Skip to main content
Have a personal or library account? Click to login
Application of a generalized heat equation to ultra-fast processes in viscoanelastic isotropic medium Cover

Application of a generalized heat equation to ultra-fast processes in viscoanelastic isotropic medium

Open Access
|Dec 2025

Full Article

1
Introduction

The classical irreversible thermodynamic with internal variables (CIT-IV) means a general approach to the study of different interactions among irreversible thermodynamic processes using classical extensive variables [1]. The flexibility of the methodologies used in CIT-IV consist in the fact that “a priori” the physical meaning of the internal thermodynamical variables is not specified but only their influence on particular types of occurring phenomena in the considered medium is assumed. For this reason, in the following, we will call these thermodynamical variables: dynamical variables since they have also been used, successfully, for the study of problems in dielectric and magnetic relaxation phenomena [2,3,4,5], diffusion [6] and anelastic deformation [7,8,9,10,11,12,13,14,15]. It should be noted that the many theoretical results have been confirmed by the experimental data [16,17,18,19,20,21,22,23]. For completeness other applications address the heat equation controllability problems using fractional calculation [24, 25].

In order to study the behavior of rheological media, in the presence of viscous and anelastic phenomena, besides determining the stress-strain relationships it is important to obtain the heat propagation equation. For this purpose [1] the tensor ɛαβ(1) \varepsilon _{\alpha \beta }^{\left( 1 \right)} (inelastic strain) and the vector ξ are introduced as internal variables which characterize both stress-strain relationships and which generalize the Fourier heat equation (parabolic type equation) [26] and Maxwell-Cattaneo-Vernotte (hyperbolic type equation) [27,28,29].

The rest of this paper is organized by the following parts explained in detail.

In Section 2, we summarize the research of [1], introducing a vectorial dynamical variable j and a stress field ταβ(eq) tau _{\alpha \beta }^{\left( {eq} \right)} which has a thermoanelastic nature, an explicit form for the entropy production is derived and phenomenological equations, which generalize the Kelvin, Jeffreys and Poynting-Thomson bodies are obtained. By virtue of the dynamical variable, influencing the thermal transport phenomena, the heat equation is obtained. In particular, in the isotropic case, when the medium has symmetry properties that, under orthogonal transformations, are invariant with respect to all rotations and inversions of the frame of axes, it was obtained that the heat flux can be split in two parts: a first contribution J(0), governed by Fourier law and a second contribution J(1), obeying Maxwell-Cattaneo-Vernotte equation (M-C-V) [27,28,29] in which a relaxation time is present.

In Section 3, we obtain a general heat equation that generalizes the analogous equations of Fourier and MC-V, from the phenomenological coefficients associated with the characteristic variables of the visco-anelastic medium. We observe the presence of two relaxation times, t1 associated with the heat flux of free electrons heated by a beam of pulsed laser or femto-laser, while t2 associated with the coupling of electron and phonon. The internal variable ξ characterizes the coupling between electron and phonon through cross phenomenological coefficients and therefore leads to the microscopic behavior and thermal properties of material under exame.

In Section 4, we describe the behavior of a thin metal film, from a physical point of view, to the heat transfer due to a laser source [30]. Considering the heat transfer on metals, without defects or for which it can reasonably be considered isotropic, due to a laser source with pulse duration proxime to zero, case 1-D can be analysed both from an analytical and numerical point of view [31]. By resorting to experimental values and using the method of internal variables, a typical approach of physics-mathematics, results are obtained in accordance with physical behavior

In Section 5, by means of the dimensional analysis of the quantities involved in the general heat equation, we arrive at a dimensionless form, incorporating the effects of any external sources in the flow due to the internal variable. This equation is used to describe the behavior of a thin metal to the heat transfer due to a laser source. The values of the phenomenological coefficients depend on the material considered.

In Section 6, using a procedure similar to Section 5, we obtain the dimensionless form by specifying the amount of heat absorbed by a gold film and evaluating the temperature distribution during the transitional phase of heat transfer and achievement of the thermodynamic equilibrium which however implies the production of entropy. Section 6 shows the results obtained.

Section 7 highlights the importance of the method of internal variables using the principles of thermodynamics. For this reason, a direct description of the physical phenomena associated with the transfer of energy in the form of heat in relation to the medium in question is evident without the need to resort to ad hoc hypotheses.

Finally, Section 8, concludes the paper by giving the main contribution of this paper.

2
Method and material

The simulations are obtained by applying the finite element method. We used the scientific software COMSOL version 5.6, and in particular its MUltifrontal Massively Parallel Sparse direct solver (MUMPS) with a Newton automatic termination method. For more details, see references [32,33,34,35,36,37,38]. The hardware used is a processor Intel(R) Core(TM) i7-8550U CPU @ 1.80GHz, 1.99 GHz, RAM 16 GB processor with paralell programming up to eight threads.

3
The survey of Ciancio’s theory

In the context of irreversible processes an important role is played by the flow of heat which, classically, is not considered to be a state variable. Therefore we will suppose that the specific entropy s, depends not only on the specific internal energy u and the total strain εαβ, the tensor ɛαβ(1) \varepsilon _{\alpha \beta }^{\left( 1 \right)} describing the inelastic strain and also on a vectorial dynamic variable, ξ, that is an odd function of microscopic particles velocities that have influence on the propagation phenomena which occur in an isotropic medium.

3.1
The balance equation of entropy

In the contest of irreversible process an important role is played by the flow of heat which, classically, is not considered to be a state variable. The specific entropy s, depends not only on the specific internal energy u and total strain εαβ, the tensor ɛαβ(1) \varepsilon _{\alpha \beta }^{\left( 1 \right)} describing the inelastic strain and also on a vectorial dynamic variable, ξ, that is an odd function of microscopic particles velocities that have influence on the propagation phenomena which occur in the medium. (1) s=s(u,ɛαβ,ɛαβ(1),ξα) , s = s\left( {u,\varepsilon _{\alpha \beta } ,\varepsilon _{\alpha \beta }^{\left( 1 \right)} ,\xi _\alpha } \right)\;, where ξα (α = 1,2,3) is the α -component of the vector ξ.

We define the absolute temperature (2) T-1 =def us(u,ɛαβ,ɛαβ(1),ξα) , T^{ - 1} \;\mathop = \limits^{{\rm{d}}ef} \;{\partial \over {\partial u}}s\left( {u,\varepsilon _{\alpha \beta } ,\varepsilon _{\alpha \beta }^{\left( 1 \right)} ,\xi _\alpha } \right)\;, the equilibrium-stress tensor (3) ταβ(eq) =def -ρTɛαβs(u,ɛαβ,ɛαβ(1),ξα) , \tau _{\alpha \beta }^{\left( {eq} \right)} \;\mathop = \limits^{{\rm{d}}ef} \; - \rho T{\partial \over {\partial \varepsilon _{\alpha \beta } }}s\left( {u,\varepsilon _{\alpha \beta } ,\varepsilon _{\alpha \beta }^{\left( 1 \right)} ,\xi _\alpha } \right)\;, the affinity-stress conjugate to ɛαβ(1) \varepsilon _{\alpha \beta }^{\left( 1 \right)} (4) ταβ(1) =def ρTɛαβ(1)s(u,ɛαβ,ɛαβ(1),ξα) , \tau _{\alpha \beta }^{\left( 1 \right)} \;\mathop = \limits^{{\rm{d}}ef} \;\rho T{\partial \over {\partial \varepsilon _{\alpha \beta }^{\left( 1 \right)} }}s\left( {u,\varepsilon _{\alpha \beta } ,\varepsilon _{\alpha \beta }^{\left( 1 \right)} ,\xi _\alpha } \right)\;, and the vector j conjugate to the internal vector variable ξ (5) jα =def ρTξαs(u,ɛαβ,ɛαβ(1),ξα) , j_\alpha \;\mathop = \limits^{{\rm{d}}ef} \;\rho T{\partial \over {\partial \xi _\alpha }}s\left( {u,\varepsilon _{\alpha \beta } ,\varepsilon _{\alpha \beta }^{\left( 1 \right)} ,\xi _\alpha } \right)\;, where ρ =def ν-1 \rho \;\mathop = \limits^{{\rm{d}}ef} \;\nu ^{ - 1} is the mass density.

