Research funding is a fundamental driver of scientific and technological innovation, typically delivered through competitive research projects (Feng, 2020), reducing financial barriers while enhancing research quality and knowledge dissemination. (Auranen & Nieminen, 2010). It not only reduces financial barriers for scholars but also enhances the quality and visibility of research outputs. Funding mechanisms are, therefore, recognized as critical instruments of modern scientific governance, shaping the priorities, scope, direction, and eventual influence of academic work (Aagaard, 2017; Edqvist, 2003; Heinze, 2008; Sörlin, 2007).
As a result, the relationship between research funding and academic performance has become a core topic in the field of scientometrics (Jin et al., 2022). Governments and institutions have introduced a variety of funding programs—both public and private—with the intention of improving research quality, fostering collaboration, and promoting knowledge exchange and innovation. Evaluating the effectiveness of such programs often involves assessing research and development (R&D) investments in relation to output indicators, such as publication volume and impact (Leydesdorff, 2019). Increasingly, attention has turned to understanding the return on investment of funding in terms of scholarly influence (Zeng, 2017), making it essential to explore how funding shapes not only the quantity but also the characteristics and thematic trajectories of academic papers. In the context of China’s innovation-driven development strategy, the country has become the second-largest global investor in R&D (Fisman, 2018; Kroll & Schiller, 2010; Zhou & Leydesdorff, 2006). However, within the field of communication studies, challenges remain in balancing disciplinary autonomy with regional specificities. Communication is a highly interdisciplinary field influenced by Western theories and adjacent disciplines and plays a critical role in the construction of an independent social science knowledge system in China (Demeter, 2019). The increasing number of international publications in this field—especially since 1987— reflects both its expanding global reach and the strategic push under initiatives such as the “Double First-Class Construction” plan①.
Against this backdrop, it is necessary to examine whether and how funding influences academic outputs in communication studies, particularly in China. This study focuses on international journal publications in this field to assess how funding affects both research influence and topic evolution.
Most studies on research funding have evaluated its impact in terms of productivity, academic influence, and collaboration outcomes (Álvarez-Bornstein & Montesi, 2020; Coccia & Roshani, 2024a, 2024b). Commonly used indicators include publication count (Mutz et al., 2017), journal impact factor (Díaz-Faes & Bordons, 2014), and citation metrics (Gök et al., 2016). Many scholars have confirmed a positive relationship between research funding and scholarly impact (Stamou et al., 2009; Yan et al., 2018; Zhao, 2010). This relationship is often characterized by scaling laws or power-law distributions, indicating that collaboration size and author/institution centrality significantly influence citation impact (Ronda-Pupo, 2017; Ronda-Pupo & Katz, 2016, 2017, 2018).
However, debate remains over whether research funding consistently leads to higher-quality outcomes. Heyard and Hottenrott (2021) found that research funding from the Swiss National Science Foundation increased both the publication productivity and citation impact of grantees compared to researchers who did not receive research funding. Grantees also exhibited higher altmetric scores, suggesting broader public attention to their work. Thelwall et al. (2023) studied whether research funding in the UK leads to higher-quality research across all fields and major research funding bodies. The findings indicate that research receiving research funding tends to exhibit superior overall quality across all major research funding bodies. However, notable variations exist among funders regarding the average quality of the research they support. Research funding appears to have a particularly strong correlation with enhanced research quality in health-related disciplines. Wang et al. (2020) supported the hypothesis that competitive research funding leads to variations in research output depending on the research funding source, using grade point average as an indicator to validate that higher levels of research funding correlate with greater scientific outputs. Hussinger et al. (2022) employed a difference-in-differences analysis and found that individual research grants increased the productivity of grantees in terms of both (quality-and co-author weighted) journal publications and (co-author weighted) conference proceedings. Interestingly, researchers who achieved higher publication quality levels following the grant experienced a longer-lasting quality effect. Lee (2021) used a seemingly unrelated regression model to analyze data from 95 four-year universities in the republic of Korea between 2009 and 2017, exploring the impact of university resources on research productivity. The study revealed correlations between the Science Citation Index, patents, and licensing revenue, noting that the impact of resources on research productivity varied. Key variables influencing the Science Citation Index, patents, and licensing revenue included faculty salaries, performance-based compensation, and research expenditure. Zou (2022) employed bibliometric methods, combined with the Triple Helix model, to analyze the role of research papers in Shenzhen from 2008 to 2020, aiming to reveal the impact of Shenzhen’s research funding on academic publications. In Shenzhen’s case, despite enterprises contributing more to R&D than the government, their contribution to public knowledge was significantly lower than that of government research funding. Public institutions, rather than private organizations, were the main producers of public knowledge. Ou et al. (2024) explored how research funding affects the impact and social visibility of academic papers. In addition to the relationship between public research funding and the quantity of scientific outputs, studies have also demonstrated that funded research tends to have a greater social impact than unfunded research (Costas, 2015; Gök, 2016). Neufeld (2016) confirmed this in the field of biology, finding that research funding positively impacted publication counts, total citations, and journal impact factor per paper. Recent findings based on Nobel laureates and life science domains affirm that research funding boosts citation-based performance and facilitates knowledge diffusion (Coccia et al., 2025; Mosleh et al., 2022). However, opinions remain divided concerning the effects of competitive public research funding. Given the additional resources provided by research funding and the fact that research consortia are selected through competitive bidding processes, it is often assumed that the quality of funded research will be high (Auranen & Nieminen, 2010). In other words, past performance increases the likelihood of being granted research funding, meaning that it is not the research funding itself but rather past performance that influences future outcomes (Encaoua et al., 2000). Considerable research has also explored how the collaboration characteristics of funded research vary by institution, country, and discipline (Huang et al., 2016; Jin et al., 2022; Zhou & Tian, 2014).
