| BUSCO (v5.2.2) score (on genome) | C: 88.9% [S: 88.5%, D: 0.4%], F: 1.4%, M: 9.7%, n: 3,131 | C: 99.4% [S: 98.9%, D: 0.5%], F: 0.1%, M: 0.5% |
| No. of protein-coding genes | 11,040 | 20,184 |
| BUSCO (v5.2.2) score (on the proteome, using nematoda_ odb10, n = 3,131) | C: 89.7% [S: 77.2%, D: 12.5%], F: 1.1%, M: 9.2% | C: 100.0% [S: 74.8%, D: 25.2%], F: 0.0%, M: 0.0% |
Crosses were performed between A_ melissensis and A_ rhodensis or A_ freiburgensis_ The number of crosses performed is denoted by “n_”
| Males | ||||
|---|---|---|---|---|
| A. melissensis | A. rhodensis | A. freiburgensis | ||
| Females | A. melissensis | No offspring (n = 5) | No offspring (n = 11) | |
| A. rhodensis | No offspring (n = 5) | |||
| A. freiburgensis | No offspring (n = 8) |
Putative X scaffolds_ Scaffolds containing at least 3 Nigon X BUSCO genes were considered putative X scaffolds_
| Scaffolds | Number of Nigon X BUSCO genes | Number of BUSCO genes of other Nigons |
|---|---|---|
| scaffold120 (CALQYR010007222.1) | 10 | 0 |
| scaffold167 (CALQYR010007273.1) | 18 | 0 |
| scaffold125 (CALQYR010007227.1) | 5 | 0 |
| scaffold146 (CALQYR010007250.1) | 5 | 0 |
| scaffold91 (CALQYR010007503.1) | 12 | 0 |
| scaffold79 (CALQYR010007489.1) | 7 | 0 |
| scaffold72 (CALQYR010007482.1) | 6 | 0 |
| scaffold42 (CALQYR010007449.1) | 3 | 0 |
| scaffold41 (CALQYR010007448.1) | 3 | 0 |
| scaffold190 (CALQYR010007299.1) | 3 | 0 |
| scaffold168 (CALQYR010007274.1) | 3 | 0 |
Classification of the repeats by Repeat Masker_
| Category | Number of elements* | Length occupied (bp) | Percentage of sequence |
|---|---|---|---|
| SINEs (all) | 30 | 7,757 | 0.01 |
| SINEs (ALUs) | 0 | 0 | 0.00 |
| SINEs (MIRs) | 0 | 0 | 0.00 |
| LINEs (all) | 78 | 22,828 | 0.04 |
| LINEs (LINE1) | 0 | 0 | 0.00 |
| LINEs (LINE2) | 10 | 4,088 | 0.01 |
| LINEs (L3/CR1) | 14 | 5,507 | 0.01 |
| LTR elements (all) | 1,799 | 727,003 | 1.22 |
| LTR elements (ERVL) | 0 | 0 | 0.00 |
| LTR elements (ERVL-MaLRs) | 0 | 0 | 0.00 |
| LTR elements (ERV_classI) | 0 | 0 | 0.00 |
| LTR elements (ERV_classII) | 0 | 0 | 0.00 |
| DNA elements | 430 | 161,038 | 0.27 |
| DNA elements (hAT-Charlie) | 0 | 0 | 0.00 |
| DNA elements (TcMar-Tigger) | 1 | 807 | 0.00 |
| Unclassified | 6,850 | 2,109,448 | 3.53 |
| Total interspersed repeats | NA | 3,028,074 | 5.07 |
| Small RNA | 792 | 186,973 | 0.31 |
| Satellites | 167 | 46,755 | 0.08 |
| Simple repeats | 24,687 | 1,082,694 | 1.81 |
| Low complexity | 8,083 | 464,828 | 0.78 |