By using (1) we can obtain the following Gibbs relation (6) Tds=du-ν ταβ(eq)dɛαβ+ν ταβ(1) dɛαβ(1)+ν jα dξα , Tds = du - \nu \;\tau _{\alpha \beta }^{\left( {eq} \right)} d\varepsilon _{\alpha \beta } + \nu \;\tau _{\alpha \beta }^{\left( 1 \right)} \;d\varepsilon _{\alpha \beta }^{\left( 1 \right)} + \nu \;j_\alpha \;d\xi _\alpha \;, where ν is the specific volume.

From (6) we have: (7) ρTdsdt=ρdudt- ταβ(eq)dɛαβdt+ταβ(1)dɛαβ(1)dt+jα dξαdt , \rho T{{ds} \over {dt}} = \rho {{du} \over {dt}} - \;\tau _{\alpha \beta }^{\left( {eq} \right)} {{d\varepsilon _{\alpha \beta } } \over {dt}} + \tau _{\alpha \beta }^{\left( 1 \right)} {{d\varepsilon _{\alpha \beta }^{\left( 1 \right)} } \over {dt}} + j_\alpha \;{{d\xi _\alpha } \over {dt}}\;, where (8) ddt=t+v {d \over {dt}} = {\partial \over {\partial t}} + {v} \cdot \nabla is the substantial derivative with respect to time and v is the velocity field and ∇ is the gradient.

To analyze phenomena due to viscous flows (analogous to those which occur during flows in ordinary viscous liquids and gases) we introduce the following viscous stress tensor (9) ταβ(vi) =def ταβ-ταβ(eq) , \tau _{\alpha \beta }^{\left( {vi} \right)} \;\mathop = \limits^{{\rm{d}}ef} \;\tau _{\alpha \beta } - \tau _{\alpha \beta }^{\left( {eq} \right)} \;, where ταβ is the mechanical stress tensor which occurs in the equation of motion (10) ρdvαdt=ρ Fα+ταβxβ , \rho {{dv_\alpha } \over {dt}} = \rho \;F_\alpha + {{\partial \tau _{\alpha \beta } } \over {\partial x_\beta }}\;, and in the first law of thermodynamics (11) ρdudt=-J(q)+ταβdɛαβdt. \rho {{du} \over {dt}} = - \nabla \cdot {\bf{J}}^{\left( q \right)} + \tau _{\alpha \beta } {{d\varepsilon _{\alpha \beta } } \over {dt}}.

In (10), the force Fα is the volume force per unit of mass and in (11) the vector J(q) is the heat flux. The equation (11), by virtue of (9) becomes (12) ρdudt=-J(q)+(ταβ(eq)+ταβ(vi))dɛαβdt , \rho {{du} \over {dt}} = - \nabla \cdot {\bf{J}}^{\left( q \right)} + \left( {\tau _{\alpha \beta }^{\left( {eq} \right)} + \tau _{\alpha \beta }^{\left( {vi} \right)} } \right){{d\varepsilon _{\alpha \beta } } \over {dt}}\;, which substituted in the equation (7) gives (13) ρ dsdt=T-1 (-J(q)+ταβ(vi)dɛαβdt+ταβ(1)dɛαβ(1)dt+jαdξαdt), \rho \;{{ds} \over {dt}} = T^{ - 1} \;( - \nabla \cdot {\bf{J}}^{\left( q \right)} + \tau _{\alpha \beta }^{\left( {vi} \right)} {{d\varepsilon _{\alpha \beta } } \over {dt}} + \tau _{\alpha \beta }^{\left( 1 \right)} {{d\varepsilon _{\alpha \beta }^{\left( 1 \right)} } \over {dt}} + j_\alpha {{d\xi _\alpha } \over {dt}} and we have (14) ρdsdt=- div  (J(q)T) + σ(s) \rho {{ds} \over {dt}} = - \;{\rm{div}}\;\;\left( {{{{\bf{J}}^{\left( q \right)} } \over T}} \right)\; + \;\sigma ^{\left( s \right)} and the entropy production (15) σ(s)=T-1[J(q)(-T-1 grad  T)+ταβ(vi) d ɛαβdt + ταβ(1) dɛαβ(1)dt + jα dξαdt] 0. \sigma ^{\left( s \right)} = T^{ - 1} \left[ {{\bf{J}}^{\left( q \right)} \cdot \left( { - T^{ - 1} \;{\rm{grad}}\;\;T} \right) + \tau _{\alpha \beta }^{\left( {vi} \right)} \;{{d\;\varepsilon _{\alpha \beta } } \over {dt}}\; + \;\tau _{\alpha \beta }^{\left( 1 \right)} \;{{d\varepsilon _{\alpha \beta }^{\left( 1 \right)} } \over {dt}}\; + \;j_\alpha \;{{d\xi _\alpha } \over {dt}}} \right]\; \ge 0.

3.2
Phenomenological equations

According to the usual procedure of non-equilibrium thermodynamics, by virtue of the form (15) for the entropy production, we have for anisotropic media the following phenomenological equations: (16) Jα(q)=Lαβ(q)(q) (-T-1Txβ)+Lα(μν)(q)(0) dɛμνdt +Lα(μν)(q)(1)τμν(1) + Lαμ(q)(ξ) dξμdt , J_\alpha ^{\left( q \right)} = L_{\alpha \beta }^{\left( q \right)\left( q \right)} \;\left( { - T^{ - 1} {{\partial T} \over {\partial x^\beta }}} \right) + L_{\alpha \left( {\mu \nu } \right)}^{\left( q \right)\left( 0 \right)} \;{{d\varepsilon _{\mu \nu } } \over {dt}}\; + L_{\alpha \left( {\mu \nu } \right)}^{\left( q \right)\left( 1 \right)} \tau _{\mu \nu }^{\left( 1 \right)} \; + \;L_{\alpha \mu }^{\left( q \right)\left( \xi \right)} \;{{d\xi _\mu } \over {dt}}\;, (17) ταβ(vi)=L(αβ)μ(0)(q) (-T-1Txμ)+L(αβ)(μν)(0)(0) dɛμνdt +L(αβ)(μν)(0)(1)τμν(1)+ L(αβ)μ(0)(ξ) dξμdt , \tau _{\alpha \beta }^{\left( {vi} \right)} = L_{\left( {\alpha \beta } \right)\mu }^{\left( 0 \right)\left( q \right)} \;\left( { - T^{ - 1} {{\partial T} \over {\partial x^\mu }}} \right) + L_{\left( {\alpha \beta } \right)\left( {\mu \nu } \right)}^{\left( 0 \right)\left( 0 \right)} \;{{d\varepsilon _{\mu \nu } } \over {dt}}\; + L_{\left( {\alpha \beta } \right)\left( {\mu \nu } \right)}^{\left( 0 \right)\left( 1 \right)} \tau _{\mu \nu }^{\left( 1 \right)} + \;L_{\left( {\alpha \beta } \right)\mu }^{\left( 0 \right)\left( \xi \right)} \;{{d\xi _\mu } \over {dt}}\;, (18) dɛαβ(1)dt=L(αβ)μ(1)(q) (-T-1Txμ)+L(αβ)(μν)(1)(0) dɛμνdt +L(αβ)(μν)(1)(1)τμν(1)+ L(αβ)μ(1)(ξ) dξμdt , {{d\varepsilon _{\alpha \beta }^{\left( 1 \right)} } \over {dt}} = L_{\left( {\alpha \beta } \right)\mu }^{\left( 1 \right)\left( q \right)} \;\left( { - T^{ - 1} {{\partial T} \over {\partial x^\mu }}} \right) + L_{\left( {\alpha \beta } \right)\left( {\mu \nu } \right)}^{\left( 1 \right)\left( 0 \right)} \;{{d\varepsilon _{\mu \nu } } \over {dt}}\; + L_{\left( {\alpha \beta } \right)\left( {\mu \nu } \right)}^{\left( 1 \right)\left( 1 \right)} \tau _{\mu \nu }^{\left( 1 \right)} + \;L_{\left( {\alpha \beta } \right)\mu }^{\left( 1 \right)\left( \xi \right)} \;{{d\xi _\mu } \over {dt}}\;, (19) jα=Lαβ(ξ)(q) (-T-1Txβ)+Lα(μν)(ξ)(0) dɛμνdt +Lα(μν)(ξ)(1) τμν(1) +Lαβ(ξ)(ξ) dξβdt . j_\alpha = L_{\alpha \beta }^{\left( \xi \right)\left( q \right)} \;\left( { - T^{ - 1} {{\partial T} \over {\partial x^\beta }}} \right) + L_{\alpha \left( {\mu \nu } \right)}^{\left( \xi \right)\left( 0 \right)} \;{{d\varepsilon _{\mu \nu } } \over {dt}}\; + L_{\alpha \left( {\mu \nu } \right)}^{\left( \xi \right)\left( 1 \right)} \;\tau _{\mu \nu }^{\left( 1 \right)} \; + L_{\alpha \beta }^{\left( \xi \right)\left( \xi \right)} \;{{d\xi _\beta } \over {dt}}\;.