In addition to productivity and impact, an emerging area of interest lies in how research funding influences the development and evolution of research topics. While most studies assess research performance in quantitative terms, few explore what topics are supported and how funding decisions guide knowledge trajectories.
Research topics funded by different agencies reflect strategic preferences and shape the intellectual structure of the fields. From a network perspective, funding agencies become embedded in the knowledge production system and form links with specific research themes. Stahlman and Heidorn (2020) argue that funding agencies not only allocate resources but also act as nodes in a thematic network, where co-funded topics represent forms of knowledge coupling between institutions and disciplines. This double embedding of funding reflects the institutional alignment and thematic convergence.
Understanding the patterns, characteristics, and evolution of funded topics is, therefore, essential, offering insights into how innovation is channeled and how future research landscapes are shaped. Jin et al. (2022) constructed an organization-topic network enhanced by word embeddings, revealing how different funders support distinct topic clusters. Similarly, Mejia and Kajikawa (2018) and Zhao et al. (2019) analyzed fund allocation trends to understand shifting research priorities over time.
Although these studies provide important insights into the role of research funding, they have limitations. First, there are significant differences in how different disciplines respond to research funding, and relevant research in the field of communication studies is relatively scarce. Additionally, systematic studies on the relationship between research funding and the evolution of research topics are limited. This study focuses on the field of communication, exploring the impact of research funding on international papers and its role in the evolution of research topics through empirical analysis. Second, existing studies have concentrated on specific types of research funding, with a lack of comprehensive analysis of diversified research funding types, and a lack of systematic comparisons of the effects and synergistic interactions between multiple types of research funding (e.g. national, regional, and international funds). Comparative studies further reveal that the relationship between research funding and citation-based performance varies across disciplines and types of funding (Roshani et al., 2021). This restricts our overall understanding of the impact of research funding. Third, there is a lack of detailed comparisons of different research funding effects. Current research typically focuses on the overall impact of research funding but lacks in-depth analysis of the differences in impact between different types of research funding and between papers funded by single or multiple sources. Finally, there is a lack of systematic analysis on how research funding influences the evolution of research topics. Existing studies primarily focus on the impact of research funding on the quantity and citation of papers, but lack deep analysis on how research funding drives or guides the development and evolution of research topics.
To address these gaps, this study focuses on the field of communication papers from the WoS Core Collection as a data source to analyze international publications. It combines social network analysis, citation analysis, multidimensional scaling (MDS), and clustering subgroup analysis to examine both paper characteristics and thematic development in relation to research funding.
- Q1:
What is the impact of research funding on the academic influence of papers in the field of communication?
- Q2:
Do different types of research funding have varying effects on academic outputs? If so, in which dimensions?
- Q3:
How does research funding influence the development and evolution of research topics?
This study adopts a multi-level and multidimensional empirical approach to explore how research funding affects academic outputs in the field of communication. The structure of this section follows three main components, as recommended: sample and data, measures of variables, and models and analysis procedures.
This study used data from the Web of Science (WoS) Core Collection, one of the most authoritative bibliographic databases worldwide, which includes high-impact journals and provides high-quality data for research. Compared with other databases such as PubMed, Scopus, and Google Scholar, the Web of Science offers a more curated and consistent dataset, particularly useful for funding-related analyses (Falagas et al., 2008). Research funding information in scientific publications has been used to study the impact of research funding since the 1970s, but typically on a small scale, and these studies were usually descriptive or had small sample sizes. The situation changed in 2008, when the WoS began adding research funding information to its bibliographic records, providing valuable data that can be systematically studied (Grassano et al., 2017; Liu et al., 2020; Paul-Hus et al., 2016).
To ensure sufficient citation accumulation for measuring academic impact, the data collection period was set from 2008 to 2020. The target documents were Articles and Reviews in the field of Communication in China, with author affiliations from China. A total of 1,769 papers that met these criteria were retrieved and included in the analysis.
The variables were constructed to examine the multiple dimensions of the relationship between research funding and academic outcomes.
Funding type: Categorized into seven types: national funds, HKMT (Hong Kong Special Administrative Region of China, Macao Special Administrative Region of China, and Taiwan region of China) funds, international funds, provincial and municipal funds, university funds, institutional funds, and other funds.
Number of funding sources: Whether the paper was supported by single or multiple funding sources.
Citation metrics: Including average citation frequency, zero-citation rate, high-citation rate, and average journal impact factor.
Interdisciplinary collaboration: Determined through the co-occurrence of disciplinary categories in funded and non-funded papers.
Research topics: Represented by clustering subgroup analysis and multidimensional scaling analysis.
To answer these research questions, this study applies a systematic multi-step methodology:
Descriptive statistics were used to analyze the overall trends in funding support, including the number and proportion of funded versus non-funded papers, and the distribution of funding types.
Citation analysis was conducted by comparing the average citations, zero-citation rates, high-citation rates, and average journal impact factors between funding categories. The impact of multifunding was assessed by comparing papers with single versus multiple sources of funding.
A co-occurrence network was constructed to explore interdisciplinary patterns based on disciplinary categories.
Thematic analysis was performed through clustering subgroup analysis and multidimensional scaling (MDS).
Figure 1 presents the methodological workflow of the study, illustrating how the data sources, variable measurements, and analysis models corresponded to the research questions.

Methodological workflow.
