Figure 1.

Figure 2.

Figure 3.

Figure 4.

Figure 5.

Figure 6.

Figure 7.

Summary of key findings on research funding patterns and impacts_
| Main Findings | Details |
|---|---|
| Shifts in Funding Patterns and International Collaboration | Initially reliant on international or HKMT funding, later dominated by national funding. International or HKMT funded papers have higher international impact. |
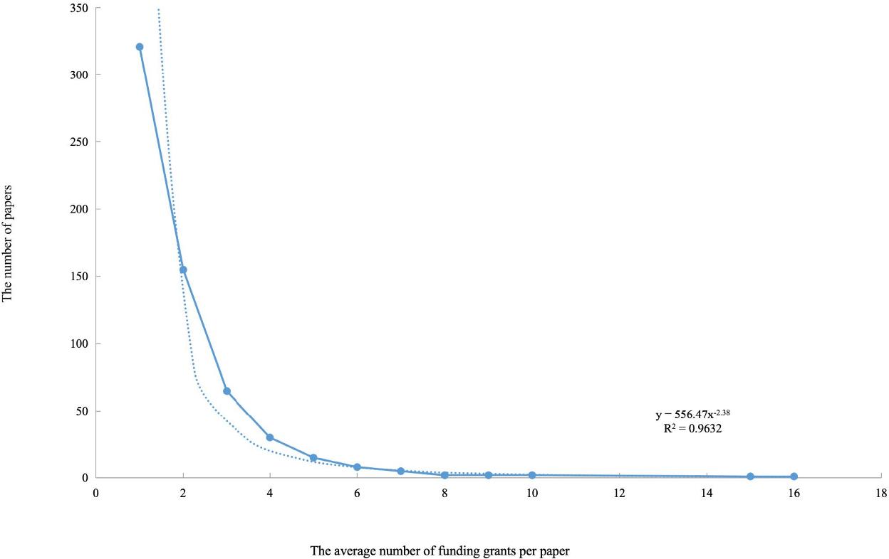
| Uneven Distribution of Funding Resources | Funded papers follow a power-law distribution, with most receiving minimal support and few benefiting from multiple sources. |
| Multi-Funding as an Impact Driver | Multi-funded papers outperform single-funded papers across all impact metrics. Diverse funding collaborations enhance visibility and academic strength. |
| Thematic Divergence and Innovation | Funded research focuses on innovation and emerging technologies; non-funded papers apply classical theories. |
| Methodological Sophistication and Disciplinary Advancement | Funded papers employ advanced analytical methods, reflecting a shift toward data-driven scholarship; non-funded papers have less methodological innovation. |
Statistics on research funding categories for communication papers in China_
| Year | National Funds | HKMT Funds | International Funds | Provincial and Municipal Funds | University Funds | Institutional Funds | Other Funds |
|---|---|---|---|---|---|---|---|
| 2008 | 0 | 3 | 2 | 0 | 0 | 0 | 0 |
| 2009 | 2 | 0 | 3 | 1 | 0 | 0 | 0 |
| 2010 | 0 | 1 | 0 | 0 | 0 | 0 | 0 |
| 2011 | 3 | 0 | 9 | 1 | 1 | 0 | 0 |
| 2012 | 12 | 3 | 4 | 2 | 0 | 0 | 0 |
| 2013 | 1 | 2 | 0 | 0 | 0 | 0 | 0 |
| 2014 | 11 | 4 | 4 | 0 | 0 | 0 | 1 |
| 2015 | 40 | 18 | 12 | 7 | 8 | 0 | 1 |
| 2016 | 66 | 22 | 26 | 18 | 17 | 6 | 8 |
| 2017 | 53 | 57 | 34 | 18 | 12 | 4 | 4 |
| 2018 | 91 | 44 | 32 | 28 | 16 | 0 | 5 |
| 2019 | 91 | 32 | 20 | 40 | 20 | 2 | 7 |
| 2020 | 121 | 42 | 34 | 33 | 22 | 1 | 7 |
| Total | 491 | 228 | 180 | 148 | 96 | 13 | 33 |
Analysis of research funding on paper impact_
| Research Funding Categories | Paper Number | Average Citation Frequency | Zero Citation Rate (%) | High Citation Rate (%) | Average Journal Impact Factor |
|---|---|---|---|---|---|
| National Funds | 292 | 9.3 | 6.8 | 23 | 2.7 |
| HKMT Funds | 180 | 10.1 | 5.6 | 27.2 | 3.2 |
| International Funds | 107 | 11.2 | 6.5 | 30.8 | 3.4 |
| Provincial and Municipal Funds | 105 | 7.2 | 10.5 | 16.2 | 2.4 |
| University Funds | 86 | 6.9 | 10.5 | 18.6 | 2.4 |
| Institutional Funds | 9 | 9 | 0 | 22.2 | 3.4 |
| Other Funds | 31 | 8.5 | 9.7 | 12.9 | 2.0 |
| Non-funded | 1,162 | 14.8 | 5.5 | 28.3 | 2.9 |
Comparative thematic analysis of funded vs_ non-funded research_
| Dimension | Funded Papers | Non-funded Papers |