The tensors L are called phenomenological tensors and the indices of these tensors enclosed in round brackets mean that they are symmetrical because the tensors εμν, ταβ(vi) \tau _{\alpha \beta }^{\left( {vi} \right)} are symmetric. The first of these equations may be regarded as a generalization of Fourier’s law. Equation (17) describes the viscous flow phenomenon and it may be considered to be a generalization of Stockes-Navier’s law. Finally, the equations (18) and (19) are the phenomenological equations for the irreversible process of the dynamic degrees of freedom. By (16)–(19) from the (15) one has: (20) Tσ(s)=Lαβ(q)(q)(T-2TxαTxβ)+[Lαβ(ξ)(q)+Lαβ(q)(ξ)]dξαdt(-T-1Txβ)+L(αβ)(μν)(0)(0)dɛαβdt dɛμνdt+[L(αβ)(μν)(1)(0)+L(μν)(αβ)(0)(1)] ταβ(1) dɛμνdt+L(αβ)(μν)(1)(1)ταβ(1) τμν(1)+Lαβ(ξ)(ξ)dξαdt dξβdt . \eqalign{ & T\sigma ^{\left( s \right)} = L_{\alpha \beta }^{\left( q \right)\left( q \right)} \left( {T^{ - 2} {{\partial T} \over {\partial x^\alpha }}{{\partial T} \over {\partial x^\beta }}} \right) + \left[ {L_{\alpha \beta }^{\left( \xi \right)\left( q \right)} + L_{\alpha \beta }^{\left( q \right)\left( \xi \right)} } \right]{{d\xi _\alpha } \over {dt}}\left( { - T^{ - 1} {{\partial T} \over {\partial x^\beta }}} \right) + L_{\left( {\alpha \beta } \right)\left( {\mu \nu } \right)}^{\left( 0 \right)\left( 0 \right)} {{d\varepsilon _{\alpha \beta } } \over {dt}}\;{{d\varepsilon _{\mu \nu } } \over {dt}} + \cr & \,\,\,\,\,\,\,\,\,\,\,\,\,\,\,\left[ {L_{\left( {\alpha \beta } \right)\left( {\mu \nu } \right)}^{\left( 1 \right)\left( 0 \right)} + L_{\left( {\mu \nu } \right)\left( {\alpha \beta } \right)}^{\left( 0 \right)\left( 1 \right)} } \right]\;\tau _{\alpha \beta }^{\left( 1 \right)} \;{{d\varepsilon _{\mu \nu } } \over {dt}} + L_{\left( {\alpha \beta } \right)\left( {\mu \nu } \right)}^{\left( 1 \right)\left( 1 \right)} \tau _{\alpha \beta }^{\left( 1 \right)} \;\tau _{\mu \nu }^{\left( 1 \right)} + L_{\alpha \beta }^{\left( \xi \right)\left( \xi \right)} {{d\xi _\alpha } \over {dt}}\;{{d\xi _\beta } \over {dt}}\;. \cr}

If the phenomenologic tensors of rank three are null, i.e. in the case of the constant volume. If the media are isotropic the equations (16)–(19) become: (21) Jα(q)=-λ(q,q)Txα+λ(q,ξ)dξαdt , J_\alpha ^{\left( q \right)} = - \lambda ^{\left( {q,q} \right)} {{\partial T} \over {\partial x^\alpha }} + \lambda ^{(q,\xi )} {{d\xi _\alpha } \over {dt}}\;, (22) ταβ(vi)=ηs(0,0)dɛαβdt+(ηv(0,0)-ηs(0,0)) dɛdt δαβ+ηs(0,1)ταβ(1)+(ηv(0,1)-ηs(0,1)) τ(1) δαβ , \tau _{\alpha \beta }^{\left( {vi} \right)} = \eta _s^{\left( {0,0} \right)} {{d\varepsilon _{\alpha \beta } } \over {dt}} + \left( {\eta _v^{\left( {0,0} \right)} - \eta _s^{\left( {0,0} \right)} } \right)\;{{d\varepsilon } \over {dt}}\;\delta _{\alpha \beta } + \eta _s^{\left( {0,1} \right)} \tau _{\alpha \beta }^{\left( 1 \right)} + \left( {\eta _v^{\left( {0,1} \right)} - \eta _s^{\left( {0,1} \right)} } \right)\;\tau ^{\left( 1 \right)} \;\delta _{\alpha \beta } \;, (23) dɛαβ(1)dt=ηs(1,0)dɛαβdt+(ηv(1,0)-ηs(1,0)) dɛdt δαβ+ηs(1,1)ταβ(1)+(ηv(1,1)-ηs(1,1)) τ(1) δαβ , {{d\varepsilon _{\alpha \beta }^{\left( 1 \right)} } \over {dt}} = \eta _s^{\left( {1,0} \right)} {{d\varepsilon _{\alpha \beta } } \over {dt}} + \left( {\eta _v^{\left( {1,0} \right)} - \eta _s^{\left( {1,0} \right)} } \right)\;{{d\varepsilon } \over {dt}}\;\delta _{\alpha \beta } + \eta _s^{\left( {1,1} \right)} \tau _{\alpha \beta }^{\left( 1 \right)} + \left( {\eta _v^{\left( {1,1} \right)} - \eta _s^{\left( {1,1} \right)} } \right)\;\tau ^{\left( 1 \right)} \;\delta _{\alpha \beta } \;, (24) jα=-λ(ξ,q) Txα+λ(ξ,ξ) dξαdt , j_\alpha = - \lambda ^{\left( {\xi ,q} \right)} \;{{\partial T} \over {\partial x^\alpha }} + \lambda ^{\left( {\xi ,\xi } \right)} \;{{d\xi _\alpha } \over {dt}}\;, where δαβ is the Kronecker’s delta function.