The research funding data used in this study covers a wide range of types, exceeding 100 categories, and presents a characteristic of both concentration and dispersion. To better analyze the differences in the impact of various types of research funding on academic journal papers, research funding categories need to be classified. However, there is no unified standard for classification (Grassano et al., 2017; Paul-Hus et al., 2016). In this study, the classification is based on two dimensions: administrative level of the funding body (e.g. national, provincial, institutional) and geographical location (e.g. China (including Hong Kong SAR, Macao SAR, and Taiwan region) and other countries). These include international funds, national funds, HKMT funds, provincial and municipal funds, university funds, institutional funds, and other funds. A detailed explanation of each category and representative examples is provided in Appendix Table A1.
Between 2008 and 2020, a total of 1,189 distinct research funding sources were recorded, averaging approximately 1.96 sources per funded paper. National funds represented the largest share, accounting for over 40% of all funding. Together with funds originating from HKMT and international sources, these three categories accounted for more than three-quarters of total research funding, underscoring their crucial role in supporting scholarly publications.
Notably, from 2008 to 2011, international funds constituted a significant proportion of the overall research funding (as shown in Table 1), indicating scholars’ reliance on international collaboration during the early stages of research development in China. During this period, domestic research funding mechanisms were still maturing, making international collaboration essential for securing resources to publish high-quality research internationally. After 2012, there was a marked increase in the number of papers supported by national and HKMT funding sources. This shift reflects China’s intensified focus on scientific innovation and the expansion of domestic research funding programs, providing greater opportunities for domestic scholars. Concurrently, HKMT funds increased their investments in cross-regional collaborative research, promoting academic exchanges within the broader Chinese research community. While international funding stabilized after 2012, maintaining approximately 30 papers per year, the rapid development of domestic funding sources has led to increased reliance on national funding, aligning closely with national strategic priorities and gradually solidifying its dominant role in supporting academic research.
Statistics on research funding categories for communication papers in China.
| Year | National Funds | HKMT Funds | International Funds | Provincial and Municipal Funds | University Funds | Institutional Funds | Other Funds |
|---|---|---|---|---|---|---|---|
| 2008 | 0 | 3 | 2 | 0 | 0 | 0 | 0 |
| 2009 | 2 | 0 | 3 | 1 | 0 | 0 | 0 |
| 2010 | 0 | 1 | 0 | 0 | 0 | 0 | 0 |
| 2011 | 3 | 0 | 9 | 1 | 1 | 0 | 0 |
| 2012 | 12 | 3 | 4 | 2 | 0 | 0 | 0 |
| 2013 | 1 | 2 | 0 | 0 | 0 | 0 | 0 |
| 2014 | 11 | 4 | 4 | 0 | 0 | 0 | 1 |
| 2015 | 40 | 18 | 12 | 7 | 8 | 0 | 1 |
| 2016 | 66 | 22 | 26 | 18 | 17 | 6 | 8 |
| 2017 | 53 | 57 | 34 | 18 | 12 | 4 | 4 |
| 2018 | 91 | 44 | 32 | 28 | 16 | 0 | 5 |
| 2019 | 91 | 32 | 20 | 40 | 20 | 2 | 7 |
| 2020 | 121 | 42 | 34 | 33 | 22 | 1 | 7 |
| Total | 491 | 228 | 180 | 148 | 96 | 13 | 33 |
From 2008 to 2020, we analyzed 1,769 international communication research papers authored by scholars in China (including Hong Kong SAR, Macao SAR, and Taiwan region). Among these papers, 607 (34.3%) received funding and 1,162 (65.7%) did not. The number of funded papers exhibited substantial growth after 2015 (as shown in Figure 2), eventually matching the number of non-funded papers by 2018. This notable increase corresponds closely with China’s national strategic initiatives, particularly the “Double First-Class Construction” plan, which emphasizes competitive research funding.

Annual trends in funded, non-funded, and total communication papers.
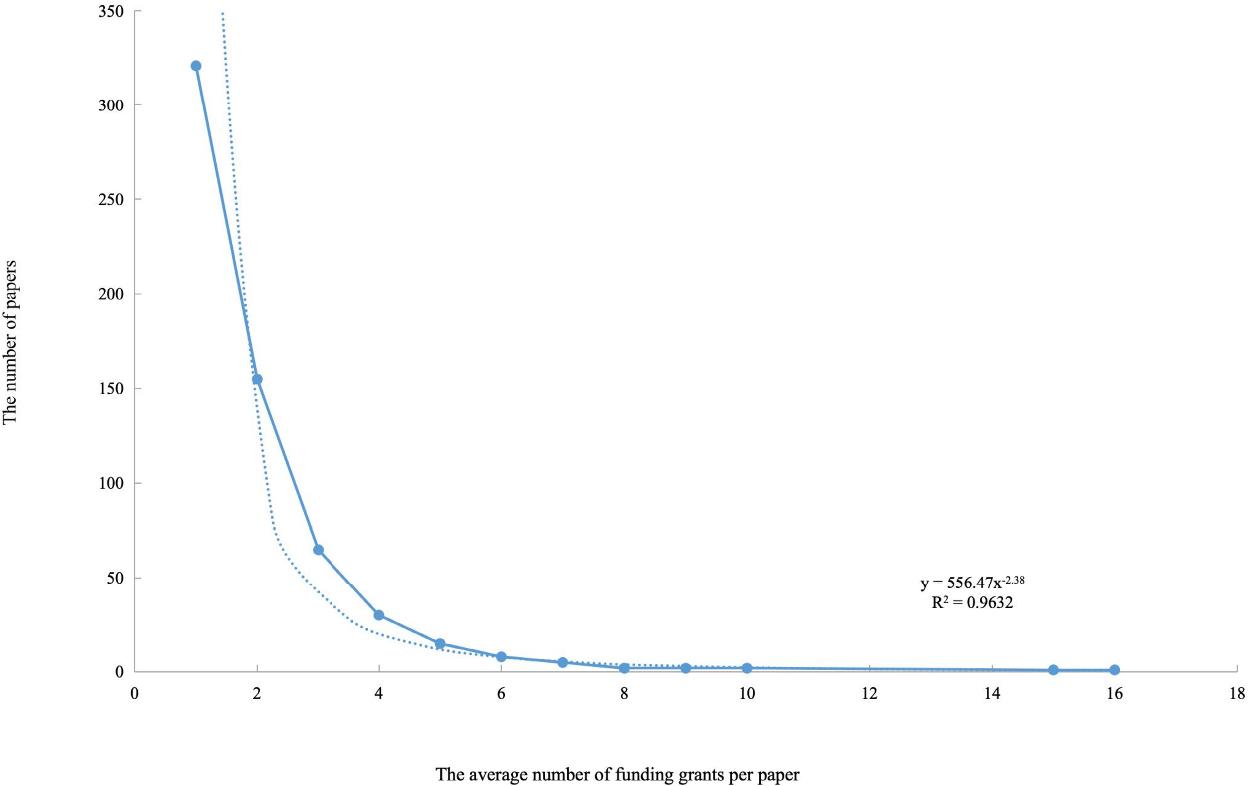
The distribution of research funded papers follows a distinct power-law pattern, demonstrating significant disparities. Over half of the funded papers (321 papers, 52.9%) relied on a single funding source, reflecting a concentration of resources (as shown in Figure 3). Additionally, 155 papers (25%) benefited from two funding sources, whereas only a small fraction-4 papers-received extensive support from ten or more funding sources, with the most extensively funded paper being supported by 16 different sources.