|---|---|---|
| Core Themes | Digital transformation, crisis management, big data analysis | Classical theories, agenda-setting, uses and gratifications |
| Methodological Innovation | High (machine learning, network analysis, advanced text mining) | Moderate to Low (traditional qualitative and quantitative) |
| Interdisciplinary Integration | Extensive interdisciplinary collaborations | Limited interdisciplinary integration |
| Theoretical Orientation | Innovative and exploratory | Confirmatory and theory-driven |
| Key Thematic Examples | Digital divide, discourse analysis, social media platforms | Political communication, third-person effect, media discourse |
Density matrix of keyword clustering modules in funded papers_
| M1 | M2 | M3 | M4 | M5 | M6 | M7 | M8 | M9 | M0 | M1 | M12 | M13 | M14 | M15 | M16 | |
|---|---|---|---|---|---|---|---|---|---|---|---|---|---|---|---|---|
| M1 | 0.8 | 0.08 | 0.1 | 0 | 1.025 | 0.267 | 0.585 | 0.2 | 0.133 | 0 | 0 | 0 | 0 | 0 | 0 | 0 |
| M2 | 0.08 | 0.1 | 0.1 | 0 | 0.325 | 0.067 | 0 | 0.067 | 0 | 0 | 0 | 0 | 0 | 0 | 0.05 | 0 |
| M3 | 0.1 | 0.1 | 0 | 0 | 0.313 | 0 | 0.192 | 0 | 0 | 0 | 0 | 0 | 0 | 0.25 | 0 | 0 |
| M4 | 0 | 0 | 0 | 0.125 | 0 | 0 | 0.077 | 0 | 0 | 0 | 0 | 0 | 0 | 0 | 0 | 0 |
| M5 | 1.025 | 0.325 | 0.313 | 0.125 | 1.714 | 0.25 | 0.096 | 0.042 | 0.125 | 0 | 0 | 0 | 0 | 0.125 | 0.031 | 0 |
| M6 | 0.267 | 0.067 | 0 | 0 | 0.25 | 0.333 | 0.026 | 0 | 0.222 | 0.222 | 0 | 0 | 0 | 0 | 0.083 | 0 |
| M7 | 0.585 | 0 | 0.192 | 0.077 | 0.096 | 0.026 | 0.051 | 0.077 | 0 | 0 | 0 | 0 | 0 | 0 | 0.038 | 0 |
| M8 | 0.2 | 0.067 | 0 | 0 | 0.042 | 0 | 0.077 | 0.667 | 0 | 0 | 0 | 0.333 | 0 | 0 | 0.083 | 0 |
| M9 | 0.133 | 0 | 0 | 0 | 0.125 | 0.222 | 0 | 0 | 2.333 | 0.444 | 0 | 0.167 | 0 | 0 | 0 | 0 |
| M10 | 0 | 0 | 0 | 0 | 0 | 0.222 | 0 | 0 | 0.444 | 0.667 | 0.333 | 0.167 | 0.333 | 0 | 0 | 0 |
| M11 | 0 | 0 | 0 | 0 | 0 | 0 | 0 | 0 | 0 | 0.333 | 0 | 0 | 0 | 0 | 0 | 0 |
| M12 | 0 | 0 | 0 | 0 | 0 | 0 | 0 | 0.333 | 0.167 | 0.167 | 0 | 1 | 0 | 0 | 0 | 0 |
| M13 | 0 | 0 | 0 | 0 | 0 | 0 | 0 | 0 | 0 | 0.333 | 0 | 0 | 1 | 0.5 | 0 | 0 |
| M14 | 0 | 0 | 0.25 | 0 | 0.125 | 0 | 0 | 0 | 0 | 0 | 0 | 0 | 0.5 | 0 | 0.125 | 0 |
| M15 | 0 | 0.05 | 0 | 0 | 0.031 | 0.083 | 0.038 | 0.083 | 0 | 0 | 0 | 0 | 0 | 0.125 | 0 | 0 |
| M16 | 0 | 0 | 0 | 0 | 0 | 0 | 0 | 0 | 0 | 0 | 0 | 0 | 0 | 0 | 0 | 0 |
Density matrix of keyword clustering modules in non-funded papers_
| M1 | M2 | M3 | M4 | M5 | M6 | M7 | M8 | M9 | M10 | M11 | M12 | M13 | M14 | M15 | M16 | |
|---|---|---|---|---|---|---|---|---|---|---|---|---|---|---|---|---|
| M1 | 3 | 1.417 | 0.9 | 0.25 | 2.417 | 1.083 | 0.75 | 0.5 | 0 | 0 | 0 | 0 | 0 | 0 | 0 | 0 |
| M2 | 1.417 | 1.2 | 0.167 | 0 | 0.201 | 0.222 | 0 | 0.083 | 0 | 0.167 | 0 | 0 | 0.167 | 0 | 0.167 | 0 |