3.3
Linear equations of state

Let f be the specific free energy of the medium (25) f=u-T s. f = u - T\;s.

With the aid of Gibbs relation (6) we have: (26) df=ν ταβ(eq)dɛαβ-νταβ(1)dɛαβ(1)-ν jα  dξα-sdT , df = \nu \;\tau _{\alpha \beta }^{\left( {eq} \right)} d\varepsilon _{\alpha \beta } - \nu \tau _{\alpha \beta }^{\left( 1 \right)} \,d\varepsilon _{\alpha \beta }^{\left( 1 \right)} - \nu \;j_\alpha \;\;d\xi _\alpha - sdT\;, where (27) ν ταβ(eq)=fɛαβ,     ν ταβ(1)=-fɛαβ(1),    ν jα=- fξα,    s=- fT. \nu \;\tau _{\alpha \beta }^{\left( {eq} \right)} = {{\partial f} \over {\partial \varepsilon _{\alpha \beta } }},\;\;\;\;\;\nu \;\tau _{\alpha \beta }^{\left( 1 \right)} = - {{\partial f} \over {\partial \varepsilon _{\alpha \beta }^{\left( 1 \right)} }},\;\;\;\;\nu \;j_\alpha = - \;{{\partial f} \over {\partial \xi _\alpha }},\;\;\;\;s = - \;{{\partial f} \over {\partial T}}.

Let us choose a configuration ∑(0) with uniform temperature T0 and in which s0 is the specific entropy, ν0 is the specific volume and (ταβ(eq))0 (\tau _{\alpha \beta }^{\left( {eq} \right)} )_0 , (ταβ(1))0 (\tau _{\alpha \beta }^{\left( 1 \right)} )_0 , (ταβ)0, (ɛαβ)0, (ɛαβ(1))0 (\varepsilon _{\alpha \beta }^{\left( 1 \right)} )_0 and (jα)0 are zero.

Let us suppose that the deviations from ∑(0) are sufficiently small (with ρ ≈ρ0) and the free energy for isotropic medium can be written in the following form (28) f=v0{12[aαβμν(0)(0)ɛαβɛμν+aαβμν(1)(1)ɛαβ(1)ɛμν(1)+aαβ(ξ)(ξ)ξαξβ]+aαβμν(0)(1)ɛαβɛμν(1)+aαβμ(0)(ξ)ɛαβξμ++aαβμ(1)(ξ)ɛαβ(1)ξμ+(T-T0)[aαβ(0)(T)ɛαβ+aαβ(1)(T)ɛαβ(1)+aα(ξ)(T)ξα]}-Ψ(T). \begin{equation} \begin{split} f =\, \nu_0 \,& \Bigl\{\frac{1}{2}\Bigl[ a_{\alpha\beta\mu\nu}^{(0)(0)}\,\varepsilon_{\alpha \beta} \varepsilon_{\mu\nu}\, +\,a_{\alpha \beta\mu \nu}^{(1)(1)} \,\varepsilon^{(1)}_{\alpha \beta }\, \varepsilon^{(1)}_{\mu \nu} + a^{(\xi)(\xi)}_{\alpha \beta } \xi_\alpha \,\xi_\beta \Bigr] + a^{(0)(1)}_{\alpha \beta \mu \nu} \varepsilon_{\alpha \beta}\varepsilon^{(1)}_{\mu \nu} + a^{(0)(\xi)}_{\alpha \beta \mu} \varepsilon_{\alpha \beta}\xi_\mu\,+\\ &+a^{(1)(\xi)}_{\alpha \beta \mu}\varepsilon^{(1)}_{\alpha \beta}\,\xi_\mu +(T - T_0) \Bigl[a^{(0)(T)}_{\alpha \beta} \varepsilon_{\alpha \beta}\,+\,a^{(1)(T)}_{\alpha \beta} \,\varepsilon^{(1)}_{\alpha \beta} \,+\,a^{(\xi)(T)}_{\alpha} \xi_\alpha \Bigr]\Bigr\} - \Psi(T)\,. \end{split} \end{equation}

In isotropic case we obtain: (29) Ψ = c(ɛ) T  log  (TT0) + s0 T-c(ɛ)(T-T0)-u0 , {\rm{\Psi }}\; = \;c_{\left( \varepsilon \right)} \;T\;\;log\;\;\left( {{T \over {T_0 }}} \right)\; + \;s_0 \;T - c_{\left( \varepsilon \right)} \left( {T - T_0 } \right) - u_0 \;, where cε is the specific heat at constant deformation and (30) ταβ(eq)= a(0,0) ɛαβ +(b(0,0)-a(0,0)) ɛ δαβ +a(0,1)ɛαβ(1)+(b(0,1)-a(0,1)) ɛ(1)δαβ+ a(0,T) (T-T0) δαβ , \tau _{\alpha \beta }^{\left( {eq} \right)} = \;a^{\left( {0,0} \right)} \;\varepsilon _{\alpha \beta } \; + \left( {b^{\left( {0,0} \right)} - a^{\left( {0,0} \right)} } \right)\;\varepsilon \;\delta _{\alpha \beta } \; + a^{\left( {0,1} \right)} \varepsilon _{\alpha \beta }^{\left( 1 \right)} + \left( {b^{\left( {0,1} \right)} - a^{\left( {0,1} \right)} } \right)\;\varepsilon ^{\left( 1 \right)} \delta _{\alpha \beta } + \;a^{\left( {0,T} \right)} \;\left( {T - T_0 } \right)\;\delta _{\alpha \beta } \;, (31) ταβ(1)= a(1,1) ɛαβ(1) +(b(1,1)-a(1,1)) ɛ(1) δαβ +a(0,1)ɛαβ+(b(0,1)-a(0,1)) ɛ δαβ + a(1,T) (T-T0) δαβ , \tau _{\alpha \beta }^{\left( 1 \right)} = \;a^{\left( {1,1} \right)} \;\varepsilon _{\alpha \beta }^{\left( 1 \right)} \; + \left( {b^{\left( {1,1} \right)} - a^{\left( {1,1} \right)} } \right)\;\varepsilon ^{\left( 1 \right)} \;\delta _{\alpha \beta } \; + a^{\left( {0,1} \right)} \varepsilon _{\alpha \beta } + \left( {b^{\left( {0,1} \right)} - a^{\left( {0,1} \right)} } \right)\;\varepsilon \;\delta _{\alpha \beta } \; + \;a^{\left( {1,T} \right)} \;\left( {T - T_0 } \right)\;\delta _{\alpha \beta } \;, (32) jα= - a(ξ,ξ) ξα . j_\alpha = \; - \;a^{\left( {\xi ,\xi } \right)} \;\xi _\alpha \;.

3.4
Heat flows in visco-anelastic processes

The results obtained are based on the decomposition theorem of the flow vector [1] using the thermodynamic theory of irreversible nonlinear processes with the method of internal variables. From the equations (24) and (32), eliminating the vector jα, we have: (33) dξαdt=-a(ξ,ξ)λ(ξ,ξ)  ξα+λ(ξ,q)λ(ξ,ξ) Txα. {{d\xi _\alpha } \over {dt}} = - {{a^{\left( {\xi ,\xi } \right)} } \over {\lambda ^{\left( {\xi ,\xi } \right)} }}\;\;\xi _\alpha + {{\lambda ^{\left( {\xi ,q} \right)} } \over {\lambda ^{\left( {\xi ,\xi } \right)} }}\;{{\partial T} \over {\partial x^\alpha }}.