Power-Law distribution of the number of funding grants per paper.
The growth trajectory of funded papers can be linked to increasing institutional support for publishing in international journals, incentivizing more scholars to pursue funding opportunities. In contrast, non-funded papers grew at a slower rate, potentially hindered by limited access to resources and competitive funding avenues. This highlights the significant impact that research funding has on enhancing both the quantity and the international visibility and influence of academic research.
To assess how research funding influences scholarly performance, four indicators were used: average citation frequency, zero-citation rate, high-citation rate, and average journal impact factor.
High-citation papers are defined as those with citation frequencies equal to or greater than the average citation frequency across the entire dataset. This approach has several advantages. First, it offers a data-driven and field-specific benchmark that avoids overly rigid or arbitrary thresholds (such as fixed percentiles like the top 10%). Second, the mean value reflects the overall citation level within the dataset, providing a stable and interpretable threshold for comparison, especially in mid-sized or single-field samples, such as communication studies. Third, this definition facilitates cross-group comparison (e.g. funded vs. non-funded, single-vs. multi-funded) by applying a consistent criterion across subsets. While other studies have used quantile-based approaches (e.g. top 10%, top 1%), those methods typically require larger datasets and can produce skewed results in fields with low or uneven citation patterns, such as the social sciences. In contrast, the use of the mean as a reference point allows for transparent, reproducible, and contextsensitive citation benchmarking.
Table 2 presents the number of papers supported by various research funding types and their corresponding impact indicators. The results revealed that papers funded by national funds constituted the largest proportion (48%), highlighting their dominant role in advancing academic research. However, papers funded by international sources perform best across several impact indicators, including average citation frequency, high-citation rate, and average journal impact factor, while having the lowest zero-citation rate. This reflects the academic influence of international collaboration and innovative projects. Papers funded by HKMT funds rank second, demonstrating the region’s competitiveness in the international academic community, likely due to its degree of internationalization and diverse research projects. Although papers funded by national funds slightly underperform compared to those supported by HKMT funds or international funds on certain metrics, they still exhibit a significantly higher impact than papers supported by other types of research funding. This underscores their broad influence in the domestic academic landscape, while also indicating room for further improvement in international impact.
Analysis of research funding on paper impact.
| Research Funding Categories | Paper Number | Average Citation Frequency | Zero Citation Rate (%) | High Citation Rate (%) | Average Journal Impact Factor |
|---|---|---|---|---|---|
| National Funds | 292 | 9.3 | 6.8 | 23 | 2.7 |
| HKMT Funds | 180 | 10.1 | 5.6 | 27.2 | 3.2 |
| International Funds | 107 | 11.2 | 6.5 | 30.8 | 3.4 |
| Provincial and Municipal Funds | 105 | 7.2 | 10.5 | 16.2 | 2.4 |
| University Funds | 86 | 6.9 | 10.5 | 18.6 | 2.4 |
| Institutional Funds | 9 | 9 | 0 | 22.2 | 3.4 |
| Other Funds | 31 | 8.5 | 9.7 | 12.9 | 2.0 |
| Non-funded | 1,162 | 14.8 | 5.5 | 28.3 | 2.9 |
Interestingly, funded papers as a whole do not demonstrate a significantly higher academic impact than non-funded papers. This suggests that while research funding plays an essential role in supporting academic research, not all funded papers translate into high-impact research outcomes. Unfunded research may sometimes be highly cited because it allows for greater innovation, at least in fields like communication that do not require expensive resources. Research funding might constrain academic freedom, which poses a particular threat to the role of social science research in challenging authority and interpreting results without external pressures. This finding emphasizes the need for the academic community to prioritize the quality and innovativeness of funded projects over the sheer number of funded papers when evaluating the effectiveness of research funding programs.
