Figure 1

Figure 2

Figure 3

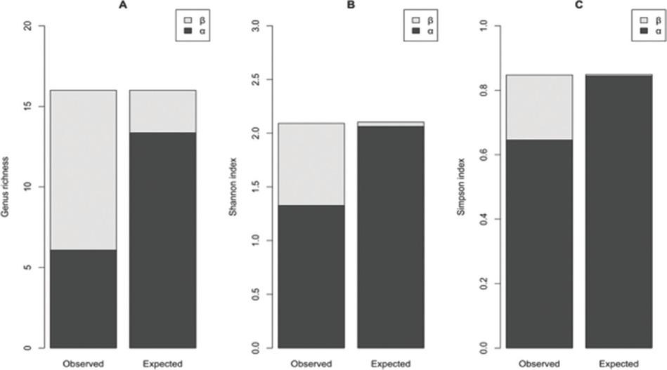
Figure 4

Figure 5

Figure 6

Soil properties in sweet potato fields at 0–30 cm depth in Central, Manyatta, and Nembure regions in Embu County, Kenya_
| Soil property | Central | Manyatta | Nembure | P value | |||
|---|---|---|---|---|---|---|---|
| Mean | SE | Mean | SE | Mean | SE | ||
| pH | 4.89 | 0.23 | 4.70 | 0.16 | 4.72 | 0.14 | 0.74 |
| Total Nitrogen% | 0.36 | 0.01 | 0.38 | 0.02 | 0.29 | 0.03 | 0.02* |
| Total Organic Carbon% | 4.04 | 0.14 | 4.25 | 0.20 | 3.36 | 0.31 | 0.02* |
| Phosphorus ppm | 25.31 | 4.43 | 17.33 | 2.09 | 14.86 | 2.76 | 0.08 |
| Potassium meq% | 0.92 | 0.16 | 1.10 | 0.12 | 0.84 | 0.14 | 0.42 |
| Calcium meq% | 2.56 | 0.69 | 2.55 | 0.65 | 1.81 | 0.62 | 0.67 |
| Magnesium meq% | 3.39 | 0.34 | 3.29 | 0.33 | 3.29 | 0.28 | 0.97 |
| Manganese meq% | 0.79 | 0.04 | 0.85 | 0.05 | 0.66 | 0.05 | 0.02* |
| Copper ppm | 4.83 | 2.09 | 3.55 | 1.34 | 1.26 | 0.30 | 0.26 |
| Iron ppm | 27.25 | 4.15 | 33.38 | 7.11 | 26.68 | 5.00 | 0.64 |
| Zinc ppm | 34.12 | 3.49 | 23.01 | 2.54 | 16.18 | 2.47 | <0.0001*** |
| Sodium meq% | 0.58 | 0.03 | 0.44 | 0.03 | 0.46 | 0.04 | 0.02* |
| Sand (%) | 10.00 | 3.89 | 15.87 | 5.50 | 13.71 | 6.24 | 0.72 |
| Clay (%) | 77.63 | 3.73 | 72.13 | 5.28 | 75.29 | 6.15 | 0.74 |
| Silt (%) | 12.38 | 0.33 | 12.00 | 0.34 | 11.00 | 0.35 | 0.02* |
Two-way analysis of variance (P values) of region, depth, and their interaction on nematode genera, Pielou’s evenness, Shannon–Weaver, and Simpson diversity indices in sweet potato fields in Central, Manyatta, and Nembure regions of Embu County, Kenya_
| Region | Depth | Region × depth | |
|---|---|---|---|
| Nematode genera | |||
| Coslenchus | 0.11 | 0.64 | 0.72 |
| Helicotylenchus | 0.97 | 0.97 | 0.93 |
| Longidorus | 0.98 | 0.08 | 0.14 |
| Meloidogyne | 0.4 | 0.35 | 0.71 |
| Pratylenchus | 0.1 | 0.91 | 0.81 |
| Rotylenchulus | 0.83 | 0.68 | 0.83 |
| Rotylenchus | 0.65 | 0.36 | 0.96 |
| Scutellonema | 0.08 | 0.81 | 0.75 |
| Trichodorus | 0.49 | 0.17 | 0.3 |
| Tylenchorhynchus | 0.06 | 0.33 | 0.83 |
| Tylenchus | 0.15 | 0.32 | 0.01* |
| Xiphinema | 0.78 | 0.9 | 0.07 |
| Psilenchus | <0.0001*** | 0.93 | 1 |
| Hemicycliophora | 0.01* | 0.9 | 0.98 |
| Hoplolaimus | 0.05* | 0.56 | 0.71 |
| Malenchus | 0.15 | 0.79 | 0.93 |
| Diversity indices | |||
| Shannon–Weaver diversity | 0.04* | 0.03* | 0.53 |
| Simpson diversity | 0.08 | 0.05* | 0.84 |
| Pielou’s evenness | 0.89 | 0.41 | 0.24 |
Simpson and Shannon–Weaver diversity indices of nematode communities in sweet potato fields in Central, Manyatta, and Nembure regions in Embu County, Kenya at 0 cm to 30 cm and 30 cm to 60 cm depths_
| Region | Shannon–Weaver diversity | Simpson diversity | ||
|---|---|---|---|---|
| Mean | SE | Mean | SE | |
| Central | 1.29a,b | 0.06 | 0.64a | 0.02 |
| Manyatta | 1.36a | 0.06 | 0.67a | 0.02 |
| Nembure | 1.12b | 0.08 | 0.58a | 0.04 |
| Depth | ||||
| 0–30 cm | 1.38a | 0.05 | 0.68a | 0.02 |
| 30–60 cm | 1.15b | 0.06 | 0.59b | 0.03 |