By replacing the (33) in the (21) expressing the heat flow vector, we obtain: (34) Jα(q)=-[λ(q,q)-λ(ξ,q)λ(q,ξ)λ(ξ,ξ)] Txα-λ(q,ξ)a(ξ,ξ)λ(ξ,ξ)  ξα. J_\alpha ^{\left( q \right)} = - \left[ {\lambda ^{\left( {q,q} \right)} - {{\lambda ^{\left( {\xi ,q} \right)} \lambda ^{\left( {q,\xi } \right)} } \over {\lambda ^{\left( {\xi ,\xi } \right)} }}} \right]\;{{\partial T} \over {\partial x^\alpha }} - {{\lambda ^{\left( {q,\xi } \right)} a^{\left( {\xi ,\xi } \right)} } \over {\lambda ^{\left( {\xi ,\xi } \right)} }}\;\;\xi _\alpha .

Setting: (35) λ(0)=λ(q,q)-λ(ξ,q)λ(q,ξ)λ(ξ,ξ) \lambda ^{\left( 0 \right)} = \lambda ^{\left( {q,q} \right)} - {{\lambda ^{\left( {\xi ,q} \right)} \lambda ^{\left( {q,\xi } \right)} } \over {\lambda ^{\left( {\xi ,\xi } \right)} }} the (34), in vector form, becomes: (36) J(q)=-λ(0) T-λ(q,ξ)a(ξ,ξ)λ(ξ,ξ)  ξ . J^{\left( q \right)} = - \lambda ^{\left( 0 \right)} \nabla \;T - {{\lambda ^{\left( {q,\xi } \right)} a^{\left( {\xi ,\xi } \right)} } \over {\lambda ^{\left( {\xi ,\xi } \right)} }}\;\;{\bf{\xi }}\;.

Therefore J(q) = J(0) + J(1) vector decomposes into two vectors: (37) J(0)=-λ(0) T J^{\left( 0 \right)} = - \lambda ^{\left( 0 \right)} \nabla \;T and (38) J(1)=-λ(q,ξ)a(ξ,ξ)λ(ξ,ξ)  ξ. J^{\left( 1 \right)} = - {{\lambda ^{\left( {q,\xi } \right)} a^{\left( {\xi ,\xi } \right)} } \over {\lambda ^{\left( {\xi ,\xi } \right)} }}\;\;{\bf{\xi }}.

The (37) expresses Fourier’s law whereas the (38) represents the constitutive M-C-V equation. We rewrite the (33) in vector form in the following way: (39) λ(ξ,ξ) dξdt=-a(ξ,ξ)  ξ+λ(ξ,q)  T. \lambda ^{\left( {\xi ,\xi } \right)} \;{{d{\bf{\xi }}} \over {dt}} = - a^{\left( {\xi ,\xi } \right)} \;\;{\bf{\xi }} + \lambda ^{\left( {\xi ,q} \right)} \;\nabla \;T.

We derive the (38) with respect to time, thus obtaining: (40) dJ(1)dt=-λ(q,ξ)a(ξ,ξ)λ(ξ,ξ)  dξdt {{dJ^{\left( 1 \right)} } \over {dt}} = - {{\lambda ^{\left( {q,\xi } \right)} a^{\left( {\xi ,\xi } \right)} } \over {\lambda ^{\left( {\xi ,\xi } \right)} }}\;\;{{d{\bf{\xi }}} \over {dt}} from which: (41) dξdt=-λ(ξ,ξ)λ(q,ξ)a(ξ,ξ)  dJ(1)dt. {{d{\bf{\xi }}} \over {dt}} = - {{\lambda ^{\left( {\xi ,\xi } \right)} } \over {\lambda ^{\left( {q,\xi } \right)} a^{\left( {\xi ,\xi } \right)} }}\;\;{{dJ^{\left( 1 \right)} } \over {dt}}.

Replacing the (41) in the (39) and simplifying, we obtain: (42) -λ(ξ,ξ)a(ξ,ξ)dJ(1)dt=J(1)+λ(q,ξ)λ(ξ,q)λ(ξ,ξ)  T. - {{\lambda ^{\left( {\xi ,\xi } \right)} } \over {a^{\left( {\xi ,\xi } \right)} }}{{dJ^{\left( 1 \right)} } \over {dt}} = J^{\left( 1 \right)} + {{\lambda ^{\left( {q,\xi } \right)} \lambda ^{\left( {\xi ,q} \right)} } \over {\lambda ^{\left( {\xi ,\xi } \right)} }}\;\nabla \;T. From a dimensional point of view, the second member of the (42) has the dimensions of a heat flow or a specific energy flow per unit of time. Therefore also the first member given by the product of the scalar quantity λ(ξ,ξ)a(ξ,ξ) {{\lambda ^{\left( {\xi ,\xi } \right)} } \over {a^{\left( {\xi ,\xi } \right)} }} for the vector dJ(1)dt {{dJ^{\left( 1 \right)} } \over {dt}} having the dimensions of a heat flow rate must have the dimensions of a heat flow: [λ(ξ,ξ)a(ξ,ξ)]×[Watt][meters]2 × [seconds]-1=[Watt][meters]2. \left[ {{{\lambda ^{\left( {\xi ,\xi } \right)} } \over {a^{\left( {\xi ,\xi } \right)} }}} \right] \times {{\left[ {Watt} \right]} \over {\left[ {meters} \right]^2 }}\; \times \;\left[ {seconds} \right]^{ - 1} = {{\left[ {Watt} \right]} \over {\left[ {meters} \right]^2 }}.

Simplifying, we get: [λ(ξ,ξ)a(ξ,ξ)]=[seconds]. \left[ {{{\lambda ^{\left( {\xi ,\xi } \right)} } \over {a^{\left( {\xi ,\xi } \right)} }}} \right] = \left[ {seconds} \right].

Therefore the scalar quantity has the dimensions of a time called thermal relaxation time, t1 due to the heat flow associated with the internal variable: (43) t1=λ(ξ,ξ)a(ξ,ξ). t_1 = {{\lambda ^{\left( {\xi ,\xi } \right)} } \over {a^{\left( {\xi ,\xi } \right)} }}.

Therefore we write the (42) as: (44) t1dJ(1)dt+J(1)=-λ(q,ξ)λ(ξ,q)λ(ξ,ξ)  T, t_1 {{dJ^{\left( 1 \right)} } \over {dt}} + J^{\left( 1 \right)} = - {{\lambda ^{\left( {q,\xi } \right)} \lambda ^{\left( {\xi ,q} \right)} } \over {\lambda ^{\left( {\xi ,\xi } \right)} }}\;\nabla \;T, the term λ(q,ξ)λ(ξ,q)λ(ξ,ξ)  T {{\lambda ^{\left( {q,\xi } \right)} \lambda ^{\left( {\xi ,q} \right)} } \over {\lambda ^{\left( {\xi ,\xi } \right)} }}\;\nabla \;T is a heat flux, i.e.: [λ(q,ξ)λ(ξ,q)λ(ξ,ξ)  T]=[λ(q,ξ)λ(ξ,q)λ(ξ,ξ)]×[Kelvin][meters]=[Watt][meters]2  [λ(q,ξ)λ(ξ,q)λ(ξ,ξ)]=[Watt][meters]. \left[ {{{\lambda ^{\left( {q,\xi } \right)} \lambda ^{\left( {\xi ,q} \right)} } \over {\lambda ^{\left( {\xi ,\xi } \right)} }}\;\nabla \;T} \right] = \left[ {{{\lambda ^{\left( {q,\xi } \right)} \lambda ^{\left( {\xi ,q} \right)} } \over {\lambda ^{\left( {\xi ,\xi } \right)} }}} \right] \times {{\left[ {Kelvin} \right]} \over {\left[ {meters} \right]}} = {{\left[ {Watt} \right]} \over {\left[ {meters} \right]^2 }}\;\; \Rightarrow \left[ {{{\lambda ^{\left( {q,\xi } \right)} \lambda ^{\left( {\xi ,q} \right)} } \over {\lambda ^{\left( {\xi ,\xi } \right)} }}} \right] = {{\left[ {Watt} \right]} \over {\left[ {meters} \right]}}.