Figure 4 shows that papers supported by multiple research funding sources outperformed those with single research funding support across several impact indicators. Specifically, multi-funded papers exhibit a higher average citation frequency, high-citation rate, and average journal impact factor, while showing a lower zero-citation rate. This indicates that multi-funded papers generally achieve a significantly higher academic impact than single-funded papers.

Comparison of academic impact between single-funded and multi-funded papers.
This study analyzed the disciplinary distribution and collaboration characteristics of funded and non-funded papers through a disciplinary collaboration network. Figure 5 illustrates the cooccurrence networks of disciplines for the two categories of papers. Funded papers were associated with 20 disciplines, whereas non-funded papers involved 22 disciplines. The additional disciplines in non-funded papers are Education & Educational Research and Literature, both of which have a limited overlap with communication studies.

Disciplinary co-occurrence networks of funded (left) and non-funded (right) papers.
Funded papers exhibit the strongest connections with Business & Economics, Linguistics, and Information Science & Library Science in relation to communication studies, whereas non-funded papers show weaker ties in these areas, particularly with Information Science & Library Science. Additionally, funded papers maintain close links with Government & Law, Telecommunications, and Psychology, whereas non-funded papers exhibit weaker connections with these disciplines.
This comparison highlights that while the two types of papers share some commonalities in disciplinary distribution, they differ significantly in the depth and breadth of interdisciplinary collaboration. Specifically, funded papers demonstrate a much closer relationship with Telecommunications in connection with communication studies, a relationship that is notably weaker for non-funded papers.
Furthermore, although both types of papers maintain relatively strong connections with Business & Economics, Linguistics, and Information Science & Library Science, the linkage between funded papers and Information Science & Library Science is significantly stronger. This indicates that research funding plays a positive role in fostering deeper interdisciplinary research between communication studies and certain fields.
This section systematically analyzes and compares the thematic structures of funded and nonfunded papers using clustering subgroup analysis and multidimensional scaling (MDS). Clustering subgroup analysis identifies thematic modules based on high-frequency keywords, whereas MDS visually maps thematic structures and illustrates their maturity and strategic positioning.
The clustering subgroup analysis method identifies themes by considering not only the close connections between nodes within subgroups but also the strength of connections between these nodes and external ones. Among the 607 funded papers, 546 containing keywords were retained for analysis. Similarly, 950 papers with keywords were retained out of 1,162 non-funded papers.
To ensure scientific rigor, the data underwent cleaning and standardization processes. Thresholds for keyword frequency were set based on occurrence rates: 59 high-frequency keywords (occurrence ≥4) were extracted from funded papers, and 64 high-frequency keywords (occurrence ≥6) were extracted from non-funded papers.
Ultimately, both funded and non-funded datasets yielded 16 thematic submodules (as shown in Figure 6), achieving modularity fitting scores of 0.282 and 0.293, respectively. both exceeding the accepted threshold (0.25). This finding demonstrated robust analytical validity.

Clustering subgroup structures of funded (top) and non-funded (bottom) papers.
Funded papers exhibit significant thematic clusters around contemporary issues, such as crisis management, digital divide, social media (Weibo), e-commerce, public opinion formation, and emotional dimensions of media communication. Notably, they emphasize integrating traditional media studies with emerging technologies and interdisciplinary frameworks. In contrast, nonfunded papers predominantly center on classical communication theories such as uses and gratifications theory, agenda-setting theory, crisis management, third-person effect, and discourse analysis, focusing on theoretical and methodological applications rather than innovative exploration.
Table 3 offers a comparative analysis that clearly illustrates thematic distinctions between funded and non-funded research.
Comparative thematic analysis of funded vs. non-funded research.
| Dimension | Funded Papers | Non-funded Papers |
|---|---|---|
| Core Themes | Digital transformation, crisis management, big data analysis | Classical theories, agenda-setting, uses and gratifications |
| Methodological Innovation | High (machine learning, network analysis, advanced text mining) | Moderate to Low (traditional qualitative and quantitative) |
| Interdisciplinary Integration | Extensive interdisciplinary collaborations | Limited interdisciplinary integration |
| Theoretical Orientation | Innovative and exploratory | Confirmatory and theory-driven |
| Key Thematic Examples | Digital divide, discourse analysis, social media platforms | Political communication, third-person effect, media discourse |
Density analyses (shown in Tables 4 and 5) further underscore these distinctions. Funded papers’ highest-density subgroup emphasizes discourse analysis topics (critical discourse analysis, media discourse, and corpus-assisted studies), reflecting the deep theoretical exploration enabled by funding. Conversely, non-funded papers focus significantly on practical applications, particularly the technology acceptance model within mobile communication, underscoring their application-oriented and confirmatory research preference.