| M3 | 0.9 | 0.167 | 0.3 | 0.3 | 0.167 | 0.033 | 0 | 0.1 | 0 | 0 | 0 | 0 | 0 | 0 | 0 | 0.1 |
| M4 | 0.25 | 0 | 0.3 | 0 | 0.125 | 0 | 0 | 0.25 | 0 | 0 | 0.25 | 0 | 0 | 0 | 0 | 0 |
| M5 | 2.417 | 0.201 | 0.167 | 0.125 | 0.185 | 0.146 | 0.063 | 0.146 | 0.021 | 0.042 | 0.083 | 0.083 | 0 | 0.042 | 0.042 | 0.063 |
| M6 | 1.083 | 0.222 | 0.033 | 0 | 0.146 | 0.733 | 0 | 0.083 | 0 | 0 | 0 | 0.167 | 0.333 | 0.083 | 0.556 | 0.167 |
| M7 | 0.75 | 0 | 0 | 0 | 0.063 | 0 | 2 | 0 | 2.75 | 0 | 0 | 0 | 0 | 0 | 0 | 0 |
| M8 | 0.5 | 0.083 | 0.1 | 0.25 | 0.146 | 0.083 | 0 | 0 | 0.25 | 0 | 1 | 0 | 0.25 | 0 | 0 | 0 |
| M9 | 0 | 0 | 0 | 0 | 0.021 | 0 | 2.75 | 0.25 | 0 | 0 | 0.75 | 0.5 | 0 | 0 | 0 | 0 |
| M10 | 0 | 0.167 | 0 | 0 | 0.042 | 0 | 0 | 0 | 0 | 0 | 0 | 0.5 | 0 | 0 | 0 | 0 |
| M11 | 0 | 0 | 0 | 0.25 | 0.083 | 0 | 0 | 1 | 0.75 | 0 | 1 | 0 | 0 | 0 | 0 | 0 |
| M12 | 0 | 0 | 0 | 0 | 0.083 | 0.167 | 0 | 0 | 0.5 | 0.5 | 0 | 0 | 0 | 0 | 0 | 0 |
| M13 | 0 | 0.167 | 0 | 0 | 0 | 0.333 | 0 | 0.25 | 0 | 0 | 0 | 0 | 0 | 1.25 | 0.833 | 0 |
| M14 | 0 | 0 | 0 | 0 | 0.042 | 0.083 | 0 | 0 | 0 | 0 | 0 | 0 | 1.25 | 1 | 0.167 | 0 |
| M15 | 0 | 0.167 | 0 | 0 | 0.042 | 0.556 | 0 | 0 | 0 | 0 | 0 | 0 | 0.833 | 0.167 | 1.333 | 0.167 |
| M16 | 0 | 0 | 0.1 | 0 | 0.063 | 0.167 | 0 | 0 | 0 | 0 | 0 | 0 | 0 | 0 | 0.167 | 0 |
Research funding classification_
| Research Funding Category | Description |
|---|---|
| National Funds | National Natural Science Foundation of China, National Social Science Foundation of China, Ministry of Education Funds, Ministry of Science and Technology Funds, Central University Funds for Basic Research, China Postdoctoral Science Foundation, etc. |
| HKMT Funds | Funds established by institutions and universities in Hong Kong SAR, Macao SAR, and Taiwan region of China. |
| International Funds | Funds established by international universities, institutions, or enterprises, including the Simons Foundation, the Funda Foundation, and the South Pacific Research Foundation, etc. |
| Provincial and Municipal Funds | Natural Science Funds of provinces and municipalities, Social Science Funds of provinces and municipalities, Shanghai Pujiang Program, Provincial Key Disciplines Program, Beijing Changping Scholar Program, etc. |
| University Funds | Funds established by mainland-based Chinese universities. |
| Institutional Funds | Funds established by research institutes for basic research, such as the National Diabetes |
| Other Funds | Funds from the National Scholarship Council, Open Technology Funds, National Language Committee Funds, Thirteenth Five-Year Plan, Sino-American Emerging and Re-emerging Infectious Diseases Cooperation Program, Joint Funds, Chinese Legal Research Foundation, Tang Prize for Young Scholars, Corporate Funds, etc. |