Therefore λ (q,ξ), λ(ξ, ξ), λ (ξ,q) have the dimesions of thermal conductivity and a(ξ, ξ) has the dimension of rate thermal conductivity, i.e. [Watt][meters]×[Kelvin] {{\left[ {Watt} \right]} \over {\left[ {meters} \right] \times \left[ {Kelvin} \right]}} .

4
General heat equation

In order to obtain an expression of temperature that represents the evolution of an ultrafast process in a viscoanelastic isotropic medium, the conditions that are defined here apriori, are not deductive logical hypotheses but express concrete and experimentally measurable physical aspects maintaining however the mathematical rigor. Before determining the heat equation, produced by a laser source, propagating in a metal film, let us examine the follow conditions [1]:

  • dɛαβdt=0 {{d\varepsilon _{\alpha \beta } } \over {dt}} = 0 this condition means that the test material subject constant deformation.

  • Absence of external forces.

  • v = 0, the viscoanelastic medium is not in motion; thus the substantial derivative coincides with the partial derivative, i.e. ddt=t {d \over {dt}} = {\partial \over {\partial t}} .

  • The heat flow vector is given by two component vectors, one due to one diffusion field, J(0) and the other induced by the internal variable J(1).

  • The specific heat at constant volume is: Cv=dudT C_v = {{du} \over {dT}} .

Considering the last condition, the equation that expresses the first principle of thermodynamics given by (11) is reduced to: (45) ρdudt=-(J(0)+J(1)) \rho {{du} \over {dt}} = - \nabla \cdot \left( {J^{\left( 0 \right)} + J^{\left( 1 \right)} } \right) where the vector J(0) is proportional to less than the sign at the temperature gradient as shown by the formula (37) while the vector, J(1), always less than the sign, is proportional to the internal variable as shown by the formula (38). Considering the 3 and 5 point conditions and according to the formulas (37) and (38), we have: (46) ρC(v)Tt=λ(0)T+λ(q,ξ)a(ξ,ξ)λ(ξ,ξ)     ξ. \rho C_{\left( v \right)} {{\partial T} \over {\partial t}} = \lambda ^{\left( 0 \right)} \Delta T + {{\lambda ^{\left( {q,\xi } \right)} a^{\left( {\xi ,\xi } \right)} } \over {\lambda ^{\left( {\xi ,\xi } \right)} }}\;\;\;\;\;\nabla \cdot {\bf{\xi }}.

Multiplying the (46) by t1 and deriving both members with respect to the time we get the following expression: (47) ρC(v) t12Tt2=t1λ(0)tT+t1λ(q,ξ)a(ξ,ξ)λ(ξ,ξ)     ddt(ξ), \rho C_{\left( v \right)} \;t_1 {{\partial ^2 T} \over {\partial t^2 }} = t_1 \lambda ^{\left( 0 \right)} {\partial \over {\partial t}}\Delta T + t_1 {{\lambda ^{\left( {q,\xi } \right)} a^{\left( {\xi ,\xi } \right)} } \over {\lambda ^{\left( {\xi ,\xi } \right)} }}\;\;\;\;\;{d \over {dt}}\left( {\nabla \cdot {\bf{\xi }}} \right), by summing member to member (46) with (47), we obtain: (48) ρC(v) (t12Tt2+Tt)=t1λ(0)tT+λ(q,ξ)a(ξ,ξ)λ(ξ,ξ)     (t1   dξdt+     ξ). \rho C_{\left( v \right)} \;\left( {t_1 {{\partial ^2 T} \over {\partial t^2 }} + {{\partial T} \over {\partial t}}} \right) = t_1 \lambda ^{\left( 0 \right)} {\partial \over {\partial t}}\Delta T + {{\lambda ^{\left( {q,\xi } \right)} a^{\left( {\xi ,\xi } \right)} } \over {\lambda ^{\left( {\xi ,\xi } \right)} }}\;\;\;\;\;\left( {t_1 \;\nabla \; \cdot \;{{d{\bf{\xi }}} \over {dt}} + \;\;\;\;\;\nabla \cdot {\bf{\xi }}} \right).

From (41) and (38), we obtain: (49) ρC(v) (t12Tt2+Tt)=λ(0)T+t1λ(0)tT-     (t1 J(1)t+J(1)). \rho C_{\left( v \right)} \;\left( {t_1 {{\partial ^2 T} \over {\partial t^2 }} + {{\partial T} \over {\partial t}}} \right) = \lambda ^{\left( 0 \right)} \Delta T + t_1 \lambda ^{\left( 0 \right)} {\partial \over {\partial t}}\Delta T - \;\;\;\;\;\nabla \cdot \left( {t_1 \;{{\partial J^{\left( 1 \right)} } \over {\partial t}} + J^{\left( 1 \right)} } \right).

From (44) and dividing by ρC(v), we obtain: (50) t12Tt2+Tt=λ(q,q)ρC(v)T+t1λ(0)ρC(v)tT. t_1 {{\partial ^2 T} \over {\partial t^2 }} + {{\partial T} \over {\partial t}} = {{\lambda ^{\left( {q,q} \right)} } \over {\rho C_{\left( v \right)} }}\Delta T + {{t_1 \lambda ^{\left( 0 \right)} } \over {\rho C_{\left( v \right)} }}{\partial \over {\partial t}}\Delta T.

Indicating with α and η, respectively, α=λ(q,q)ρC(v) \alpha ' = {{\lambda ^{\left( {q,q} \right)} } \over {\rho C_{\left( v \right)} }} and η=λ(0)ρC(v) \eta ' = {{\lambda ^{\left( 0 \right)} } \over {\rho C_{\left( v \right)} }} , we obtain: (51) t12Tt2+Tt=αΔT+αt1ηαtΔT, t_1 {{\partial ^2 T} \over {\partial t^2 }} + {{\partial T} \over {\partial t}} = \alpha '\Delta T + \alpha 't_1 {{\eta '} \over {\alpha '}}{\partial \over {\partial t}}\Delta T, placing: (52) t2=ηα t1 t_2 = {{\eta '} \over {\alpha '}}\;t_1 i.e. (53) t2=λ(0)λ(q,q) t1 t_2 = {{\lambda ^{\left( 0 \right)} } \over {\lambda ^{\left( {q,q} \right)} }}\;t_1 (54) t12Tt2+Tt=αΔT+αt2tΔT, t_1 {{\partial ^2 T} \over {\partial t^2 }} + {{\partial T} \over {\partial t}} = \alpha '\Delta T + \alpha 't_2 {\partial \over {\partial t}}\Delta T, general heat equation in the absence of external thermal sources.

4.1
Special cases
  • If the relaxation time t1 can be neglected with respect to the heat propagation time t (t1t and hence t2t), the equation (54) becomes (55) Tt=αΔT . {{\partial T} \over {\partial t}} = \alpha '\Delta T\;. i.e. the Fourier equation.

  • If the phenomenological coefficients satisfy the following condition: (56) λ(q,q)=λ(q,ξ),λ(ξ,q)λ(ξ,ξ) , \lambda ^{\left( {q,q} \right)} = {{\lambda ^{\left( {q,\xi } \right)} ,\lambda ^{\left( {\xi ,q} \right)} } \over {\lambda ^{\left( {\xi ,\xi } \right)} }}\;, from (35) one has: λ(0) = 0 and therefore from (53), we have: (57) t2=0 , t_2 = 0\;, and the equation (54) becomes: (58) t1 2Tt2 + Tt - α ΔT = 0 . t_1 \;{{\partial ^2 T} \over {\partial t^2 }}\; + \;{{\partial T} \over {\partial t}}\; - \;\alpha '\;\Delta T\; = \;0\;. being the Maxwell-Cattaneo-Vernotte.