Density matrix of keyword clustering modules in funded papers.
| M1 | M2 | M3 | M4 | M5 | M6 | M7 | M8 | M9 | M0 | M1 | M12 | M13 | M14 | M15 | M16 | |
|---|---|---|---|---|---|---|---|---|---|---|---|---|---|---|---|---|
| M1 | 0.8 | 0.08 | 0.1 | 0 | 1.025 | 0.267 | 0.585 | 0.2 | 0.133 | 0 | 0 | 0 | 0 | 0 | 0 | 0 |
| M2 | 0.08 | 0.1 | 0.1 | 0 | 0.325 | 0.067 | 0 | 0.067 | 0 | 0 | 0 | 0 | 0 | 0 | 0.05 | 0 |
| M3 | 0.1 | 0.1 | 0 | 0 | 0.313 | 0 | 0.192 | 0 | 0 | 0 | 0 | 0 | 0 | 0.25 | 0 | 0 |
| M4 | 0 | 0 | 0 | 0.125 | 0 | 0 | 0.077 | 0 | 0 | 0 | 0 | 0 | 0 | 0 | 0 | 0 |
| M5 | 1.025 | 0.325 | 0.313 | 0.125 | 1.714 | 0.25 | 0.096 | 0.042 | 0.125 | 0 | 0 | 0 | 0 | 0.125 | 0.031 | 0 |
| M6 | 0.267 | 0.067 | 0 | 0 | 0.25 | 0.333 | 0.026 | 0 | 0.222 | 0.222 | 0 | 0 | 0 | 0 | 0.083 | 0 |
| M7 | 0.585 | 0 | 0.192 | 0.077 | 0.096 | 0.026 | 0.051 | 0.077 | 0 | 0 | 0 | 0 | 0 | 0 | 0.038 | 0 |
| M8 | 0.2 | 0.067 | 0 | 0 | 0.042 | 0 | 0.077 | 0.667 | 0 | 0 | 0 | 0.333 | 0 | 0 | 0.083 | 0 |
| M9 | 0.133 | 0 | 0 | 0 | 0.125 | 0.222 | 0 | 0 | 2.333 | 0.444 | 0 | 0.167 | 0 | 0 | 0 | 0 |
| M10 | 0 | 0 | 0 | 0 | 0 | 0.222 | 0 | 0 | 0.444 | 0.667 | 0.333 | 0.167 | 0.333 | 0 | 0 | 0 |
| M11 | 0 | 0 | 0 | 0 | 0 | 0 | 0 | 0 | 0 | 0.333 | 0 | 0 | 0 | 0 | 0 | 0 |
| M12 | 0 | 0 | 0 | 0 | 0 | 0 | 0 | 0.333 | 0.167 | 0.167 | 0 | 1 | 0 | 0 | 0 | 0 |
| M13 | 0 | 0 | 0 | 0 | 0 | 0 | 0 | 0 | 0 | 0.333 | 0 | 0 | 1 | 0.5 | 0 | 0 |
| M14 | 0 | 0 | 0.25 | 0 | 0.125 | 0 | 0 | 0 | 0 | 0 | 0 | 0 | 0.5 | 0 | 0.125 | 0 |
| M15 | 0 | 0.05 | 0 | 0 | 0.031 | 0.083 | 0.038 | 0.083 | 0 | 0 | 0 | 0 | 0 | 0.125 | 0 | 0 |
| M16 | 0 | 0 | 0 | 0 | 0 | 0 | 0 | 0 | 0 | 0 | 0 | 0 | 0 | 0 | 0 | 0 |
Density matrix of keyword clustering modules in non-funded papers.
| M1 | M2 | M3 | M4 | M5 | M6 | M7 | M8 | M9 | M10 | M11 | M12 | M13 | M14 | M15 | M16 | |
|---|---|---|---|---|---|---|---|---|---|---|---|---|---|---|---|---|
| M1 | 3 | 1.417 | 0.9 | 0.25 | 2.417 | 1.083 | 0.75 | 0.5 | 0 | 0 | 0 | 0 | 0 | 0 | 0 | 0 |
| M2 | 1.417 | 1.2 | 0.167 | 0 | 0.201 | 0.222 | 0 | 0.083 | 0 | 0.167 | 0 | 0 | 0.167 | 0 | 0.167 | 0 |
| M3 | 0.9 | 0.167 | 0.3 | 0.3 | 0.167 | 0.033 | 0 | 0.1 | 0 | 0 | 0 | 0 | 0 | 0 | 0 | 0.1 |
| M4 | 0.25 | 0 | 0.3 | 0 | 0.125 | 0 | 0 | 0.25 | 0 | 0 | 0.25 | 0 | 0 | 0 | 0 | 0 |
| M5 | 2.417 | 0.201 | 0.167 | 0.125 | 0.185 | 0.146 | 0.063 | 0.146 | 0.021 | 0.042 | 0.083 | 0.083 | 0 | 0.042 | 0.042 | 0.063 |
| M6 | 1.083 | 0.222 | 0.033 | 0 | 0.146 | 0.733 | 0 | 0.083 | 0 | 0 | 0 | 0.167 | 0.333 | 0.083 | 0.556 | 0.167 |
| M7 | 0.75 | 0 | 0 | 0 | 0.063 | 0 | 2 | 0 | 2.75 | 0 | 0 | 0 | 0 | 0 | 0 | 0 |
| M8 | 0.5 | 0.083 | 0.1 | 0.25 | 0.146 | 0.083 | 0 | 0 | 0.25 | 0 | 1 | 0 | 0.25 | 0 | 0 | 0 |
| M9 | 0 | 0 | 0 | 0 | 0.021 | 0 | 2.75 | 0.25 | 0 | 0 | 0.75 | 0.5 | 0 | 0 | 0 | 0 |
| M10 | 0 | 0.167 | 0 | 0 | 0.042 | 0 | 0 | 0 | 0 | 0 | 0 | 0.5 | 0 | 0 | 0 | 0 |
| M11 | 0 | 0 | 0 | 0.25 | 0.083 | 0 | 0 | 1 | 0.75 | 0 | 1 | 0 | 0 | 0 | 0 | 0 |
| M12 | 0 | 0 | 0 | 0 | 0.083 | 0.167 | 0 | 0 | 0.5 | 0.5 | 0 | 0 | 0 | 0 | 0 | 0 |
| M13 | 0 | 0.167 | 0 | 0 | 0 | 0.333 | 0 | 0.25 | 0 | 0 | 0 | 0 | 0 | 1.25 | 0.833 | 0 |
| M14 | 0 | 0 | 0 | 0 | 0.042 | 0.083 | 0 | 0 | 0 | 0 | 0 | 0 | 1.25 | 1 | 0.167 | 0 |
| M15 | 0 | 0.167 | 0 | 0 | 0.042 | 0.556 | 0 | 0 | 0 | 0 | 0 | 0 | 0.833 | 0.167 | 1.333 | 0.167 |
| M16 | 0 | 0 | 0.1 | 0 | 0.063 | 0.167 | 0 | 0 | 0 | 0 | 0 | 0 | 0 | 0 | 0.167 | 0 |
This contrast reveals the notable impact of research funding on the selection and development of research themes. Funded papers tend to delve deeper into complex theoretical frameworks, such as discourse analysis, whereas non-funded papers are more likely to focus on practical applications, such as the use of the technology acceptance model in mobile communication.
