Figure 1.

Figure 2.

Figure 3.

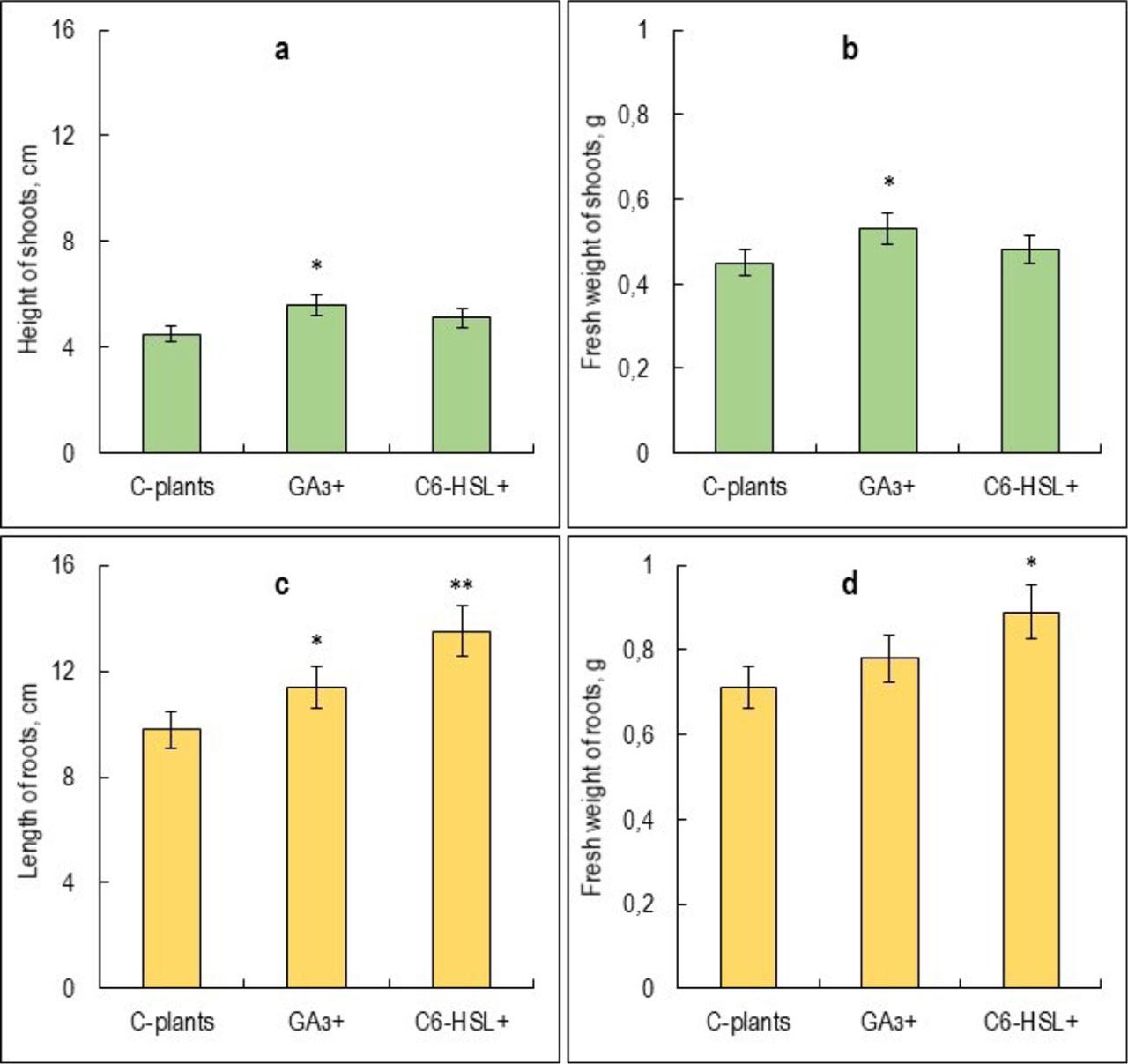
Figure 4.

Figure 5.

Figure 6.

Effect of pre-sowing treatment of acorns with GA3 and C6-HSL solutions on the total content of endogenous cytokinins in the shoots and roots of 47-day-old Quercus robur seedlings, ng/g FW_
| Option experiment | C-plants | GA3 +plants | C6-HSL + plants |
|---|---|---|---|
| Shoots | 49.5±2.5 | 46.7*±2.3 | 52.8*±2.6 |
| Roots | 16.7±0.8 | 43.1**±2.2 | 36.5*±1.8 |
Effect of pre-sowing treatment of acorns with GA3 (50 mg/L) and C6-HSL (300 ng/L) solutions on the accumulation of dry weight (mg) and water content (%) in 47-day-old Quercus robur seedlings' shoots and roots_
| Indices | C-plants | GA3+plants | C6-HSL+plants | |||
|---|---|---|---|---|---|---|
| Shoots | Roots | Shoots | Roots | Shoots | Roots | |
| Dry weight, mg | 60±3.1 | 162±8.1 | 106**±5.3 | 171**±8.6 | 111±5.6 | 225***±11.3 |
| Water content, % | 86.6 | 75.8 | 80.8 | 78.1 | 76.8 | 72.5 |
Effect of pre-sowing treatment of acorns with GA3 and C6-HSL solutions on the total content of endogenous phytohormones in 47-day-old Quercus robur seedlings, ng/g FW_
| Option experiment | Control | GA3 +plants | C6-HSL + plants |
|---|---|---|---|
| ABA | 43.7±2.18 | 52.1*±2.61 | 79.7*±3.98 |
| IAA | 27.8±1.39 | 17.4*±0.87 | 23.9*±1.18 |
| GA3+GA4 | 19.8±0.97 | 21.4±1.08 | 30.1*±1.51 |
| SA | 271.6±13.58 | 238.3*±11.92 | 282.3±14.12 |
| Cytokinins | 66.2±3.30 | 89.8*±4.47 | 89.3*±4.46 |