  • If λ(0) = λ(q,q), i.e. : t1 = t2, then we have the diffusion and the heat equation admit the Fourier solution.

5
Local physical phenomena and applications to ultra-fast processes

In the case of a constant strain medium, the generalized heat equation allows to characterize the temperature distribution in a metal film under the action of an ultrafast laser pulse. As described in [30], the electrons initially in thermal equilibrium with the crystalline structure of the thin metal film, are heated by the impulsive laser source. In fact, α is the effective thermal diffusivity in the phonon-electron or pure-phonon system and t2 and t1 are two intrinsic time scales characterizing the fast-transient response on microscales. Equation (54) is the generalized energy equation accounting for the effect of microstructural interaction (microscale response in space) in the fast-transient (microscale response in time) process. Table 1 shows the physical significance of the phenomenological and state coefficients with the corresponding units of measurement.

Table 2 shows the parameter estimation, α, t1 and t2 values for some metals [31]. After the time t1 at which the free electrons have heated to a Te temperature greater than that of the lattice, the electrons couple with phonons, thereby transferring thermal energy. After a time t2 the lattice rises to the temperature of the free electrons Te.

Table 1

Physical significance: λ(ξ, ξ), λ(q,q), λ(0), a(ξ, ξ).

CoefficientDescriptionMeasurement unit

λ (ξ, ξ ), λ (q,q), λ (0)Thermal conductivityW =(meters Kelvin)
a(ξ, ξ )Thermal conductivity rateW =(meters Kelvin seconds)
Table 2

Parameter estimation values for some metals.

Metalα′ (10−4 × m2/s)t1 (picoseconds)t2 (picoseconds)

Ag1.66200.743889.286
Cu1.12830.434870.883
Au1.24950.743889.286
Pb0.23010.167012.097
6
Case a: 1-D equation of general heat in the case of a laser source with pulse duration proxime to zero

Consideration of a one-dimensional medium (in space), Figure 1, is sufficient to study the time-history of heat propagation. In this case, the equation (54) reduces to: (59) t1 2Tt2+ Tt=α 2Tx2 +t2 α t(2Tx2) . t_1 \;{{\partial ^2 T} \over {\partial t^2 }} + \;{{\partial T} \over {\partial t}} = \alpha '\;{{\partial ^2 T} \over {\partial x^2 }}\; + t_2 \;\alpha '\;{\partial \over {\partial t}}\left( {{{\partial ^2 T} \over {\partial x^2 }}} \right)\;.

Two initial conditions are needed due to the presence of the wave term in equation (59): T = T0 and Tt=Λ0 {{\partial T} \over {\partial t}} = {\rm{\Lambda }}_0 at t = 0.

Fig. 1

Thickness of metal sheet: l = 1.0E–6 meters.

Fig. 2

Geometry of dimensionless problem.

By imposing a suddenly raised temperature at the boundary T = Tw at x = 0, we study the way in which heat propagates through the solid medium. At a distance far away from the boundary, the thermal disturbance vanishes: Tx=0 {{\partial T} \over {\partial x}} = 0 at xl.

Introducing the following dimensionless variables: ϑ=T-T0Tw-T0 ,    δ=xl ,    β=tl2/α, \vartheta = {{T - T_0 } \over {T_w - T_0 }}\;,\;\;\;\;\delta = {x \over l}\;,\;\;\;\;\beta = {t \over {l^2 /\alpha '}}, respectively, temperature, space and time, (see Figure 2) we obtain the dimensionless equation: (60) z1 2ϑβ2+ ϑβ=2ϑδ2 +z2 β2ϑδ2 . z_1 \;{{\partial ^2 \vartheta } \over {\partial \beta ^2 }} + \;{{\partial \vartheta } \over {\partial \beta }} = {{\partial ^2 \vartheta } \over {\partial \delta ^2 }}\; + z_2 \;{\partial \over {\partial \beta }}{{\partial ^2 \vartheta } \over {\partial \delta ^2 }}\;. with: z1=t1(l2/α)   ,   z2=t2(l2/α). z_1 = {{t_1 } \over {\left( {l^2 /\alpha '} \right)}}\;\;\;,\;\;\;z_2 = {{t_2 } \over {\left( {l^2 /\alpha '} \right)}}.

The initial conditions, and the boundary conditions thus become: ϑ= 0 and ϑβ=Γ0 {{\partial \vartheta } \over {\partial \beta }} = {\rm{\Gamma }}_0 at β = 0 ϑ= 1 at δ = 0 and ϑδ=0 {{\partial \vartheta } \over {\partial \delta }} = 0 at δ = 1 with: Γ0=Λ0 (l2/α)Tw-T0. {\rm{\Gamma }}_0 = {{{\rm{\Lambda }}_0 \;\left( {l^2 /\alpha '} \right)} \over {T_w - T_0 }}.

The parameters z1 and z2 weigh the relative importance of the lagging times (in both the temperature gradient and the heat flux vector) to the diffusion time. They are the physical parameters governing the transition of the physical mechanisms. In the simulation we consider: Λ0 = 0.

6.1
Results-case a

Using numerical FEM with Comsol and assuming the values of the geometrical and physical parameters in Table 2, we obtain the following results: From Figures 3 and 4 left panels, it is observed that the trend of the Fourier solution, that is, in the case in which heat transmission is considered without taking into account the microscopic effects, coincides with that of diffusion. This is not surprising since the diffusion equation, characterized by two equal relaxation times, allows Fourier’s solution. The presence of two relaxation times makes it possible to discriminate the material according to the heat propagation rate. In fact, in the right panel of Figure 5, it is observed that silver, gold and copper are brought more quickly to the temperature of hot electrons than lead. This behaviour cannot be shown by using both the Fourier and diffusion models.

Fig. 3

Left panel: Fourier’s parabolic heat equation. Right panel: MCV’s hyperbolic heat equation. β = 1 × 10−4.

Fig. 4

Left panel: Diffusion z1 = z2 ≠ = 0. Right panel: Generalised heat equation. β = 1 × 10−4.

7
Case b: 1-D equation of dimensionless heat in the case of a laser source with pulse duration comparable to thermal phase-lag

If the duration of the laser pulse is comparable to the thermal phase lag t1, the equation (45) representing the first principle of thermodynamics must include a term 𝒮(t,x) which takes into account the rate of energy absorbed due to the laser beam. Hence: (61) ρdudt=-(J(0)+J(1))+𝒮(t,x). \rho {{du} \over {dt}} = - \nabla \cdot \left( {J^{\left( 0 \right)} + J^{\left( 1 \right)} } \right) + {\cal S}\left( {t,x} \right).