MDS transforms high-dimensional data into a lower-dimensional space through nonlinear transformations, mapping research objects into a conceptual space to visually represent the relationships between them. In this conceptual space, the transformed low-dimensional data retains the original relationships. By analyzing the distances between research objects, the degree of similarity or difference can be revealed. The closer two objects are in this space, the smaller their differences.
Furthermore, the strategic coordinate plot generated by MDS reflects the development and evolution of themes to some extent. The horizontal axis represents centrality, indicating the strength of the connections between themes and their core importance. The vertical axis represents density, showing the internal cohesiveness of themes; higher density indicates greater thematic maturity. Based on these dimensions:
- Quadrant I (high centrality, high density):
Mature, core themes.
- Quadrant II (low centrality, high density):
Mature peripheral themes.
- Quadrant III (low centrality, low density):
Emerging or fading themes.
- Quadrant IV (high centrality, low density):
Foundational yet developing themes.
In funded papers (Stress = 0.12017, RSQ = 0.94502), five distinct thematic areas emerged (as shown in Figure 7); they are primarily distributed in the third and fourth quadrants. This indicates that these themes are mostly emerging or fading topics, as well as foundational themes with low maturity:

Strategic thematic mapping of funded (left) and non-funded (right) papers based on MDS.
- Theme 1 (Quadrant III):
Risk and mitigation strategies. With the rapid development of media technologies, enhancing risk mitigation at multiple levels (governmental, corporate, user, technological) has emerged as a significant research area in communication.
- Theme 2 (Quadrant III):
Digital challenges including the digital divide, e-commerce disparities, and crisis communication. These issues emphasize improved communication and trust-building as emerging research focuses.
- Theme 3 (Quadrant IV):
Information diffusion through social media platforms, such as WeChat, Weibo, and Twitter. This theme, while currently foundational and relatively immature, has considerable potential to evolve into a core research area.
- Theme 4 (Quadrant II):
Discourse and ideological analysis. This mature peripheral theme has undergone substantial development, although it lacks centrality.
- Theme 5 (Quadrants I and IV):
Analytical methods such as sentiment analysis and text mining. These methodologies are growing in prominence and exhibit potential to become core analytical tools.
In the non-funded papers (Stress = 0.12256, RSQ = 0.93203), four thematic areas were identified, with more keywords located in the first and fourth quadrants than in the second and third quadrants.
- Theme 1 (Quadrant I):
Fundamental theories such as agenda-setting, the third-person effect, and uses and gratifications theory. These represent established, mature core areas.
- Theme 2 (Quadrants II and III):
Discourse and ideological analysis. Although mature, this theme remains peripheral, similar to funded papers but less central.
- Theme 3 (Quadrant III):
Nationalism in globalization contexts. Positioned as a peripheral emerging theme, this area examines the role of traditional media in shaping national identity.
- Theme 4 (Quadrant IV):
Risk and mitigation. This foundational theme remains relatively undeveloped owing to resource constraints, reflecting limited methodological innovation and lower thematic maturity.
This comprehensive comparison underscores the critical role of research funding in advancing emerging research areas, particularly those requiring interdisciplinary collaboration and resourceintensive investigations. Funded research demonstrates greater thematic diversity, deeper methodological innovation, and a stronger focus on forward-looking, exploratory themes. In particular, funded papers extensively employ quantitative analytical methods such as machine learning and text mining, elevating these methodologies towards core thematic significance. Conversely, non-funded papers primarily emphasize theoretical exploration within established frameworks, reflecting confirmatory rather than exploratory research. While both funded and nonfunded papers prominently feature discourse and ideological analysis as mature but peripheral themes, funded research distinctly prioritizes integrating advanced technological and methodological approaches, highlighting the essential role of research funding in fostering thematic maturity, interdisciplinary integration, and innovative theoretical development within communication studies.