Applying the same procedure as in Section 6, one obtains (62) t12Tt2+Tt=αΔT+αt2tΔT+αK(S(t,x)+t1 S(t,x)t), t_1 {{\partial ^2 T} \over {\partial t^2 }} + {{\partial T} \over {\partial t}} = \alpha '\Delta T + \alpha 't_2 {\partial \over {\partial t}}\Delta T + {{\alpha '} \over K}\left( {S\left( {t,x} \right) + t_1 \;{{\partial S\left( {t,x} \right)} \over {\partial t}}} \right), where K is the thermal conductivity of metal film, S(t,x) is the approximate intensity function of the laser pulse and the time derivative of S(t,x) in (62) is the apparent heat source resulting from the fast-transient effect of thermal inertial described by t1. From an experimental and computational point of view the function S(t,x) is analytically expressible by the following equation [39]: (63) S(t,x)=S0  Exp(-xϕ)I(t), S\left( {t,x} \right) = S_0 \;\;Exp\left( { - {x \over \phi }} \right)I\left( t \right), where I(t) is the light intensity of the laser beam; φ denoting the optical depth of penetration; S0 the intensity of the laser absorption rate, measured in [Watt][meters]3 {{\left[ {Watt} \right]} \over {\left[ {meters} \right]^3 }} that depends on the laser fluence J([Joule][meters]2) J\left( {{{\left[ {Joule} \right]} \over {\left[ {meters} \right]^2 }}} \right) , the radiative reflectivity of the sample to the laser beam (R), and the full width at half-maximum pulse duration (tp). (64) S0=0.94 J(1-Rtp ϕ). S_0 = 0.94\;J\left( {{{1 - R} \over {t_p \;\phi }}} \right).

In this case we consider a femto-laser stimulator, i.e. tp = 100 (femto-seconds). The analytical expression of I(t) which best approximates the real trend on the basis of experimental data is: (65) I(t)=Exp(-a  |t-2 tp|tp). I\left( t \right) = Exp\left( { - a\;\;{{\left| {t - 2\;t_p } \right|} \over {t_p }}} \right).

For gold film, whose actual behaviour deviates from the model (59), if phase delays are used of the Table 2, it has been found experimentally that suitable values are t1 = 8.5 ps and t2 = 90 ps. The reason for this variability of the estimate of t1 is due to the temperature dependence of the coupling factor between electron and phonon. The estimate is improved if an average of t1 is measured and simulated over the whole initial and final temperature range of free electrons: (66) t¯1=T0TFt1 dT(TF-T0), \bar t_1 = {{\mathop \smallint \nolimits_{T_0 }^{T_F } {\rm{}}\;t_1 \;dT} \over {\left( {T_F - T_0 } \right)}}, where T0 and TF are the initial and final temperatures in the range of t1. For T0 = 300K and TF = 5 × 104K the average value obtained, t̄1 is equal to 6.5 ps. Hence while the t2 value remains almost independent of temperature, it is observed that the value of t1 varies by about one order of magnitude. Applying the same procedure of dimensionless as in Section 5, we obtain: (67) z12ϑβ2+ϑt=2ϑδ2 +z2 β(2ϑδ2)+(Q(β,δ)+z1 Q(β,δ)β), z_1 {{\partial ^2 \vartheta } \over {\partial \beta ^2 }} + {{\partial \vartheta } \over {\partial t}} = {{\partial ^2 \vartheta } \over {\partial \delta ^2 }}\; + z_2 \;{\partial \over {\partial \beta }}\left( {{{\partial ^2 \vartheta } \over {\partial \delta ^2 }}} \right) + \left( {Q\left( {\beta ,\delta } \right) + z_1 \;{{\partial Q\left( {\beta ,\delta } \right)} \over {\partial \beta }}} \right), where (68) Q(β,δ)=Q0  Exp(-xϕ)I(β), Q\left( {\beta ,\delta } \right) = Q_0 \;\;Exp\left( { - {x \over \phi }} \right)I\left( \beta \right), with: (69) Q0=l2  S0K (Tw-T0), Q_0 = {{l^2 \;\;S_0 } \over {K\;\left( {T_w - T_0 } \right)}}, and (70) I(β)=Exp(-a  |β-2 zp|zp). I\left( \beta \right) = Exp\left( { - a\;\;{{\left| {\beta - 2\;z_p } \right|} \over {z_p }}} \right).

7.1
Results-case b

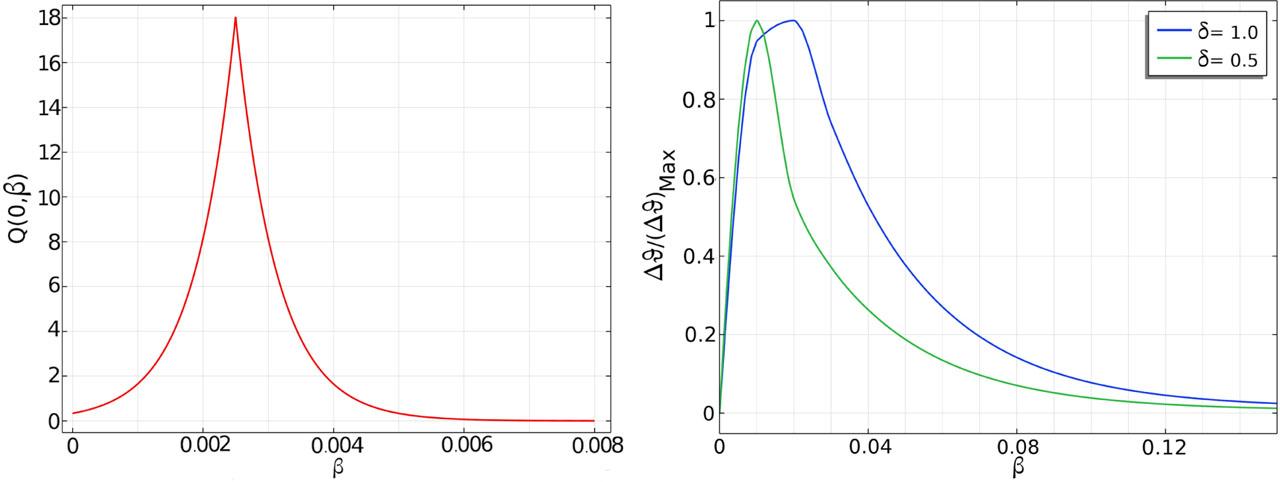
Using numerical FEM with Comsol and assuming the values for Au metal, of the geometrical and physical parameters: tp = 1015 (s), t1 = 8.5 (ps), t2 = 90 (ps), l = 0.1 × 10−6 (m), J = 13.4 (Joule/m2), R = 0.93 ϕ= 15.3 × 109 (m), α = 1.2 × 10−4 (m2/s), and K = 315 (W/m Kelvin), we obtain the following results, shown in Figures 5 and 6.

Fig. 5

Left panel: Trend of the dimensionless of heat absorption respect to time dimensionless, due at stimulation of laser. Right panel: Trend rate temperature normalized respect to maximum rate temperature dimensionless.

Fig. 6

Left panel: Trend of the dimensionless temperature of gold metal film when the dimensionless depth changes for various values of the dimensionless time. Right panel: Trend of the dimensionless temperature of gold metal film when the dimensionless time changes for various values of the dimensionless depth.

8
Conclusions

In this paper, the theory of thermodynamics of ultra-fast non-linear irreversible processes was applied with the use of internal variables, and in particular, the generalized equation of heat which gives it was derived in the case of medium isotropic visco-anelastic. The physical significance of the phenomenological coefficients was given by highlighting the thermal properties of materials in the case of metals and specifically of a gold film. The approach followed demonstrates the validity of the results obtained and compared in the literature reporting experimental data. The advantage of this approach is that it allows complex physical processes to be studied in a simple and immediate manner, independently of the system or material subject to the process is based on a combination of physical properties, such as mechanical and thermal. The study of the anisotropic materials as in the case of biological tissues can be extended to reveal substantial abnormalities characterizing specific pathologies compared with a healthy tissue.

Language: English
Page range: 389 - 404
Submitted on: Jul 28, 2024
Accepted on: Sep 8, 2024
Published on: Dec 18, 2025
Published by: Harran University
In partnership with: Paradigm Publishing Services
Publication frequency: 2 issues per year

© 2025 Armando Ciancio, Bruno Felice Filippo Flora, published by Harran University
This work is licensed under the Creative Commons Attribution 4.0 License.