This study systematically analyzes the impact of research funding on academic papers in the field of communication in China, using international publications as the data source. By combining temporal trend analysis, impact metrics, and thematic mapping, we compare funded and nonfunded research to uncover how different types of funding influence scholarly outputs. The following Table 6 synthesizes the main results for clarity:
Summary of key findings on research funding patterns and impacts.
| Main Findings | Details |
|---|---|
| Shifts in Funding Patterns and International Collaboration | Initially reliant on international or HKMT funding, later dominated by national funding. International or HKMT funded papers have higher international impact. |
| Uneven Distribution of Funding Resources | Funded papers follow a power-law distribution, with most receiving minimal support and few benefiting from multiple sources. |
| Multi-Funding as an Impact Driver | Multi-funded papers outperform single-funded papers across all impact metrics. Diverse funding collaborations enhance visibility and academic strength. |
| Thematic Divergence and Innovation | Funded research focuses on innovation and emerging technologies; non-funded papers apply classical theories. |
| Methodological Sophistication and Disciplinary Advancement | Funded papers employ advanced analytical methods, reflecting a shift toward data-driven scholarship; non-funded papers have less methodological innovation. |
This study makes several contributions to the existing literature. First, it provides a comprehensive analysis of how different types of research funding affect academic outputs in communication studies, particularly in the Chinese context. Previous research has explored the relationship between funding and academic performance, but few studies have systematically examined the effects of diverse funding sources and their interactions on both paper characteristics and thematic trends.
Second, our findings reveal that funded papers, especially those supported by multiple sources, tend to have greater academic impact. This aligns with prior studies that found positive relationships between research funding and scholarly influence. However, our results also show that not all funded papers demonstrate a higher impact than non-funded ones. This unexpected finding suggests that funding may not always guarantee high-quality outcomes, possibly due to constraints on academic freedom or other factors. Future research could explore this further by examining the specific mechanisms through which funding influences research quality.
Third, our analysis highlights the role of research funding in shaping the thematic direction and methodological sophistication of communication studies. Funded research tends to focus on innovative themes and emerging technologies, while non-funded papers often apply classical theories. This indicates that research funding can drive disciplinary advancement by encouraging exploration of new topics and methods. Our results also show that funded papers are more likely to engage in interdisciplinary collaboration, particularly with fields such as Business & Economics and Information Science. This finding is consistent with previous research emphasizing the importance of interdisciplinary research in addressing complex social and technological challenges.
Compared to other studies, our research offers a more nuanced understanding of the relationship between funding and academic outputs by considering the specific characteristics of communication studies in China. Additionally, our use of multiple analytical methods, including clustering subgroup analysis and multidimensional scaling, allows for a more comprehensive exploration of research themes and their evolution.
Our results have several implications for science policy. First, funding agencies should prioritize supporting interdisciplinary research that bridges communication studies with other disciplines, such as computer science and sociology. This can foster innovation and address complex social issues. Second, policies should encourage international collaboration, as our findings show that papers supported by international funds have greater academic impact. Third, to address the uneven distribution of funding resources, funding bodies should consider allocating more resources to small-scale exploratory projects, which can democratize access to funding and encourage diversity in research topics. Fourth, our study suggests that while funding can enhance research impact, it is not the only determinant of academic success. Therefore, funding agencies should also consider other factors, such as academic freedom and research environment, when evaluating research projects.
In conclusion, this study provides a systematic examination of the impact of research funding on academic outputs in communication studies in China. By synthesizing the main results and comparing them with existing literature, we highlight the important role of research funding in shaping academic influence, thematic direction, and methodological sophistication. Our findings offer valuable insights for researchers, funding agencies, and policymakers aiming to improve scientific knowledge creation and diffusion.
This study provides an in-depth examination of the influence of research funding on academic publications in communication studies in China, with a particular focus on international outputs. Using a combination of social network analysis, citation analysis, clustering subgroup analysis, and multidimensional scaling, this study draws several key conclusions and policy recommendations.
This study reveals that research funding types and structures significantly influence both academic impact and thematic innovation. Multi-funded and internationally funded projects demonstrate greater academic influence and methodological advancement. This underscores the importance of funding diversity and international collaboration in driving knowledge production within the social sciences. By analyzing communication research papers from the Web of Science Core Collection, this study shows how different funding sources affect publication trends and research themes. It also highlights the need to consider funding mechanisms when examining academic outputs in the social sciences. These findings fill a gap in the literature by providing a nuanced understanding of how research funding shapes academic outputs in communication studies, particularly in the Chinese context.
Based on the empirical findings, several actionable suggestions are proposed. First, enhance International Collaboration. Domestic scholars should strengthen their partnerships with international peers. Institutions and governments are encouraged to support global research consortia and fund participation in international academic exchanges. International collaboration— such as the one between Cuba and the US—can transcend political constraints and foster meaningful scientific exchange (Ronda-Pupo, 2021). Second, optimize Resource Allocation. To address the power-law distribution of funding, funding bodies should support small-and mediumscale exploratory projects to democratize access and encourage diversity in research themes. Third, reform Domestic Funding Mechanisms. National funding agencies should adopt more innovation-oriented and globally aligned evaluation criteria, drawing lessons from international peer-review models. Fourth, promote Interdisciplinary Research. Special funding schemes should be created to support research that bridges communication studies with computer science, sociology, and psychology, particularly in areas involving big data, AI, and digital platforms. Finally, it supports Exploratory and Technological Research. Greater support should be provided for emerging fields, such as machine learning, text mining, and computational communication research, to ensure the field’s long-term relevance and evolution. These recommendations aim to enhance the quality and impact of academic research on communication studies.
While this study contributes valuable insights, several limitations must be acknowledged. First, the database is limited to the WoS Core Collection, which may exclude significant research outputs and funding sources from other databases or local platforms. Second, thematic analysis relied primarily on co-word clustering and MDS. Future research could incorporate topic modeling techniques (e.g. LDA, BERTopic) and machine learning classifiers to validate and deepen thematic mapping. Third, while this study focused on China, future comparative studies could analyze funding effects in other regions or across disciplines to assess broader generalizability.